Report tài liệu
Chia sẻ tài liệu
TÀI LIỆU TOÁN HỌC XỬ LÍ SỐ LIỆU] 21 ĐỀ THỰC CHIẾN ĐÁNH GIÁ NĂNG LỰC ĐHQG HÀ NỘI 2025
TÀI LIỆU TOÁN HỌC XỬ LÍ SỐ LIỆU 21 ĐỀ THỰC CHIẾN ĐÁNH GIÁ NĂNG LỰC ĐHQG HÀ NỘI 2025. Tài liệu sưu tầm được tổng hợp. Mời các bạn tham khảo
Chủ đề: Tài liệu chung 274 tài liệu
Môn: Toán 12 4.7 K tài liệu
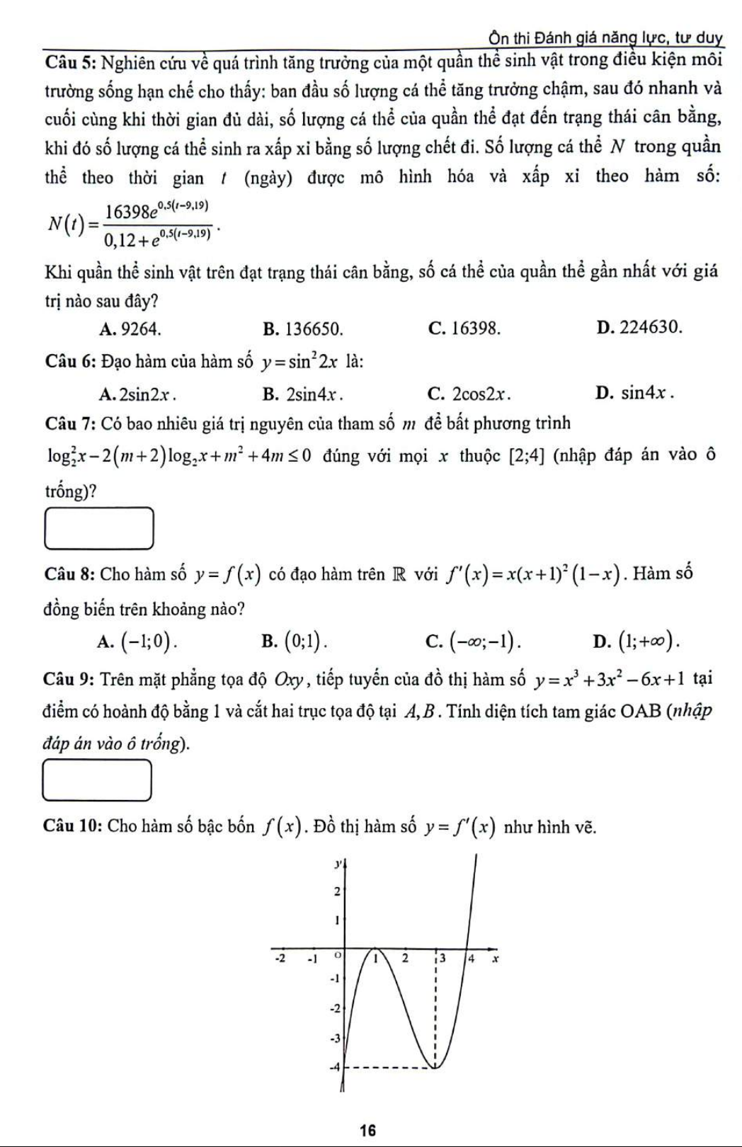
Tác giả:



















