




Preview text:
Ngày 23 tháng 2 năm 2023 Phòng thí nghiệm: A4502A
Bài thí nghiệm số 2:
XÁC ĐỊNH GIA TỐC TRỌNG TRƯỜNG BẰNG CÁCH KHẢO SÁT
DAO ĐỘNG CỦA CON LẮC VẬT LÝ Họ và tên SV Nhóm: 9 Nhận xét của GV 1. Lê Đức Minh Vương Thứ: 2 2. Nguyễn Ngô Ngọc Vân Tiết: 4-5
A – CÂU HỎI CHUẨN BỊ
1. Định nghĩa con lắc thuận nghịch. Nêu rõ nguyên nhân gây ra dao động của con lắc?
- Con lắc thuận nghịch là con lắc có đến hai điểm treo O1 và O2, ta có thể treo con lắc dao
động quanh một trong hai điểm đó. Khi đó con lắc dao động như một con lắc vật lý thông
thường với chu kỳ: T L =2 π √ g
- Nguyên nhân gây ra dao động của con lắc là do mômen quán tính I của trọng lực ⃗P tác dụng lên con lắc.
2. Hình ảnh bố trí dụng cụ thí nghiệm:
3. Hãy trình bày sơ lược các bước để lấy số liệu?
Ta tiến hành các bước để lấy số liệu như sau:
- Bước 1: Vặn quả nặng B sát vào phía dao O2 (a = 0). Cho con lắc dao động quanh lưỡi dao O1,
do thời gian của N chu kỳ dao động, ghi số liệu vào bảng 1.
- Bước 2: Cho con lắc dao động quanh lưỡi dao O2. Do thời gian của N chu kì dao động, ghi số liệu vào bảng 1.
- Bước 3: Nới quả nặng B ra phía ngoài thêm 5mm (a = 5) và tiếp tục lặp lại phép đo trên, đến
khi nào quả nặng B ra đến vị trí xa nhất có thể.
Khoảng cách a do bằng thước kẹp.
Chiều dài rút gọn L của con lắc, hay khoảng cách giữa hai điểm treo O1, O2, có thể đo bằng thước.
4. Đại lượng cần xác định trong bài là gì? Hãy viết công thức và chú thích các đại lượng có liên quan. -
Cần xác định thời gian dao động của con lắc và chu kỳ dao động. - Các công thức: T L =2 π√ g 4π2L g= T2 Chú thích: • T: chu kỳ con lắc •
L: chiều dài con lắc •
g: gia tốc trọng trường
5. Nêu cấu tạo chính của thước kẹp? Trình bày ngắn gọn cách đọc một giá trị trên thước kẹp?
- Cấu tạo chính của thước kẹp bao gồm: Mỏ đo trong, mỏ đo ngoài, thân thước, vít giữ, thước phụ,
thước chính, bộ phận di động, thanh đo độ sâu.
- Cách đọc một giá trị trên thước kẹp: Kết quả đọc được trên thước sẽ bao gồm phần nguyên và
phần thập phân, kích thước đo được sẽ là tổng của hai phần này.
Xác định phần nguyên: xem vạch 0 của du xích (phần thanh trượt trên thước kẹp) trùng với vị trí
nào của thước chính thì đó là phần nguyên của kết quả. Giá trị phần nguyên được đọc đến 1mm,
trường hợp mà hai vạch trên không trùng nhau thì lấy giá trị trên thước chính ở vị trí vạch bên trái
gần nhất với điểm 0 của du xích.
Xác định phần thập phân: xem vạch nào của du xích trùng với vạch của thước chính thì lấy số
thứ tự của vạch đó (tính từ 0) trên thước phụ nhân với độ chính xác của thước thì ra phần thập phân.
B. XỬ LÝ SỐ LIỆU - TRÌNH BÀY KẾT QUẢ
1. tMục đích bài thí nghiệm:
Xác định gia tốc trọng trường bằng cách khảo sát dao dộng con lắc vật lý. 2. Bảng số liệu:
- Chiều dài con lắc vật lý: L = 70.5cm.
- Độ chính xác của máy đo thời gian MC-963A: 0.01s.
- Độ chính xác của thước kẹp: 0.02mm.
- Độ chính xác của thước dây: 1mm a t1 T1 t2 T2 (mm) (s) (s) (s) (s) 0 84.11 1.6822 83.74 1.6748 5 84.19 1.6838 84.02 1.6804 10 84.26 1.6852 84.13 1.6826 15 84.28 1.6856 84.23 1.6846 20 84.31 1.6862 84.32 1.6864 25 84.35 1.6870 84.44 1.6888 30 84.37 1.6874 84.48 1.6896 35 84.45 1.6890 84.64 1.6928 Tính sai số ΔT : ω 2 Δ 2 0.01 2 0.01 2 ΔT ht 3 3 )
=γ √( ) +( max)=1.8 ΔT ht √( 3 )+( =0.0085s 3 ΔT =¿ =1.7 ×10-4 s 50
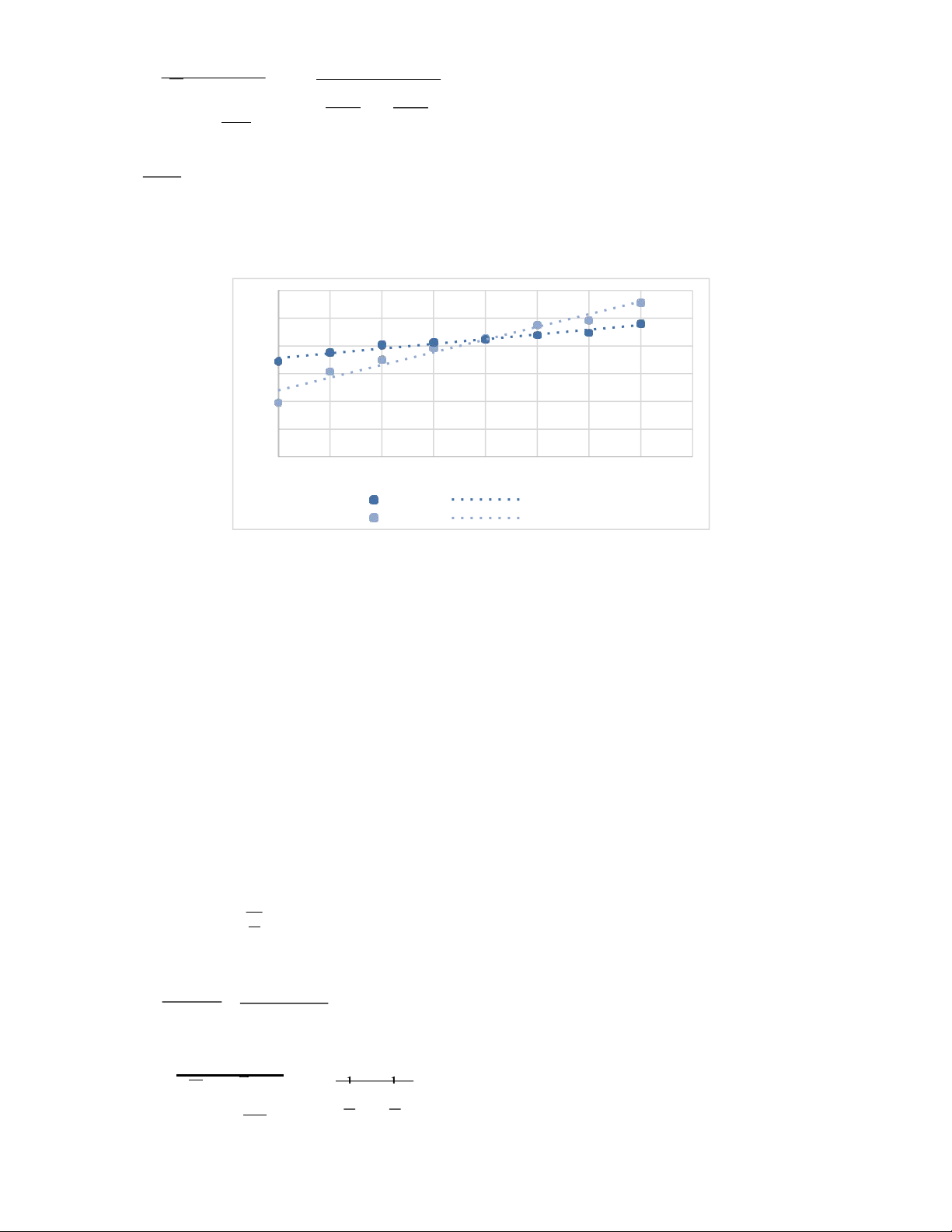
3. Vẽ đồ thị: 1.695
f(x) = 0.000458095238095239 x + 1.67698333333333
1.69 f(x)=0.000170476190476193x+1.68281666666667 1.685 1.68 1.675 1.67 1.6650 5 10 15 20 25 30 35 40 T1(s) Linear (T1(s)) T2(s) Linear (T2(s))
Chu kỳ dao động của con lắc vật lý là giao điểm hai hàm số trong đồ thị hay trung bình các giá trị đo được của T1 và T2:
y1 = y2 = 0.0002x1 + 1.6828 = 0.0005x2 + 1.677 → x = x1 = x2 = 19.33 mm (a)
→ T= 0.0002×19.33 + 1.6828 = 1.687 s
4. Tính gia tốc trọng trường g: Ta có: T g
=2 π √L(2π)2.0,705
⇨ g= (2 π )2. L = T2 1.6872 =9,7696 m/s2
5. Tính sai số của g: ω 2 Δ 2 1 2 1 2 Δ Lht=γ 3
√(3)+( max)=1,8√(3)+(3)=0.85mm ∆ π=0.0016
Ta có: g= (2 π )2. L T 2
⇨ lng = ln4 + 2lnπ +lnL -2lnT
⇨ ε g=∣αlng
απ ∣∆ π+∣αlng
αL ∣∆ L+ α
∣αlngT∣∆T=2∆ππ +∆LL+2∆TT
2× 0.0016 0.85 2× 1.7× 10−4 ¿ 3.14 + 705 + 1.687 =0,0024 m/s2
∆ g=εg .g=0.0024 × 9.7696=0.0 23 m/s2
6. Viết kết quả đo:
g=g± Δg=(9.7 7±0.0 3)×100 m/s2
7. Nhận xét kết quả đo:
Sai số của gia tốc trọng trường là không đáng và kết quả gần đúng với giá trị lí thuyết nên kết quả có thể tin tưởng được.
Document Outline
- g
- 2.Hình ảnh bố trí dụng cụ thí nghiệm:
- 4.Đại lượng cần xác định trong bài là gì? Hãy viết c
- 5.Nêu cấu tạo chính của thước kẹp? Trình bày ngắn gọ
- B. XỬ LÝ SỐ LIỆU - TRÌNH BÀY KẾT QUẢ
- 2.Bảng số liệu:
- 3.Vẽ đồ thị:
- 4.Tính gia tốc trọng trường g:
- L
- 5.Tính sai số của g:
- 6.Viết kết quả đo:
- 7.Nhận xét kết quả đo: