












Preview text:
lOMoAR cPSD| 61131586 Trắc nghiệm
Câu 1: Điều tra thống kê là:
A. Việc tổ chức một cách khoa học nhằm thu thập tài liệu ban đầu về các hiện tượng nghiên cứu
B. Là hình thức thu thập thông tin về hiện tượng nghiên cứu
C. Việc tổ chức một cách khoa học và theo một kế hoạch thống nhất việc thu thập,
ghi chép tài liệu ban đầu về các hiện tượng nghiên cứu trong điều kiện thời gian và địa điểm cụ thể
D. Việc tổ chức thu thập thông tin về hiện tượng nghiên cứu trong điều kiện thời gian và địa điểm cụ thể
Câu 2: Loại điều tra nào được sử dụng để giúp nhân viên trong siêu thị nằm được sự
biến động về khối lượng hàng hóa nhập vào và bán ra mỗi ngày?
A. Điều tra thường xuyên
B. Điều tra không thường xuyên C. Cả A, B đều đúng D. Cả A, B đều sai
Câu 3: Đặc điểm chính của điều tra thống kê là:
A. Quan sát số lớn hiện tượng
B. Có phạm vi hẹp và không có quan hệ trực tiếp với quần chúng
C. Tiến hành theo kế hoạch, nội dung, phương pháp ban đầu D. Cả A, B, C đều đúng
Câu 4: Ưu điểm của điều tra thường xuyên là A.
Cung cấp thông tin tổng quát về hiện tượng
B. Cung cấp bộ số liệu chi tiết, cụ thể, toàn diện về hiện tượng
C. Theo dõi tỷ mỉ tình hình phát triển của hiện tượng theo thời gian
D. Cập nhật thông tin về hiện tượng theo thời gian
Câu 5: Điều tra thường xuyên được áp dụng với những trường hợp?
A. Hiện tượng biến động nhanh
B. Hiện tượng ít biến động C. Cả A, B đều đúng D. Cả A, B đều sai
Câu 6: Kết quả của loại điều tra nào được dùng để suy rộng cho toàn bộ hiện tượng? A. Điều tra chọn mẫu
B. Điều tra trọng điểm C. Điều tra chuyên đề D. Điều tra chọn mẫu
Câu 7: Điều tra không toàn bộ là thu thập tài liệu A.
Từ một số ít các đơn vị thuộc tổng thể hiện tượng nghiên cứu B.
Từ một vài đơn vị thuộc tổng thể hiện tượng nghiên cứu C.
Từ một số đơn vị thuộc tổng thể hiện tượng nghiên cứu D.
Từ nhiều đơn vị thuộc tổng thể hiện tượng nghiên cứu Câu 8: Ý nào không
đúng liên quan đến Điều tra toàn bộ?
A. Cho biết thông tin chi tiết, toàn diện về tất cả các đơn vị tổng thể
B. Cho biết quy mô của tổng thể
C. Tốn kém tài chính, nhân lực, thời gian lOMoAR cPSD| 61131586
D. Áp dụng rộng rãi cho tất cả các hiện tượng
Câu 9: Loại điều tra nào được sử dụng để giúp nhân viên trong siêu thị năm được sự
biến động về khối lượng hàng hóa nhập vào và bán ra mỗi ngày?
A. A Điều tra thường xuyên B. Điều tra toàn bộ
C. Điều tra trọng điểm D. Điều tra chọn mẫu
Câu 10: Ưu điểm của điều tra toàn bộ là: A. Cung
cấp thông tin tổng quát về hiện tượng
B. Cung cấp bộ số liệu chi tiết, cụ thể, toàn diện về hiện tượng
C. Theo dõi tỉ mỉ tình hình phát triển của hiện tượng theo thời gian
D. Cập nhật thông tin về hiện tượng theo thời gian
Câu 11: Ký hiệu " - “ trong bằng thống kê có nghĩa
A. Hiện tượng không có số liệu
B. Hiện tượng còn thiểu số liệu và sẽ bổ sung sau
C. Hiện tượng không liên quan đến vấn đề nghiên cứu
D. Đây là 1 số liệu cố định
Câu 12: Khi xây dựng bảng thống kê, không cần phải
A. Sắp xếp chỉ tiêu 1 cách hợp lý
B. Lựa chọn màu sắc cho phù hợp
C. Kỳ hiệu cột, hàng rõ ràng
D. Ghi đơn vị tỉnh của chỉ tiêu
Câu 13: Bảng thống kê là hình thức trình bày các tài liệu thống kê theo
A. Hàng ngang và cột dọc một cách có hệ thống
B. Theo các đường nét hình học kết hợp với màu sắc C. Cả A & B đúng D. Cả A & B sai
Câu 14: Ký hiệu "X" trong bảng thống kê có nghĩa A.
Hiện tượng không có số liệu B.
Hiện tượng còn thiếu số liệu và sẽ bổ sung sau C.
Hiện tượng không liên quan đến vấn đề nghiên cứu D.
Đây là một số liệu có định Câu 15: Bảng thống kê phân tổ là:
A. Bảng thống kê mà phần chủ đề không phân tố
B. Bảng thống kê mà phần chủ đề được phân ra thành các tổ theo 1 tiêu thức nào đó
C. Bảng thống kê mà phần chủ đề được phân ra thành các tổ theo 2 hay nhiều tiêu thức kết hợp với nhau
D. Bảng thống kẻ mà phần chủ đề được phân ra thành các tổ theo 1 tiêu thức thuộc
tính và 1 tiêu thức số lượng
Câu 16: Để phản ánh kết cấu của hiện tượng nghiên cứu, người ta có thể sử dụng loại
đồ thị nào trong các đô thị sau: A. Đồ thị hình tròn B. Đồ thị hình cột C. Cả A & B đúng D. Cả A & B sai lOMoAR cPSD| 61131586
Câu 17: Đồ thị nào dùng để phản ánh tình hình thực hiện kế hoạch:
A. Đồ thị hình tròn B. Đồ thị đường gấp khúc
C. Đồ thị ra đa (mạng nhện) D. Cả A, B & C đùng
Câu 18: Khi xây dựng đồ thị thống kê, yếu tố nào sau đây là quan trọng nhất
A. Lựa chọn loại đồ thị phù hợp
B. Xác định quy mô của đồ thị
C. Giải thích chi tiết các ký hiệu trong đồ thị
D. Lựa chọn màu sắc cho phù hợp
Câu 19: Đồ thị thống kê là hình thức trình bày các tài liệu thống kê theo:
A. Hàng ngang và cột dọc một cách có hệ thống
B. Theo các đường nét hình học kết hợp với màu sắc C. Cả A & B đúng D. Cả A & B sai
Câu 20: Đồ thị nào dùng để biểu diễn mối liên hệ giữa các tiêu thức A. Đồ thị hình tròn
B. Đồ thị đường gấp khúc C. Bản đồ thống kê D. Cả A, B & C sai CHƯƠNG 1:
Khái niệm Thống kê học là môn khoa học nghiên cứu về phương pháp tiến hành quá
trình nghiên cứu thống kê, tức là nghiên cứu các phương pháp tiến hành thu thập, xử lý
và phân tích các thông tin về mặt lượng của những hiện tượng và quá trình kinh tế - xã
hội số lớn để tìm hiểu bản chất và quy luật vốn có của chúng (mặt chất) trong điều kiện
địa điểm và thời gian cụ thể. Thống kê học là khoa học về công tác thống kê.
Đối tượng nghiên cứu:
1. Thống kê là môn khoa học xã hội nghiên cứu các hiện tượng và quá trình kinh tế - xã hội
- Các hiện tượng về dân số, lao động như số nhân khẩu, số lao động, lao
động theo giới tính, độ tuổi,...
- Các hiện tượng về quá trình tái sản xuất của cải vật chất của xã hội: các
yếu tố sản xuất ( tư liệu lao động, đối tượng lao động, sức lao động), các
khâu của quá trình sản xuất ( sản xuất, phân phối, trao đổi, tiêu dùng) tình
hình sở hữu tài nguyên và sản phẩm xã hội
- Hiện tượng về đời sống vật chất, văn hóa, giáo dục, y tế: mức sống vật
chất và tinh thần, trình độ văn hóa, môi trường sống,...
- Hiện tượng về sinh hoạt chính trị, xã hội, an ninh trật tự: các cơ quan nhà
nước, các tổ chức đoàn thể,.... lOMoAR cPSD| 61131586
- Ảnh hưởng của các điều kiện tự nhiên ( lũ lụt, hạn hán, sóng thần); ảnh
hưởng của các tiến bộ khoa học kỹ thuật ( công nghệ thông tin, kỹ thuật
truyền thông) đến sản xuất ( năng suất lao động, hiệu quả kinh tế)
2. Tkh nghiên cứu mặt lượng trong mối quan hệ mật thiết với mặt chất
- Mặt lượng mô tả bằng con số cụ thể nói lên khối lượng, quy mô, kết cấu, tỷ lệ so
sánh, tốc độ phát triển.
- Mặt chất là đặc trưng, bản chất, đặc điểm, quy luật phát triển của hiện tượng nghiên cứu.
- Thông qua các con số thì bản chất, quy luật của hiện tượng được nhận thức có
thể cung cấp khuyến nghị cho nhà lãnh đạo
3. TKH nghiên cứu các hiện tượng số lớn
- Nghiên cứu tập hợp đủ lớn các hiện tượng cá biệt giúp bù trừ, triệt tiêu tác động
của yếu tố ngẫu nhiên. Từ đó thấy được ảnh hưởng và nhận thức đúng đắn bản
chất và quy luật phát triển của hiện tượng.
- Nghiên cứu hiện tượng cá biệt, điển hình tích cực hoặc điển hình lạc hậu để tìm
hiểu nguyên nhân đặc thù. Để hiểu bản chất và tìm ra biện pháp khuyến khích
phát huy cái mới, khắc phục cái yếu kém.
4. TKH nghiên cứu các hiện tượng kinh tế xã hội trong điều kiện lịch sử cụ thể.
- Vd: cùng mức thu nhập nhưng ở thành phố khác được xem là giàu thì cũng có thể
là nghèo ở nơi khác. Do đó phân tích số liệu thống kế phải xem xét nó trong điều
kiện lịch sử cụ thể về thời gian và không gian mới đưa ra kết luận đúng.
Tổng thể thống kê
Khái niệm: là tập thể những đơn vị, những phần tử cá biệt được liên kết với nhau trên cơ
sở một đặc điểm chung nào đó. Phân loại:
- Theo mục tiêu nghiên cứu: tổng thể đồng chất là tổng thể bao gồm các đơn vị, các
phần tử giống nhau về đặc điểm chủ yếu liên quan đến mục đích nghiên cứu ( các
xí nghiệp sản xuất công nghiệp có đặc điểm chung là sản xuất công nghiệp) và
tổng thể không đồng chất là tổng thể các đơn vị có nhiều đặc điểm khác nhau (
doanh nghiệp sản xuất sắt, doanh nghiệp sản xuất thép; doanh nghiệp tư nhân, doanh nghiệp nhà nước)
- Theo phạm vị nghiên cứu: tổng thể chung là tất cả các đơn vị các bộ phận cấu
thành tổng thể thuộc cùng một phạm vi nghiên cứu ( toàn bộ sinh viên của Đại học
Thái Nguyên) và tổng thể bộ phận chỉ bao gồm một phần của tổng thể chung (
sinh viên của Đại học Kinh tế & QTKD).
- Theo hình thái thể hiện: tổng thể bộc lộ là các đơn vị tổng thể được biểu hiện rõ
ràng, dễ xác định( số sinh viên của 1 trường đại học) và tổng thể tiềm ẩn là khi
không nhận biết được các đơn vị của chúng một cách trực tiếp, ranh giới không
rõ ràng ( người mê tín dị đoan, ..) Ý nghĩa: lOMoAR cPSD| 61131586
Tiêu thức thống kê
Khái niệm: dùng để chỉ một đặc điểm nào đó của đơn vị tổng thể
Phân loại: 2 tiêu thức chính ( 2 gạch đầu dòng đầu)
- Tiêu thức thuộc tính: phản ánh tính chất của đơn vị tổng thể, không biểu hiện trực
tiếp bằng số mà bằng chữ: giới tính, dân tộc, quê quán… tiêu thức này có thể
biểu hiện trực tiếp như tôn giáo, giới tính,... biểu hiện gián tiếp như đạo đức -
Tiêu thức số lượng: là tiêu thức biểu hiện bằng số: nhân khẩu, thu nhập. => cả 2
tiêu thức trên đều thAM gia vào việc xác đơn vị tổng thể cũng như tổng thể. Từ đó
ta phân biệt được đơn vị này với đơn vị khác, tổng thể này với tổng thể khác.
- Tiêu thức nguyên nhân: là tiêu thức tác động, gây ảnh hưởng để tạo kết quả
- Tiêu thức thay phiên: là một tiêu thức mà chỉ có hai biểu hiện thay nhau xuất hiện
ở mỗi đơn vị tổng thể.
- tiêu thức kết quả: là tiêu thức chịu tác động, chịu ảnh hưởng của tiêu thức nguyên nhân
Chỉ tiêu thống kê:
Khái niệm: dùng để biểu hiện một cách tổng hợp đặc điểm về số lượng trong sự thống
nhất với mặt chất của tổng thể thống kê ( tổng sản lượng, tổng quỹ lương,..) Phân loại:
● Căn cứ vào nội dung phản ánh:
- Chỉ tiêu chất lượng: biểu hiện tính chất, trình độ phát triển của tổng thể như năng
suất lao động, giá thành sản phẩm,...
- Chỉ tiêu khối lượng biểu hiện quy mô của tổng thể như số lượng công nhân, số sản phẩm sản xuất ra
● Căn cứ vào hình thức biểu hiện
- Chỉ tiêu hiện vật: là chỉ tiêu biểu hiện bằng các đơn vị tự nhiên đơn vị đo lường: cái, con chiếc, kg, km,...
- Chỉ tiêu giá trị: biểu hiện bằng đơn vị tiền tệ: VND, USD, … Các loại thang đo
Thang đo định danh là thang đo dùng để đánh số các biểu hiện cùng loại của tiêu thức.
Thang đo này chỉ dùng để đếm tần số xuất hiện của từng biểu hiện.
Thang đo thứ bậc: là Thang đo định danh nhưng ggiữacasc biểu hiện có quan hệ thứ bậc hơn kém
Thang đo khoảng: là thang đo thứ bậc của các khoảng cách đều nhau nhưng không có gốc 0
Thang đo tỷ lệ là thang đo khoảng với một điểm 0 tyệt đối được coi là điểm xuất phát của
độ dài đo lường trên thang.
Chương 2: Điều tra thống kê
- Yêu cầu của điều tra thống kê: lOMoAR cPSD| 61131586 + Chính xác + Kịp thời + Đầy đủ - Phân loại:
+ Phân loại theo mức độ điều tra: thường xuyên, không thường xuyên
+ Phân loại theo phạm vi điều tra: toàn bộ, không toàn bộ
* Các phương pháp thu thập tài liệu điều tra:
- Phương pháp thu thập trực tiếp: là phương pháp thu thập tài liệu, trong đó điều
tra viên tự mình quan sát, giám sát, hoặc trực tiếp phỏng vấn đối tượng điều tra.
+ Ưu điểm: có độ chính xác cao vì không phải qua một yếu tố trung gian nào
+ Nhược điểm: tốn kém chi phí
- Phương pháp thu thập gián tiếp: là thu thập tài liệu điều tra, trong đó điều tra
viên hỏi đối tượng qua thư, qua trung gian, hoặc cũng có thể khai thác tài liệu
qua các văn bản sẵn có liên quan đến đối tượng điều tra.
+ Ưu điểm: đơn giản, dễ làm, tiết kiệm chi phí
+ Nhược điểm: kết quả thu được chậm, không đầy đủ, tính chính xác không cao.
=> Chỉ nên dùng khi không có điều kiện hỏi trực tiếp và kết quả cần hiệu chỉnh lại cho thích hợp. * Các loại câu hỏi a) Câu hỏi theo nội dung
- Nhóm thứ nhất: Câu hỏi về sự kiện
+ Là những câu hỏi về sự kiện hiện thực nào đó đã và đang tồn tại
- Nhóm thứ hai: Câu hỏi dùng để đo lường:
+ Trạng thái của hiện tượng + Trình độ nhận thức
+ Mong muốn, thái độ, tình cảm, động cơ… b) Câu hỏi chức năng - Câu hỏi tâm lý
- Câu hỏi lọc - Câu kiểm tra
c) Câu hỏi theo cách biểu hiện -
Theo biểu hiện của câu trả lời: + Câu hỏi đóng:
● Câu hỏi đóng lựa chọn (loại trừ): người trả lời chỉ được chọn 1 phương án trả lời.
● Câu hỏi đóng tùy chọn: người trả lời được chọn nhiều phương án trả lời. + Câu hỏi mở + Câu hỏi hỗn hợp
- Theo biểu hiện của câu hỏi ● Câu hỏi trực tiếp ● Câu hỏi gián tiếp
* Sai số trong điều tra thống kê lOMoAR cPSD| 61131586
1. Khái niệm: Sai số trong điều tra thống kê là chênh lệch giữa
trị số mà điều tra thu thập được so với trị số mà điều tra thu
thập được so với trị số thực của hiện tượng.
2. Các loại sai số và biện pháp hạn chế sai số - Các loại sai số:
+ Sai số do đăng ký: Sai số tự nhiên, sai số hệ thống
+ Sai số do tính chất đại biểu
a) Sai số do đăng ký: là sai số phát sinh do xác định và ghi chép dữ liệu ban đầu không chính xác.
- Nguyên nhân dẫn đến sai số:
+ Sử dụng các công cụ đo lường không chính xác + Vô tình ghi chép sai
+ Cán bộ điều tra (hoặc người trả lời) không hiểu chính xác nd câu hỏi
+ Lỗi in ấn phiếu điều tra
+ CBĐT hoặc người trả lời cố tình làm sai
- Biện pháp hạn chế sai số:
+ Làm tốt công tác chuẩn bị điều tra:
● Chọn nhân viên điều tra có năng lực
● Tập huấn và kiểm tra nhân viên điều tra
● In ấn tài liệu chính xác
● Chuẩn bị dụng cụ đo lường đầy đủ
+ Tiến hành kiểm tra một cách có hệ thống và thường xuyên toàn bộ cuộc điều tra:
● Kiểm tra về mặt logic
● Kiểm tra việc xác định và tính toán số liệu
● Kiểm tra tính chất đại biểu… +
Làm tốt công tác tuyên truyền
b) Sai số do tính chất đại biểu chỉ xảy ra trong điều tra chọn mẫu
- Nguyên nhân: do việc lựa chọn số đơn vị mẫu để điều tra thực tế không đủ tính
chất đại biểu cho tổng thể chung - Biện pháp hạn chế: + Tăng quy mô mẫu + Chọn mẫu khoa học
+ Áp dụng phương pháp điều tra chọn mẫu có sai số thấp
Chương 3: Tổng hợp thống kê
- Khái niệm: THTK là sự tập trung, chỉnh lý và hệ thống hóa 1 cách khoa học các
tài liệu thu được trong điều tra thống kê thành tài liệu phản ánh đặc trưng chung cho cả tổng thể.
- Các bước tiến hành tổng hợp thống kê:
+ B1: Kiểm tra tài liệu dùng vào tổng hợp
+ B2: Phân chia các đơn vị tổng thể vào các tổ thể vào các tổ và các tiểu tổ có tính chất khác nhau
+ B3: Tính toán số liệu, Trình bày kết quả tổng hợp
- Phân loại phân tổ thống kê: lOMoAR cPSD| 61131586 +
Căn cứ vào số lượng tiêu thức phân tổ: Phân tổ giản đơn, Phân tổ phức tạp
+ Căn cứ vào tính chất biểu hiện của tiêu thức: Phân tổ theo tiêu thức thuộc tính,
Phân tổ theo tiêu thức số lượng
+ Căn cứ vào khoảng cách tổ: phân tổ có khoảng cách tổ, phân tổ không có khoảng cách tổ
- Các bước tiến hành phân tổ thống kê:
+ B1: Lựa chọn tiêu thức phân tổ
+ B2: Xác định số tổ cần thiết và khoảng cách tổ
+ B3: Chọn các đơn vị vào các tổ tương ứng -
Phân tổ theo tiêu thức thuộc tính:
+ Nếu số loại hình tương đối ít, có thể coi mỗi loại hình là một tổ.
+ Nếu số loại hình thực tế có nhiều: phải ghép nhiều tổ nhỏ thành một tổ lớn.
- Phân tổ theo tiêu thức số lượng
+ Trường hợp lượng biến biến thiên ít: Phân tổ không có khoảng cách tổ
+ Trường hợp lượng biến biến thiên nhiều: Phân tổ có khoảng cách tổ
* Hình thức trình bày tổng hợp thống kê 1. Bảng thống kê
- Khái niệm: Bảng thống kê là một hình thức trình bày các tài liệu thống kê thành
các hàng ngang, cột dọc 1 cách có hệ thống, hợp lý và rõ ràng nhằm nêu lên
đặc trưng về mặt lượng của hiện tượng nghiên cứu. - Ý nghĩa:
+ Nêu được đặc trưng cơ bản của từng tổ và toàn bộ tổng thể
+ Mô tả mối liên quan mật thiết giữa các số liệu thống kê
+ Giúp tiến hành so sánh, đối chiếu, phân tích số liệu theo các phương pháp khác nhau. - Cấu tạo:
+ Về hình thức: Bảng thống kê bao gồm bộ khung gồm các hàng ngang, cột dọc,
các tiêu đề và các số liệu
+ Về nội dung: Bảng thống kê gồm hai phần: Phần chủ đề và phần giải thích - Phân loại
+ Bảng thống kê giản đơn
+ Bảng thống kê phân tổ
+ Bảng thống kê kết hợp
- Lưu ý khi xây dựng bảng
+ Quy mô của bảng không nên quá lớn
+ Các tiêu đề, tiêu mục cần được ghi chính xác, gọn và dễ hiểu
+ Các hàng và cột thường được kí hiệu bằng chữ hoặc số
+ Các chỉ tiêu giải thích cần được sắp xếp theo thứ tự hợp lý
+ Phải ghi đơn vị tính trong bảng thống kê
+ Các ô trong bảng phải có số liệu hoặc ký hiệu thay thế
+ Phần ghi chú ở cuối bảng dùng trích dẫn nguồn tài liệu đã sử dụng 2. Đồ thị thống kê
- Khái niệm: ĐTTK là PP dùng các hình vẽ hoặc đường nét hình học kết hợp với
màu sắc dùng để trình bày các đặc trưng về lượng của hiện tượng nghiên cứu. lOMoAR cPSD| 61131586
- Ý nghĩa: Người xem không mất công đọc các con số mà vẫn nhận thức được
đặc điểm chủ yếu của hiện tượng 1 cách dễ dàng. - Phân loại:
+ Căn cứ theo nội dung phản ánh ta có: Đồ thị kết cấu, Đồ thị phát triển, Đồ thị
hoàn thành kế hoạch và định mức, Đồ thị liên hệ, Đồ thị so sánh, Đồ thị phân phối.
+ Căn cứ vào hình thức biểu hiện ta có: Biểu đồ hình cột, Biểu đồ diện tích, Đồ
thị đường gấp khúc,...
- Lưu ý khi xây dựng đồ thị thống kê
+ Lựa chọn loại đồ thị phù hợp với tính chất của hiện tượng nghiên cứu
+ Xác định quy mô của đồ thị cho vừa phải
+ Các thang đo tỷ lệ và độ rộng của đồ thị phải được xác định chính xác
+ Trong một đồ thị thống kê, không nên vẽ nhiều đường cột chi tiết quá
Chương 4: Các mức độ của hiện tượng kinh tế xã hội 1. Số tương đối
1.1. Số tương đối động thái
Là kết quả so sánh giữa hai mức độ của hiện tượng cùng loại nhưng khác
nhau về thời gian. Số tương đối phản ánh sự biến động của hiện tượng nghiên
cứu theo thời gian nên nó được gọi là tốc độ phát triển hay chỉ số phát triển. y1 t= (lần) y0
t: Số tương đối động thái
y1: Mức độ của hiện tượng kỳ nghiên cứu y0:
Mức độ của hiện tượng kỳ gốc
1.1. Số tương đối kế hoạch
Được dùng để xây dựng kế hoạch và kiểm tra tình hình thực hiện kinh tế 1.2. 2. Các loại số bình quân
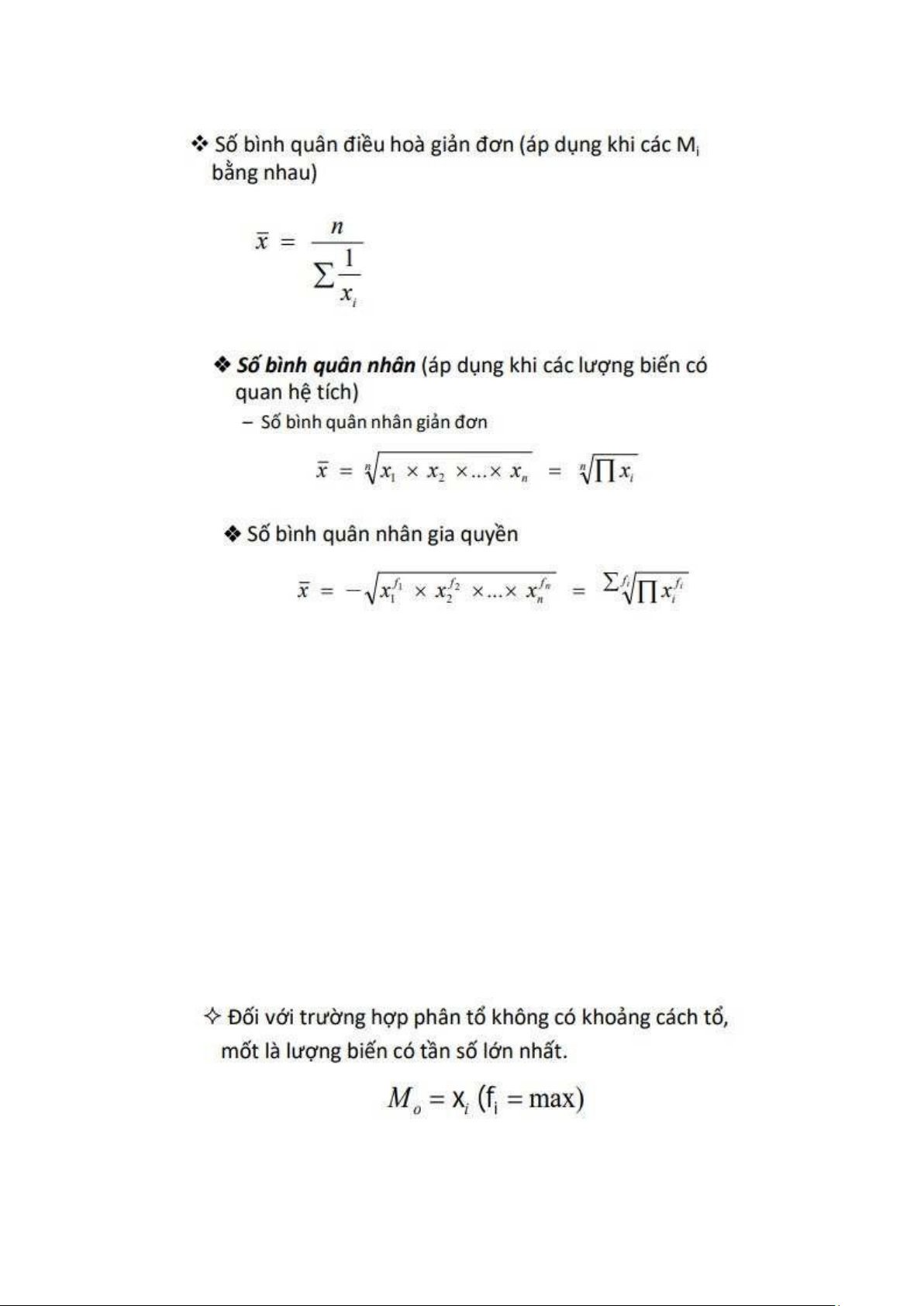
Khái niệm: là chỉ tiêu thể hiện mức độ đại biểu theo một tiêu thức số lượng nào
đó của tổng thể bao gồm nhiều đơn vị cùng loại lOMoAR cPSD| 61131586 lOMoAR cPSD| 61131586 3.
Mốt: là lượng biến có tần số lớn nhất trong một dãy số phân phối thống kê lOMoAR cPSD| 61131586 4. Trung vị Khái niệm: lOMoAR cPSD| 61131586 5.
Các tham số đo độ biến thiên