



















Preview text:
CHƯƠNG 1 KHÁI NIỆM CHUNG
Chuỗi cung ứng là gì?
“Một chuỗi cung ứng bao gồm tất cả các thành phần liên quan, trực tiếp hay gián tiếp, đến việc thỏa mãn nhu cầu của khách hàng cuối cùng” Chopra & Meinld (2019) Một số lưu ý: •
Một chuỗi cung ứng bao gồm nhà sản xuất và nhà cung ứng nguyên vật liệu, nhà vận tải, nhà kho, nhà bán lẻ, và cả khách hàng cuối cùng. •
Không chỉ có các doanh nghiệp sản xuất hàng hóa mới có chuỗi cung ứng, các doanh nghiệp cung ứng dịch vụ cũng có
Một chuỗi cung ứng bao gồm 3 dòng chảy: •
Dòng chảy vật chất (physical flow) của hàng hóa và dịch vụ. •
Dòng chảy thông tin (information flow). •
Dòng chảy của vốn (capital flow) CHUỖI CUNG ỨNG
“Quản lý chuỗi cung ứng bao gồm thiết kế và quản lý các chu trình tạo giá trị gia tăng (value added processes) xuyên ranh giới của các tổ chức
trong chuỗi cung ứng nhằm đáp ứng nhu cầu của khách hàng cuối cùng”
Institute for Supply Chain Management (QLCCU)
Quản lý chuỗi cung ứng là sự phối hợp các hoạt động này, thông qua sự cải thiện các mối quan hệ chuổi cung ứng để đạt được lợi thế cạnh tranh bền vững.
QUẢN LÝ CHUỖI CUNG ỨNG
Mục tiêu của quản lý chuỗi cung ứng: là có thể phối hợp các hoạt động trong chuỗi nhằm tối đa hóa lợi thế cạnh tranh của chuỗi và lợi ích của
người tiêu dùng cuối cùng
Quản lý sự phối hợp của tất cả các hoạt động trong chuỗi, bắt đầu từ nguyên liệu thô và kết thúc ở việc thỏa mãn nhu cầu khách hàng.
Bao gồm các biện pháp, công cụ quản lý nhằm đạt được sự hiệu quả trong chuỗi cung ứng -
phối hợp giữa nhà cung ứng, nhà sản xuất, nhà kho, và các cửa hàng. -
Sản xuất/phân phối hàng hóa với đúng số lượng, đúng nơi chốn, và đúng lúc -
Tối thiểu hóa chi phí toàn hệ thống trong khi vẫn đảm bảo khả năng thỏa mãn nhu cầu khách hàng
Mục tiêu của quản lý chuỗi cung ứng là tối đa hóa tổng giá trị tạo ra:
Thặng dư toàn chuỗi = Giá trị khách hàng nhận được – Chi phí toàn chuỗi
Thặng dư toàn chuỗi có giống với lợi nhuận hay không?
không! Thặng dư toàn chuỗi là tổng của thặng dư khách hàng và lợi nhuận toàn chuỗi.
Một điều nữa cần lưu ý là mục tiêu của SCM là tối đa Thặng dư toàn chuỗi, không phải lợi nhuận của bất kỳ thành phần riêng lẻ nào.
Trong một chuỗi cung ứng, khách hàng là nguồn doanh thu duy nhất.
Chi phí trong một chuỗi cung ứng đến từ ba dòng chảy của chuỗi (dòng chảy vật chất, dòng chảy thông tin, và dòng chảy của vốn
Supplier: nhà cung ứng
Manufacturers : nhà sản xuất
Distributors: nhà phân phối
Retailers : nhà bán lẻ Consumers: khách hàng
Lợi ích khi liên kết thông tin giữa các bên ▪
Quản lý dòng sp đi từ nhà cung cấp đến khách hàng ▪
Dòng thông tin liên thông với nhau và xuyên suốt ▪
Dòng tài chính quay ngược về: từ kh trả tiền cho sp quay ngc về nhà bán lẻ, nhà phân phối, nhà sx , nhà cung ứng
1 số ví dụ về qly chuỗi cung ứng Hậu cần logistic Qly chuỗi cung ứng Phạm vi
Liên quan đến các hd xảy ra trong phạm vi
Lquan đến hthong các cty làm vc vs nhau và
của 1 tổ chức riêng lẻ
kết hợp các hoạt động để phân phối đến thị trường Chức năng
Thu mua, phân phối , bảo quản , qly tồn kho
Các hd hậu cần , tiếp thị, phát triển sp, tài chính và dv khách hàng
1 phần cv của chuỗi cung ứng
Là hoạt động xuyên suốt
TỪ CHUỖI CUNG ỨNG ĐẾN MẠNG LƯỚI CHUỖI CUNG ỨNG
Hiện nay, các chuỗi cung ứng hiện đại đã không còn mang hình thái của một “chuỗi” tuyến tính như trước kia. Thay vào đó, chúng đã trở
thành các “Mạng lưới cung ứng”
TẦM QUAN TRỌNG CỦA CHUỖI CUNG ỨNG
Chi phí logistics đang trở nên quan trọng và được quan tâm
Các doanh nghiệp tại Mỹ dành đến hơn một ngàn tỉ đô la mỗi năm cho các hoạt động liên quan đến cung ứng (chiếm tới 10-15% tổng GDP), trong đó: - Vận tải chiếm 58% - Tồn kho chiếm 38% - Quản trị chiếm 4%
Chi phí Logistics rất cao và chiếm một phần không nhỏ trong tổng chi phí của các doanh nghiệp:
Chiếm từ 4% đến 30% tổng doanh thu của doanh nghiệp, trung bình 10%.
Có thể lên đến 70-80% nếu tính cả chi phí mua hàng và sản xuất
Sản phẩm đang trở nên ngày càng nhỏ hơn và rẻ hơn:
Ví dụ: Laptop ngày càng trở nên mỏng nhẹ và rẻ hơn nhờ các doanh nghiệp sản xuất không ngừng cải tiến thiết kế sản phẩm và chuỗi cung
ứng cùng hệ thống phân phối của họ trở nên hiệu quả hơn trong những năm vừa qua.
Sự tăng trưởng của thương mại điện tử đang đe dọa mô hình bán hàng truyền thống.
Các mô hình phân phối mới giúp việc mua sắm dễ dàng hơn, giá thấp hơn, và đa dạng chủng loại hơn.
Người tiêu dùng mong muốn những phương thức mua sắm khác nhau và chủng loại hàng hóa phong phú hơn
Sự thay đổi trong thị hiếu của người tiêu dung khiến các doanh nghiệp phải xem xét lại cách phân phối hàng hóa của mình (online, cửa hàng vật lý, thư tín…)
Sự xuất hiện của các công nghệ mới hỗ trợ cho việc quản trị chuỗi cung ứng mở ra nhiều thách thức và cơ hội cho doanh nghiệp RFID, Barcode, EDI, ERP,… 1 SỐ VÍ DỤ
Trong vòng 10 năm, Wal-Mart đã đạt được nhiều thành công bằng cách thay đổi hệ thống logistics của mình:
▪ Các chỉ số doanh thu/diện tích mặt bằng, hệ số vòng quay hàng tồn kho, và lợi nhuận cao nhất trong tất cả các nhà bán lẻ.
▪ Cửa hàng ở 14 đất nước ngoài Mỹ
▪ Có vệ tinh riêng phục vụ cho hệ thống của mình
▪ Chi phí vận hành thấp hơn so với đối thủ như K-Mart hay Target.
▪ CEO là chuyên gia Logistics.
▪ Wal-mart là nhà bán lẻ lớn nhất thế giới
Amazon từ suýt phá sản vào năm 2000 đã trở thành một trong những doanh nghiệp công nghệ thành công nhất hành tinh nhờ vào chuỗi cung ứng của mình:
▪ Quy trình order, lựa hàng và đóng gói (picking and packing) nhanh nhất trong ngành.
▪ Order và thanh toán online.
▪ Hệ thống nhà kho chiến lược và sử dụng phương thức “drop-shipping” Dell có tốc độ tăng trưởng giá trị vượt trội so với đối thủ trong
hơn hai thập kỷ với tổng giá trị tăng 3000% từ năm 1988 đến năm 2008:
✓ Mô hình bán hàng trực tiếp không qua nhà phân phối
✓ Chiến lược Built-to-order (customization hàng loạt)
KHÂU RA QUYẾT ĐỊNH TRONG QUẢN LÝ CHUỖI CUNG ỨNG
1 Thiết kế chuỗi cung ứng
Chuỗi cung ứng của doanh nghiệp trong vài năm tới sẽ như thế nào 2 hoạch định
Các quyết định trong vòng 1 quý đến 1 năm 3 Vận hành
Các quyết định vận hành hằng ngày, hằng tuần
THIẾT KẾ CHUỖI CUNG ỨNG
Bao gồm những quyết định liên quan đến cấu hình của chuỗi cung ứng, việc phân bổ nguồn lực trong dài hạn, và những quy trình mà mỗi mắt
xích sẽ thực hiện, bao gồm:
✓ Quyết định về việc Outsource (thuê ngoài) các chức năng của chuỗi.
✓ Vị trí và năng lực đáp ứng của cơ sở hạ tầng (nhà kho, nhà máy, bến bãi…)
✓ Các hàng hóa sẽ được sản xuất và lưu trữ dọc theo chuỗi
✓ Các phương thức vận chuyển ✓ Hệ thống thông tin
Việc thiết kế chuỗi cung ứng phải hỗ trợ cho các mục tiêu chiến lược của doanh nghiệp. Các quyết định về thiết kế chuỗi có tác động dài hạn và
rất tốn kém để thay đổi, do đó cần phải xem xét các yếu tố bất ổn của thị trường KHÂU HOẠCH ĐỊNH
Bao gồm các chính sách và quyết định ảnh hưởng tới hoạt động trong ngắn hạn.
Hoạt động tuân theo cấu hình chuỗi cung ứng đã đề ra ở khâu thiết kế.
Mục tiêu là tối đa hóa thặng dư toàn chuỗi trong khuôn khổ cấu hình chuỗi cung ứng sẵn có.
Bắt đầu từ việc dự báo nhu cầu trong năm tới Các quyết định: -
Cơ sở sản xuất nào sẽ đáp ứng thi trường nào -
Quyết định các hợp đồng thầu phụ -
Lên kế hoạch tích trữ tồn kho -
Quyết định chính sách tồn kho -
Quyết định thời điểm và quy mô các sự kiện khuyến mãi
⇨ Phải xem xét dến những vấn đề như sự bất ổn trong nhu cầu , sự tahy dổi trong tỷ giá hối đoái, hành động của các đối thủ. trong
khung thời gian lên kế hoạch
VẬN HÀNH CHUỖI CUNG ỨNG
Khung thời gian ra quyết định là hàng ngày hoặc hàng tuần.
Bao gồm các quyết định liên quan tới đơn hàng cụ thể của khách hàng.
Lúc này, cấu hình và chính sách của chuỗi cung ứng là cố định.
Mục đích là xử lý các đơn hàng một cách hiệu quả nhất có thể. Bao gồm:
✓ Phân bổ (allocate) hàng hóa cho các đơn hàng hoặc đặt đơn sản xuất.
✓ Đặt ngày giao hàng và lịch trình giao hàng.
✓ Tạo pick list (đơn lấy hàng) tại nhà kho
✓ Và nhiều công việc khác….
Có rất ít sự bất ổn (uncertainty) ở cấp độ này vì khung thời gian ra quyết định là cực ngắn. KEY POINTS
Các quyết định trong quản trị chuỗi cung ứng có thể được phân loại, dựa trên khung thời gian áp dụng, thành:
✓ Quyết định liên quan đến thiết kế
✓ Quyết định liên quan đến hoạch định
✓ Quyết định liên quan đến vận hành
Quyết định thiết kế sẽ hạn chế hoặc dẫn đến hoạch định hiệu quả, hoạch định sẽ hạn chế hoặc dẫn đến vận hành hiệu quả
CHUỖI CUNG ỨNG DƯỚI GÓC NHÌN CHU TRÌNH VÀ GÓC NHÌN ĐẨY/KÉO
1. Góc nhìn Chu trình (cycle view): các quy trình trong chuỗi cung ứng được chia thành các series chu trình (series of cycles). Mỗi chu trình
(cycle) thể hiện hoạt động của hai mắt xích liền kề của chuỗi cung ứng.
2. Góc nhìn Đẩy/Kéo (push/pull view): các quy trình trong chuỗi được chia ra làm hai loại: những chu trình phản ứng với đơn hàng của
khách hàng (Kéo – thụ động) và những chu trình dựa trên dự đoán đơn hàng (Đẩy – Chủ động)
GÓC NHÌN CHU TRÌNH (CYCLE VIEW
Các hoạt động trong chuỗi cung ứng được chia thành 4 chu trình lớn:
✓ Chu trình đặt hàng của người mua (Customer Order Cycle)
✓ Chu trình làm đầy lại kho (Replenishment Cycle)
✓ Chu trình sản xuất (Manufacturing Cycle)
✓ Chu trình thu mua (Procument Cycle)
Mỗi chu trình lớn được chia được cấu thành 6 bước nhỏ.
Góc nhìn theo chu trình cho phép ta nhìn thấy được các quy trình cụ thể trong chuỗi cung ứng và bên chịu trách nhiệu cho mỗi quy trình này.
Góc nhìn này hữu dụng khi ta ra quyết định ở cấp độ vận hành vì nó cho ta thấy được vai trò và trách nhiệm của mỗi thành viên trong chuỗi,
cũng như đầu ra mong muốn của mỗi quy trình
GÓC NHÌN ĐẨY/ KÉO (PUSH/PULL VIEW)
Góc nhìn Đẩy/ Kéo phân loại các quy trình trong chuỗi làm hai loại: những quy trình phản ứng với đơn hàng của khách hàng (Kéo – thụ động)
và những quy trình dựa trên dự đoán đơn hàng (Đẩy – Chủ động).
Ranh giới Đẩy/ Kéo (Push/Pull Boundary) là điểm mà ở đó chuỗi quy trình đẩy kết thúc và chuỗi quy trình kéo bắt đầu.
Góc nhìn này hữu dụng khi ta xem xét các quyết định mang tầm chiến lược trong khâu thiết kế chuỗi
CHUỖI CUNG ỨNG ĐẨY/ KÉO
Chuỗi cung ứng đẩy dựa trên dự báo về nhu cầu thị trường, từ đó tổ chức sản xuất cho phù hợp và “đẩy” hàng hóa ra thị trường:
Dễ thực hiện, có khả năng hạ giá thành sản phẩm nhờ tính kinh tế về quy mô sản xuất và đường cong kinh nghiệm.
Tuy nhiên, phương pháp này lại tạo ra lượng tồn kho lớn, chu kỳ sản xuất dài, chi phí dự trữ cao, và nâng cao rủi ro không bán được hàng
Chuỗi cung ứng kéo sẽ tiến hành hoạch định sản xuất dựa trên đơn hàng/nhu cầu thực tế từ thị trường. Hay nói một cách khác, nhu cầu thị
trường sẽ “kéo” hàng từ nhà sản xuất.
Các chuỗi này sử dụng phương pháp Hoãn (Postponement): nhà sản xuất sẽ không bắt đầu sản xuất sản phẩm cuối cùng cho đến khi nhận được đơn hàng.
Giúp giảm chi phí tồn kho, rút ngắn chu trình sản xuất, giúp chuỗi cung ứng phản ứng nhanh hơn với nhu cầu từ thị trường.
Khó thực hiện do yêu cầu chuỗi cung ứng linh hoạt, tổ chức và quản lý tốt hệ thống thông tin, chu trình sản xuất chặt chẽ, có khả năng đáp ứng
nghiêm ngặt về tiến độ và thời gian giao hàng.
Chuỗi cung ứng đẩy thường được áp dụng cho các sản phẩm khi nhu cầu trên thị trường ít biến động và số lượng lớn. Vì lúc này dự báo thường
có độ chính xác cao, dẫn đến giảm thiểu rủi ro tồn kho đi rất nhiều. Trong trường hợp này, doanh nghiệp cũng lợi dụng được tính kinh tế về
quy mô sản xuất và đường cong kinh nghiệm để hạ giá hành sản phẩm.
Chuỗi cung ứng kéo thường được sử dụng cho các sản phẩm có nhu cầu biến động lớn và số lượng sản xuất không nhiều. Vì lúc này rủi ro tồn
kho lớn, cộng với việc đảm bảo kinh tế của quy mô sản xuất không còn khiến việc sử dụng chuỗi cung ứng đẩy không còn phù hợp.
Vậy đối với sản phẩm vừa có số lượng nhiều, nhu cầu vừa biến động thì sao? Câu trả lời là một chuỗi cung ứng hỗn hợp!
Một chuỗi cung ứng đẩy - kéo hỗn hợp, thường được sử dụng cho các sản phẩm với lượng cầu biến đổi, trong khi những lại cần đủ quy mô đủ
lớn để đáp ứng nhu cầu khách hàng (Ví dụ như đồ nội thất).
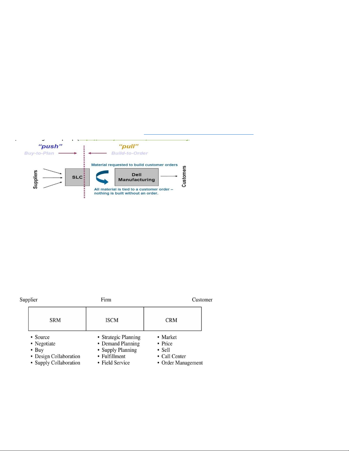
Dell đã sử dụng mô hình này vô cùng tài tình trong những năm 90s và đầu những năm 2000s với sản phẩm máy tính cá nhân của họ VÍ DỤ DELL
Dell sử dụng một chuỗi cung ứng hỗn hợp: hoạt động sản xuất chỉ xảy ra khi có đơn hàng.
Nhưng Dell vẫn chưa là một mô hình kéo hoàn toàn, bởi lẽ các nhà cung cấp của Dell thay vì chỉ sản xuất khi Dell đặt hàng thì phải dự báo
trước nhu cầu để sản xuất linh kiện sẵn sàng cho lắp ráp (https:// www.youtube.com/watch?v=4ocldjqiiiE)
CÁC QUY TRÌNH VĨ MÔ (MACRO PROCESSES) TRONG CHUỖI CUNG ỨNG
Các quy trình trong chuỗi cung ứng được phân loại thành:
▪ Quản trị quan hệ khách hàng (Customer Relationship Management – CRM):
Bao gồm tất cả các quy trình tại điểm tiếp xúc giữa khách hàng và doanh nghiệp.
▪ Quản trị cung ứng nội bộ (Internal Supply Chain Management – ISCM):
Bao gồm tất cả các quy trình nội bộ của doanh nghiệp
▪ Quản trị quan hệ nguồn cung (Supplier Relationship Management – SRM):
Bao gồm tất cả các quy trình tại điểm tiếp xúc giữa nhà cung ứng và doanh nghiệp
HAI THÁCH THỨC CHÍNH TRONG QUẢN LÝ CHUỖI CUNG ỨNG
✓ Thách thức của ranh giới vận hành:
Thông thường các chức năng (function) nhấn mạnh vào sự thành công của chính mình, thay vì cân nhắc đến hoạt động của các mắt xích khác.
Tuy nhiên, quản trị chuỗi cung ứng nhấn mạnh vào sự thành công tổng thể của toàn chuỗi cung ứng, chứ không phải sự thành công của bất kỳ chức năng nào.
✓ Thách thức của ranh giới doanh nghiệp Cả hai thách thức này đều bắt nguồn từ mâu thuẫn cổ điển: sự đánh đổi giữa Chi phí/Chất
lượng/Thời gian/Sự linh hoạt
QUẢN LÝ XUYÊN RANH GIỚI
Trong quản lý chuỗi cung ứng, có rất nhiều sự đánh đổi (trade- off) mà chúng ta phải quan tâm
✓ Đánh đổi giữa kích thước lô hàng và tồn kho
Doanh nghiệp sản xuất thích kích thước lô lớn vì nó cho phép hạ chi phí thiết lập hệ thống và dễ dàng theo dõi quy trình sản xuất hơn.
Nhà bán lẻ thích thời gian giao hàng ngắn với chủng loại hàng hóa phong phú hơn
✓ Đánh đổi giữa tồn kho và chi phí vận chuyển
Vận chuyển FTL (Full-truck-load) sẽ giúp giảm chi phí vận chuyển trên mỗi đơn vị hàng hóa
Tuy nhiên FTL lại đôi khi làm tăng tồn kho một cách không cần thiết
✓ Đánh đổi giữa thời gian chu trình (lead-time) và chi phí vận chuyển
Chi phí vận chuyển trung bình thấp nếu lượng hàng lớn
Tuy nhiên, thời gian chu trình sẽ ngắn hơn nếu lượng hàng nhỏ.
✓ Đánh đổi giữa số chủng loại hàng hóa và tồn kho
Tăng số chủng loại hàng hóa = tăng chi phí vận chuyển và tồn kho
✓ Đánh đổi giữa chi phí và khả năng thỏa mãn nhu cầu khách hàng (customer service level)
Giảm tồn kho và chi phí vận chuyên/sản xuất sẽ làm giảm khả năng thỏa mãn nhu cầu khách hàng
RỦI RO VÀ SỰ BẤT ỔN
Các chuỗi cung ứng hiện đại phải đối mặt với nhiều rủi ro hơn trước khi chúng trở nên phức tạp và “dài” hơn: ✓ 2020 – Covid19 Pandemic
Làm đứt đoạn nhiều chuỗi cung ứng toàn cầu
Làm sụt giảm nhu cầu trong thời gian ngắn
✓ 2005 – Siêu bão Katrina
Làm gián đoạn nguồn cung café của P&G tại các khu quanh Thành phố New Orleans Ảnh hưởng 6 tháng
✓ 2002 – Đình công tại cảng West Coast (Mỹ) Thiệt hại 1 tỷ $/ngày
Thiếu hụt hàng hóa tại các cửa hàng, đóng cửa nhà máy
✓ Và rất nhiều rủi to khác như động đất, sóng thần, sự thay đổi của luật CÁC VẤN ĐỀ KHÁC
Ngoài ra, các vấn đề về sự gia tăng chi phí lao động tại các nước đang phát triển, hay biến động giá cả nguyên vật liệu đầu vào cũng tạo ra
nhiều thách thức trong việc thiết kế và hoạch định chuỗi cung ứng.
Một vấn đề cũng rất được quan tâm trong thời điểm hiện tại là vấn đề về chuỗi cung ứng bền vững. Sự quan tâm của người tiêu dùng, các tổ
chức phi chính phủ (NGOs), và các nhà lập pháp đến tác động của các chuỗi cung ứng tới môi trường và xã hội khiến các nhà quản lý phải xem
xét lại cách vận hành và thiêt kế chuỗi cung ứng của mình
XU HƯỚNG TRONG QUẢN LÝ CHUỖI CUNDGowỨnloNaGdedHbIyỆNNguĐyeẠnILinh 1.
Ứng dụng công nghệ thông tin: các giải pháp công nghệ như các hệ thống ERP; hệ thống trao đổi thông tin điện tử (Electronic
Data Interchange); ứng dụng Barcode, RFID,… đang giúp dòng chảy thông tin trong các chuỗi cung ứng trở nên xuyên suốt và chính xác hơn. 2.
. Hình thái Chuỗi cung ứng kéo (Pull based supply chain) đang phát triển mạnh mẽ và dần thay thế các chuỗi cung ứng đẩy (Push
based supply chain) truyền thống.
Với nhu cầu ngày càng bất ổn, vòng đời sản phẩm trở nên ngày càng ngắn hơn, vấn đề sống còn đối với các chuỗi cung ứng là phải đạt được
sự linh hoạt trong sản xuất nhằm đáp ứng nhu cầu thực tế. 3.
. Xu hướng gia tăng thuê dịch vụ Logistics từ các nhà cung ứng dịch vụ Logistics chuyên nghiệp.
Cùng với sự phát triển và mở rộng của các chuỗi cung ứng toàn cầu, các hệ thống logistics ngày càn trở nên phức tạp hơn và đòi hỏi sự
chuyên nghiệp cũng như mức đầu tư cao hơn. Điều này đã thúc đẩy các doanh nghiệp đa quốc gia đẩy mạnh việc thuê ngoài dịch vụ Logistics
của các chuỗi cung ứng của mình. LOGISTICS Vậy Logistics là gì?
“Hậu cần là quá trình hoạch định, thực hiện và kiểm soát một cách hiệu quả và hiệu năng dòng lưu và việc lưu trữ nguyên vật liệu, dự trữ trong
sản xuất, bán thành phẩm, hàng hóa và dịch vụ từ điểm gốc đến điểm tiêu thụ nhằm thỏa mãn các yêu cầu của QUẢN LÝ LOGISTICS
“Quản lý logistics là một phần của quản lý chuỗi cung ứng nhằm họach định, thực hiện và kiểm soát dòng lưu và lưu trữ hàng hóa và dịch vụ
cho có hiệu quả và hiệu năng từ điểm gốc đến điểm tiêu thụ nhằm thỏa mãn nhu cầu
CÁC HOẠT ĐỘNG LOGISTIC 1. Dịch vụ khách hàng 2. Dự báo nhu cầu 3. Thông tin hậu cần 4. Thu mua 5. Kiểm soát dự trữ 6. Di chuyển vật liệu 7. Khai thác đơn hàng
8. Hõ trợ dịch vụ & phụ kiện 9. Lựa chọn nhà máy kho 10. Đóng gói 11. Xử lý hàng về
12. Hậu cần đảo ngược 13. Vân chuyển 14. Kho và tồn trữ PHÂN LOẠI LOGISTICS
1. Phân loại theo các hình thức logistics:
Logistics bên thứ nhất (1PL – First Party Logistics): chủ DN tự tổ chức thực hiện (phương tiện, kho bãi, hệ thống thông tin, nhân công) tự quản lý và vận hành
Logistics bên thứ hai (2PL – Second Party Logistics): bên thứ hai đừng ra cung cấp các dịch vụ đơn lẻ (phương tiện, kho bãi, thủ tục…)è chưa
có tính tích hợp vào hệ thống
Logistics bên thứ ba (3PL – Third Party Logistics): thay mặt cho chủ DN đứng ra quản lý thực hiện các DV logistics cho từng bộ phận chức
năng (làm thủ tục XNK, vận chuyển hàng hóa. ), kết hợp luân chuyển, tồn trữ hàng hóa, xử lý thông tinè có tính tích hợp vào hệ thống của khách hàng
Logistics bên thứ tư (4PL – Fourth Party Logistics): là người tích hợp : hợp nhất, gắn kết các nguồn lực, tiềm năng và cơ sở vật chất KHKT của
mình với tố chức khác để thiết kế, XD, và vận hành chuỗi Logisticsè chịu trách nhiêm quản lý dòng lưu chuyển logistics, cung cấp giải pháp,
hoạch định, tư vấn logistics, quản trị vận tảiè quản trị cả quá trình
2. Phân loại theo quá trình:
Logistics đầu vào (Inbound Logistics): cung ứng tài nguyên, nguyên vật liệu đầu vào cho sản xuấtè quản trị vị trí, thời gian, chi phí sản xuất
Logistics đầu ra (Outbound Logistics): cung cấp sản phẩm đến người tiêu dùng tối ưu nhấtè quản trị vị trí, thời gian, chi phí phân phối
Logistics ngược (Reverse Logistics): thu hồi các phụ phẩm, phế liệu, phế phẩm, các yếu tố ảnh hưởng đến môi trườngè tái sử dụng, tái chế
3.Phân loại theo đối tượng hàng hóa:
Logistics hàng tiêu dùng nhanh (FMCG Logistics):
Logistics cho hàng tiêu dùng có thời hạn sử dụng ngắn
Logistics ngành ôtô (Automotive Logistics): phục vụ cho ngành ôtô
Logistics ngành hóa chất, ngành điện tử, ngành dầu kh
3. Theo phạm vi và mức độ quan trọng
Logistics kinh doanh (Bussiness logistics)
Dịch vụ logistics (Service logistics)
Logistics sự kiện (Event logistics)
Logistics quân đội (Military Logistics)
VAI TRÒ CỦA LOGISTICS
Đối với Quốc Gia:
Logistics là công cụ liên kết các hoạt động kinh tế trong một quốc gia và toàn cầu.
Hiệu quả hoạt động Logistics ảnh hưởng đến khả năng hội nhập của nền kinh tế
Logistics hỗ trợ cho luồng chu chuyển các giao dịch kinh tế. Nền kinh tế chỉ có thể hoạt động nhịp nhàng và đồng bộ khi hệ thống logistics hoạt
động liên tục và nhịp nhàng
Đối với Doanh nghiệp:
Tối ưu hóa chu trình lưu chuyển của sản xuất, kinh doanh từ khâu đầu vào đến khi sản phẩm đến tay người tiêu dùng cuối cùng
Logistics nâng cao hiệu quả quản lý, giảm thiểu chi phí sản trong quá trình sản xuất, tăng cường sức cạnh tranh cho doanh nghiệp.
Tiết kiệm và giảm chi phi phí trong lưu thông phân phối.
Logistics có vai trò hỗ trợ nhà quản lý ra quyết định chính xác trong hoạt động sản xuất kinh doanh, là một nguồn lợi tiềm tàng cho doanh nghiệp BÀI TẬP
Đọc case study của Woodland Timbers và trả lời các câu hỏi trong bài.
1.Theo bạn, vấn đề chính đang xảy ra ở Friedland Timbers là gì?
2.Bạn sẽ tư vấn cho Johann như thế nào để giải quyết/giảm thiểu tình trạng hiện tại? Giải thích
Đọc bài “Fast fashion lessons” (https://www.researchgate.net/publication/228148899_Fast_Fashion_Les sons) Trả lời các câu hỏi sau:
1. Chuỗi cung ứng của Zara đã cho doanh nghiệp này lợi thế cạnh tranh gì?
2. Tại sao Inditex lại quyết định vừa tự sản xuất, vừa outsource cho các sản phẩm của mình? Tại sao lại sản xuất ở Châu Âu thay vì Châu Á trong
khi sản xuất ở Châu Á rẻ hơn rất nhiều?
3. Tại sao Zara lại sản xuất các sản phẩm với nhu cầu không ổn định ở Châu Âu và outsource các sản phẩm với nhu cầu ổn định ở Châu Á?
4. Việc bổ sung hàng hóa tại các cửa hàng của Zara một cách thường xuyên mang lại tác dụng gì? Nhịp độ bổ sung này có ảnh hưởng gì đến thiết kế
hệ thống phân phối của Zara?
5. Theo em, mô hình chuỗi cung ứng của Zara phù hợp với bán hàng online hay offline hơn?
6. Theo em, mô hình chuỗi cung ứng của Zara là chuỗi cung ứng Đẩy hay Kéo
Chương 2 : CHUỖI CUNG ỨNG TOÀN CẦU TOÀN CẦU HÓA:
Toàn cầu hóa thúc đẩy các nền kinh tế độc lập,khép kín trở nên cởi mở và phụ thuộc hơnvào hệ thống kinh tế toàn cầu.
Toàn cầu hóa chỉ sự chuyển đổi tiến tới một nền kinh tế toàn cầu với sự liên kết và phụ thuộc chặt chẽ lẫn nhau giữ các quốc gia. Bao gồm:
✓ Sự toàn cầu hóa của thị trường
✓ Sự toàn cầu hóa của sản xuất
TÁC ĐỘNG CỦA TOÀN CẦU HÓA ĐẾN CÁC MẠNG LƯỚI CUNG ỨNG
Toàn cầu hóa mở ra cơ hội để các doanh nghiệp có thểvừa tăng doanh thu, vừa giảm chi phí: -
Kinh tế quy mô (economies of scale) - Chi phí vận chuyển giảm -
Lợi ích về chi phí khi sản xuất tại các nước như Trung Quốc, Ấn Độ,…
Tuy nhiên, toàn cầu hóa cũng đem đến rất nhiều rủi ro: -
Ví dụ: sự thâm nhập của các doanh nghiệp toàn cầu vào các thị trường mới nổi -
Vai trò của việc giảm thiểu rủi ro trong chuỗi cung ứng dần mang tính sống còn với các doanh nghiệp. -
Sự bất ổn của giá cả/ nhu cầu khiến sự linh hoạt trong chuỗi cung ứng dần trở nên quan trọng hơn (ví dụ: Honda và Toyota)
TÁC ĐỘNG CỦA TOÀN CẦU HÓA ĐẾN CÁC MẠNG LƯỚI CUNG ỨNG
QUYẾT ĐỊNH ĐƯA HOẠT ĐỘNG RA NƯỚC NGOÀI (OFFSHORING)
Cần phải lượng hóa được các yếu tố của việc đưa hoạt động ra nước ngoài và theo dõi chúng thường xuyên.
Việc đưa hoạt động ra nước ngoài sẽ làm tăng độ dài và thời gian của: ✓ Dòng chảy thông tin ✓ Dòng chảy vật chất ✓ Dòng chảy vốn
Sự phức tạp và chi phí của việc quản lý chuỗi cung ứng có thểtăng lên một cách đáng kể, thậm chí là ngoài dự đoán nếu quyết định offshore.
Rào cản lớn nhất của quyết định đưa hoạt động ra nước ngoài là các rủi ro và chi phí tăng thêm.
Hai lý do chính khiến việc đưa hoạt động ra nước ngoài thất bại:
✓ Bỏ qua các yếu tố rủi ro quan trọng
✓ Chỉ tập trung vào chi phí sản xuất trung bình thay vì tổng chi phí.
Dưới đây là ảnh hưởng của việc đưa hoạt động ra nước ngoài tới các hoạt
động của chuỗi cung ứng:
Downloaded by Nguyen Linh (vjt22@gmail.com)
QUYẾT ĐỊNH ĐƯA HOẠT ĐỘNG RA NƯỚC NGOÀI (OFFSHORING) VÀ TỔNG CHI PHÍ
Ferreira & Prokopets (2009) cho rằng các yếu tố kinh phí sau cần được xem xét bởi các doanh nghiệp:
Chi phí cung ứng (thuế và các chi phí khác theo quy định nước sở tại)
Điều khoản giá cả (điều khoản chi trả và giá cả, chiết khấu)
Giá giao hàng (giá vận tải, đóng gói)
Chi phí tồn kho và kho hàng
Chi phí chất lượng (chi phí do chất lượng kém) Thuế phí hải quan
Chi phí rủi ro, chi phí quản lý hoạt động mua hàng Tỉ giá hối đoái
(Does offshoring still make sense? SCM Review, 2009)
CÁC CHUỖI CUNG ỨNG TOÀN CẦU
Hệ thống phân phối quốc tế
• Hoạt động sản xuất có thể chỉ gói gọn trong một quốc gia, nhưng hoạt động phân phối và marketing có thể ở khắp nơi trên thế giới.
Hệ thống cung ứng quốc tế
• Nguyên vật liệu được cung ứng bởi các nhà cung ứng ở nước ngoài.
• Hoạt động lắp ráp diễn ra tại một quốc gia
• Sau đó, thành phẩm có thể được xuất khẩu sang một thị trường khác trên thế giới.
Sản xuất ở nước ngoài
• Hàng hóa được sản xuất và sử dụng nguyên vật liệu tại một quốc gia nước ngoài.
• Sau đó được đưa về nội địa để phân phối và tiêu thụ
Chuỗi cung ứng toàn cầu
• Hàng hóa được cung ứng, sản xuất, phân phối tại nhiều cơ sở đặt tại nhiều quốc gia trên khắp thế giới. KEY POINT
Khi ra quyết định đưa hoạt động ra nước ngoài (Offshoring), cần phải cân nhắc tổng chi phí.
Offshoring thường giúp hạ chi phí nhân công,nhưng lại có thể làm tăng đáng kể rủi ro, chi phí vận chuyển, và vốn lưu động.
Việc thêm vào các lựa chọn onshoring có thể giảm thiểu chi phí gắn với rủi ro đến từ các cơ sở offshore.
QUẢN LÝ RỦI RO TRONG CHUỖI CUNG ỨNG TOÀN CẦU -
Việc thuê ngoài (outsource) các chức năng của chuỗi cung ứng và đưa hoạt động ra nước ngoài sẽ khiến chuỗi cung ứng trở nên phân
tán về mặt địa lý, từ đó khiến rủi ro tăng lên. -
Các xu hướng gần đây như giảm thiểu chi phí, sản xuất tinh gọn, JIT (sản xuất đúng lúc)… nghĩa là lượng tồn kho dọc cácchuỗi
cung ứng hiện đại là rất thấp.
• Khi có sự cố/ tai họa không lường trước được xảy ra, điều nàycó thể dẫn đến việc dừng hoàn toàn dây chuyền sản xuất vì thiếu nguyên vật
liệu.- Cácrủi ro bao gồm: Gián đoạn cung ứng. Cung ứng chậm trễ Nhu cầu biến động Giá biến động
Tỉ giá hối đoái thay đổi
=> Các chuỗi cung ứng toàn cầu cần nhận thức rõ đượcrủi ro chính đối với mình và đưa ra được chiến lược đốiphó tương ứng. -
Một mạng lưới cung ứng được thiết kế tốt sẽ giúp giảm thiểu rủi ro một cách đáng đáng kể. -
Tất cả chiến lược giảm thiểu rủi ro đều có cái giá của nó và có thể làm tăng chi phí hoặc rủi ro khác. -
Các chuỗi cung ứng toàn cầu nên sử dụng kết hợp các chiến lược giảm thiểu rủi ro với chiến lược tài chính hợp lý để dự phòng trước
những rủi ro khó biết trước.
QUẢN LÝ RỦI RO: VAI TRÒ CỦA THIẾT KẾ MẠNG LƯỚI
Thiết kế mạng lưới cung ứng quyết định những vấn đề sau: - Vai trò của các cơ sở
Cơ sở có vai trò gì? Những quy trình nào sẽ diễn ra tại cơ sở? - Vị trí của các cơ sở
Các cơ sở này được đặt ở đâu? -
Năng lực của các cơ sở -
Phân bổ thị trường và cung ứng
Thị trường nào? Nguồn cung ứng nào?
CÁC YẾU TỐ ẢNH HƯỞNGĐẾN THIẾT KẾ MẠNG LƯỚI
Các yếu tố mang tính chiến lược Các yếu tố kỹ thuật Các yếu tố vĩ mô ✓ Thuế phí và ưu đãi
✓ Tỉ giá hối đoái và rủi ro nhu cầu
✓ Chi phí vận tải và giá nhiên liệu Các yếu tố chính trị
Các yếu tố cơ sở hạ tầng Các yếu tố cạnh tranh Thời gian đáp ứng
Chi phí Logistics và xây dựng cơ sở
KHUNG THIẾT KẾ MẠNG LƯỚI
CÁC CHIẾN LƯỢC GIẢM THIỂU RỦI RO
TÍNH LINH HOẠT, CHUỖI, VÀ CHÍNH SÁCH NGĂN CHẶN
Tính linh hoạt (flexibility) có thể được phân loại thành:
Khả năng sản xuất hàng hóa mới
✓ Khả năng sản xuất và giới thiệu chủng loại hàng hóa mới vơi tốc độ cao.
✓ VD: ngành công nghiệp điện tử.
Khả năng sản xuất hàng hóa hỗn hợp
✓ Khả năng sản xuất nhiều chủng loại hàng hóa khác nhau trong thời gian ngắn. ✓ VD: Zara
Khả năng sản xuất số lượng linh hoạt
✓ Khả năng hoạt động có lời tại các mức sản xuất khác nhau. ✓ VD: Thép RỦI RO ĐẾN TỪ ĐÂU
KIỂM SOÁT CÁC RỦI RO UNKNOWN-UNKNOWNS
Thuật ngữ bắt nguồn từ SecDef. Donald Rumsfeld:
✓ Known knowns, things we know we know: chính là những rủi ro mà chúng ta có thể tính toán được xác xuất xảy ra và độ lớn của nó, và quản lý được.
✓ Known unknowns, things we know we do not know: mặc dù biết được sự tồn tại của rủi ro, nhưng không thể nào tính toán được xác
suất rủi ro đó sẽ xuất hiệnlà bao nhiêu
✓ Unknown unknowns, things we don’t know we don’t know: những rủi ro mà chúng ta còn chưa biết rằng nó tồn tại, cho tới khi nó thực sự xảy ra
1. Tăng cường đầu tư vào năng lực phụ trội của chuỗi cung ứng.
2. Tăng cường khả năng cảm nhận và phản hồi.
3. Tạo một chuỗi cung ứng với các thành phần có khản năng thích nghi cao
=> Dựa trên 3 phương pháp này, ta có thể xây dựng được một chuỗi c u n g ứ n g “ d ẻ o d a i ” (resilient supply chain).
CẢM NHẬN VÀ PHẢN ỨNG: VÍ DỤ
Trong trường hợp của Nokia và Ericsson, cách phản ứng với thảm họa/ rủi ro của mỗi doanh nghiệp có tác động rất lớn đến vận mệnh của họ.
Vào 17/3/2000, nhà máy của một nhà cung ứng bán dẫn lớn cho cả Nokia và Erricson, Philips Semiconductor, ở New Mexico bị cháy do sét đánh.
Phản ứng của Nokia:
✓ Thay đổi thiết kế sản phẩm để sử dụng nguyên liệu từ các nhà cung ứng khác.
✓ Với những thành phần không thể tìm nguồn cung khác, Nokia làm việc với Philps để đổi nguồn cung sang Trung Quốc và Hà Lan.
✓ Tất cả xong xuôi trong vòng 5 ngày.
Phản ứng của Ericsson’s:
• Mất 4 tuần để thông tin tới được lớp quản lý trên cùng.
• Sau 5 tuần, Ericsson mới nhận ra mức độ nghiêm trọng của vấn đề. Nhưng lúc đó tất cả các nhà cung ứng tháy thế đều đã làm việc cho Nokia.
• Ảnh hưởng nặng nề tới Ericsson:
• Mất 400 triệu $ doanh thu tiềm năng
• Thiếu nguyên vật liệu
• Dấn đến: bộ phận Di động của Ericsson lỗ 1.68 tỷ đô trong năm 2000
• Buộc công ty phải từ bỏ thị trường điện thoại di động
KHẢ NĂNG THÍCH NGHI: VÍ DỤ
Aisin Seiki là nhà cung ứng 98% lượng P-valves cho Toyota. Tuy đây là chi tiết có giá trị thấp (~7$) nhưng quan trọng để có thể lắp ráp được xe hơi.
Năm 1997: hỏa hoạn tại nhà máy chính của Aisin tại Kariya.
✓ Mất 2 tuần để quay trở lại sản xuất
✓ Mất 6 tháng để phục hồi hoàn toàn
Toyota sản xuất khoảng 15.500 xe mỗi ngày
•Toyota ứng dụng sản xuất đúng lúc (JIT), do đó tồn kho của họ chỉ chịu được khoảng 2 đến 3 ngày sản xuất.
=> Toyota phải làm gì?
Bảng thiết kế của chi tiết này được phân phối tới tất cả các nhà cung ứng của Toyota.
Các kỹ sư từ Aisin và Toyota cùng nhau hợp tác để di chuyển năng lực sản xuất tới những nhà cung ứng khác.
Các máy móc hiện có được chuyển đổi công năng để sản xuất chí tiết này.
Mua các máy móc mới trên thị trường sẵn có.
Chỉ sau vài ngày, các doanh nghiệp cung ứng không có kinh nghiệm sản xuất P-valves đã bắt đầu sản xuất được các thành phần và ship tới
Aisin✓ Aisinlắprápvàkiểmtrachất lượng trướckhi shiptới Toyota
✓ Khoảng 200 nhà cung ứng của Toyota đã cùng tham gia vào hoạt động này Kết quả:
Ước tính thiệt hại ban đầu:
✓ Aisin: 7.8 tỷ Yên (65 triệu $)
✓ Toyota: 160 tỷ Yên (1.3 tỷ $)
Thiệt hại được giảm thiểu xuống còn 30 tỷ Yên (250 triệu $) ít hơn 5.5 lần so với ước tính ban đầu.
Toyota chi 100 triệu $ để thưởng cho các nhà cungứng, cám ơn họ đã giúp đỡ trong sự cố lần này.
CHƯƠNG 3 : HỢP TÁC TRONG CHUỖI CUNG ỨNG
THÔNG TIN TRONG CHUỖI CUNG ỨNG Thảo luận
1. Giá trị của thông tin?
2. Thông tin đến từ đâu
3. Thông tin chính xác liệu có giúp chúng ta ra quyết định đúng đắn hơn?
MÂU THUẪN GIỮA CÁC MẮT XÍCH VÀ DÒNG CHẢY THÔNG TIN
Hãy nhớ lại một chuối cung ứng phức tạp (vd: Honda) và thử nghĩ về các rào cản của sự hợp tác trong chuỗi.
1. Mục tiêu của các mắt xích trong chuỗi liệu có mâu thuẫn với nhau?
2. Thử nêu ra các yếu tố ảnh hưởng đến dòng chảy thông tin trong chuỗi?
SỰ THIẾU HỢP TÁC TRONG CHUỖI CUNG ỨNG
Sự hợp tác trong chuỗi cung ứng: xảy ra khi tất cả các mắt xích trong chuỗi đều hành động một cách nhịp nhàng với nhau và làm gia tăng thặng dư toàn chuỗi.
Điều này yêu cầu mỗi mắt xích phải chia sẻ thông tin của mình và cân nhắc ảnh hưởng của hành động của mình tới những mắt xích khác trong chuỗi.
Sự hợp thiếu hợp tác trong chuỗi cung ứng xảy ra khi:
✓ Mục tiêu của các mắt xích mâu thuẫn với nhau
✓ Thông tin chuyền trong chuỗi bị chậm hoặc biến dạng.
TÁC ĐỘNG ĐẾN HIỆU NĂNG CỦA CHUỖI CUNG ỨNG
Sự thiếu hợp tác trong chuỗi cung ứng sẽ làm tăng sự biến động trong chuỗi và giảm thặng dư toàn chuỗi
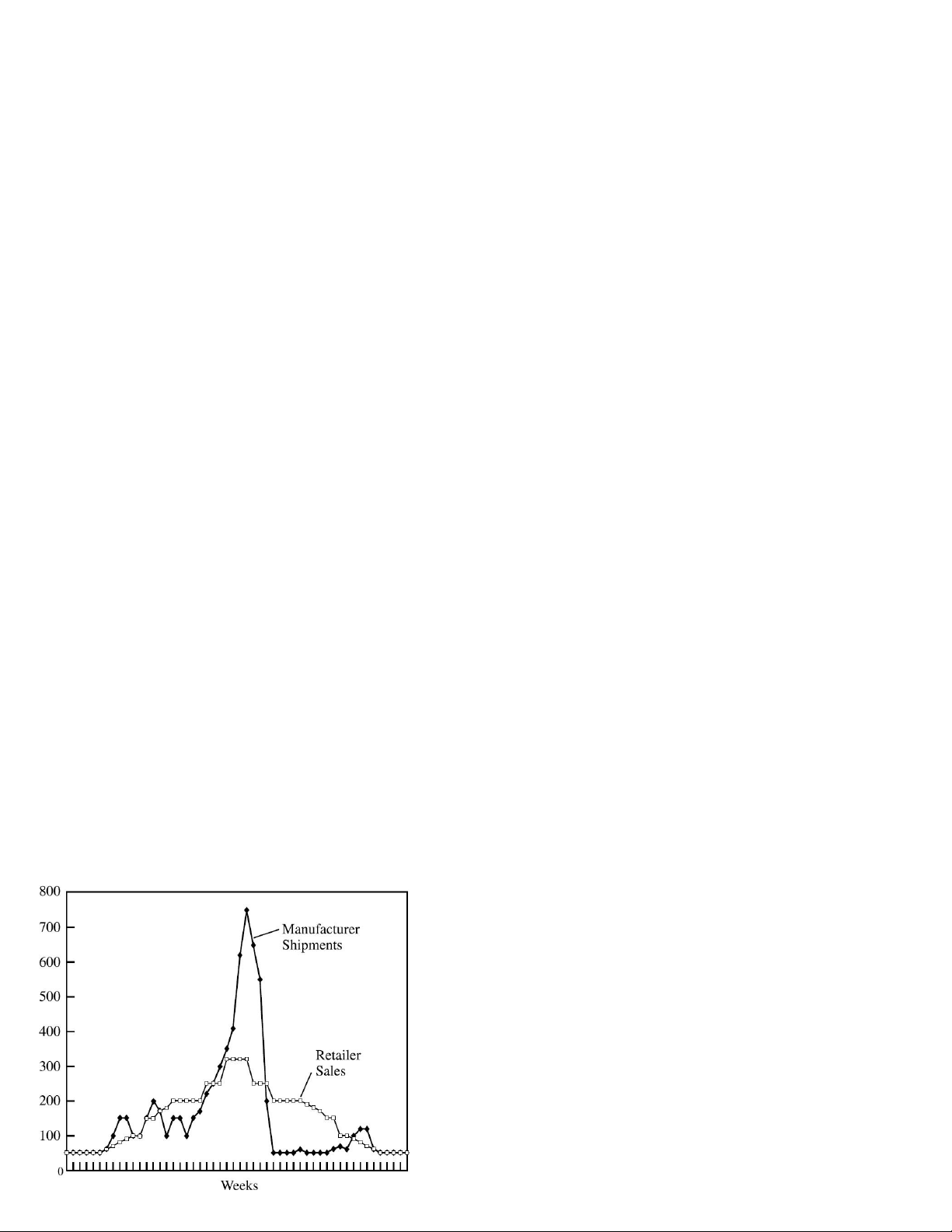
HIỆU ỨNG ROI DA/ ROI CHĂN BÒ (BULLWHIP EFFECT)
Hiệu ứng roi chăn bò chỉ hiện tượng số lượng order biến động mạnh dọc chuỗi cung ứng.
Là hiện tượng mà mức độ biến động trong số lượng order tăng dẫn khi ta càng đi ngược chuỗi cung ứng: lượng order tới nhà cung ứng
(supplier) thường có phương sai (variance) lớn hơn rất nhiều so với lượng order của khách hàng do thông tin về nhu cầu bị biến dạng.
Các mắt xích tăng lượng tồn kho dự phòng
Gây nên bởi sự thiếu tin tưởng trong chuỗi
Tồn trữ nguyên vật liệu dẫn đến làm tăng chi phí
Gây khó khăn trong việc lên lịch trình sản xuất. Có thể dẫn đến
Sự thiếu hiệu quả trong vận hành Tồn kho dư thừa
Không thể tuân theo lịch trình sản xuất
Lịch ship hàng thiếu hiệu quả
Giảm thiểu khả năng đápứng nhu cầu khách hàng VÍ DỤ
✓ Chuỗi cung ứng tã của P&G (1990s)
✓ Lượng hàng bán ra khá ổn định
✓ Tuy nhiên lượng đặt hàng của nhà phân phối bi ế n động khá nhiều
✓ Lượng đặt hàng nguyên vật liệu của nhà sản xuất còn biến động mạnh hơn nữa
✓ Chuỗi cung ứng máy in của HP
✓ Càng đi ngược lại chuỗicung ứng, mức độ biến động của lượng order càng lớn!
✓ Hiện tượng này còn được quan sát ở rất nhiều ngành sản xuất hàng hóa khác như ngành dược, may mặc, ….
Tuy nhiên, trong các lĩnh vực dịch vụ, hiệu ứng roi chăn bò là rất hiếm.
✓ Trong các ngành dịch vụ, việc sảnxuất và tiêu thụ diễn ra đồng thờidẫn đến tồn kho là không cần thiết hoặc rất ít.
✓ Tính biến động của nhu cầu là phổ biến. Nhu cầu của các lĩnh vực dịch vụ thường mang tính mùa vụ.
✓ Sản xuất/ tiêu thụ xảy ra ở cùng một mắt xích trong chuỗi cung ứng
CÁC RÀO CẢN CỦA SỰ HỢP TÁC
Bất kỳ yếu tố nào dẫn đến:
§Sự biến dạng thông tin §Tăng biến động §Trì hoãn thông tin §Tối ưu hóa cục bộ
sẽ dẫn đến ngăn cản sự hợp tác trong chuỗi cung ứng và đẫn đến hiệu ứng roi chăn bò
Nếu ta có thể xác định được những yếu tố này, ta có thể đưa ra các giải pháp phù hợp
Các rào cản của sự hợp tác trong chuỗi cung ứng được chia ra làm 05 loại: -
Các rào cản động cơ (Incentive Obstacles) -
C á c r à o c ả n x ử l ý t h ô n g t i n (Information Processing Obstacles) -
Các rào cản vận hành (Operational Obstacles) - Các rào cản do giá -
Các rào cản hành vi (BehavioralObstacles)
CÁC RÀO CẢN ĐỘNG CƠ
Xảy ra khi động cơ của các mắt xích khác nhau trong chuỗi dẫn đến các hành vi làm tăng sự biến động trong chuỗi và làm giảm thặng dư toàn chuỗi.
Tối ưu hóa cục bộ tại các chức năng hoặc mắt xích trong chuỗi.
Động cơ của lực lượng sales
CÁC RÀO CẢN XỬ LÝ THÔNG TIN
Khi thông tin về nhu cầu bị biến dạng khi nó được truyền dọc theo chuỗi cung ứng, dẫn đến mức độ biến động mạnh trong số lượng order
giữa các mắt xích trong chuỗi
Các mắt xích dự báo nhu cầu dựa trên lượng đơn hàng của mắt xích liền kề thay vì nhu cầu thực của khách hàng.
Thiếu chia sẻ thông tin giữa các mắt xích
CÁC RÀO CẢN VẬN HÀNH
Xảy ra khi các hành vi trong quá trình đặt và thực thi đơn hàng dẫn đến tăng sự biến động trong chuỗi cung ứng.
Đặt hàng với kích thước lô lớn (để có chiết khấu tốt và chi phí thấp hơn)
Thời gian bổ sung hàng hóa kéo dài
Vấn đề trong phân phối hàng bán ra và sự thiếu hụt (hiện tượng phổ biến trong ngành hàng điện tử với nhu cầu lên xuống liên tục) CÁC RÀO CẢN DO GIÁ
Xảy ra khi chính sách giá cả của hàng hóa dẫn đến sự biến động trong số lượng đơn hàng đặt ra
§Chính sách chiết khấu theo lượng mua (giá sỉ).
§Biến động giá (do khuyến mãi, giảm giá ngắn hạn dẫn đến mua trước)