



















Preview text:
lOMoAR cPSD| 58707906 MỤC LỤC
Lời mở đầu ............................................................................................................... 3
PHẦN 1: LÝ LUẬN CHUNG VỀ ĐẦU TƯ PHÁT TRIỂN VÀ ĐẶC ĐIỂMCỦA
ĐẦU TƯ PHÁT TRIỂN ........................................................................................... 4
1.1. Khái niệm, vị trí, vai trò của đầu tư phát triển .............................................. 4
1.1.1. Khái niệm đầu tư phát triển: .................................................................. 4
1.1.2. Vị trí của đầu tư phát triển trong hoạt động đầu tư của nền kinh tế ..... 5
1.1.3. Vai trò của đầu tư phát triển .................................................................. 5
1.2. Các đặc điểm cơ bản của đầu tư phát triển và sự quán triệt các đặc điểm đầu
tư phát triển trong công tác quản lý đầu tư .......................................................... 6
1.2.1. Quy mô tiền vốn, vật tư, lao động cần thiết cho hoạt động ĐTPT thường
rất lớn ............................................................................................................... 6
1.2.2. Thời kì đầu tư kéo dài .......................................................................... 11
1.2.3. Thời gian vận hành các kết quả đầu tư kéo dài ................................... 12
1.2.4. Các thành quả của hoạt động đầu tư phát triển là các công trình xây
dựng thường phát huy tác dụng ở ngay tại nơi nó được tạo dựng nên, do đó,
quá trình thực hiện đầu tư cũng như thời kỳ vận hành các kết quả đầu tư chịu
ảnh hưởng lớn của các nhân tố về tự nhiên, kinh tế, xã hội vùng ................. 14
1.2.5. Đầu tư phát triển có độ rủi ro cao ....................................................... 15
1.3. Sự tác động của đặc điểm đầu tư phát triển tới công tác quản lý hoạt động
đầu tư .................................................................................................................. 17
1.3.1. Góc độ vĩ mô: ....................................................................................... 17
1.3.2. Góc độ vi mô: trên cơ sở của các nhà đầu tư và doanh nghiệp .......... 17
PHẦN 2: SỰ QUÁN TRIỆT CÁC ĐẶC ĐIỂM CỦA ĐẦU TƯ PHÁT TRIỂN .. 18
VÀO QUẢN LÝ HOẠT ĐỘNG ĐẦU TƯ Ở VIỆT NAM ................................... 18
2.1. Hoạt động đầu tư phát triển giai đoạn giai đoạn 2000 đến nay .................. 18
2.2. Đánh giá chung về quản lý hoạt động đầu tư ở Việt Nam giai đoạn 2000nay
............................................................................................................................ 20 lOMoAR cPSD| 58707906
2.2.1. Những tiến bộ đã đạt được ................................................................... 20
2.2.2. Những hạn chế còn tồn tại: .................................................................. 21
2.3. Tình hình quán triệt các đặc điểm của ĐTPT trong quản lý hoạt động đầu
tư ở Việt Nam trong giai đoạn qua ..................................................................... 23
2.3.1. Quán triệt đặc điểm thứ 1 .................................................................... 23
2.3.2. Quán triệt đặc điểm thứ 2 .................................................................... 31
2.3.3. Quán triệt đặc điểm thứ 3 .................................................................... 34
2.3.4. Quán triệt đặc điểm thứ 4 .................................................................... 39
2.3.5. Quán triệt đặc điểm thứ 5 .................................................................... 43
PHẦN 3: GIẢI PHÁP KIẾN NGHỊ NHẰM TĂNG CƯỜNG CHẤT LƯỢNG
QUẢN LÝ HOẠT ĐỘNG ĐẦU TƯ Ở VIỆT NAM TRÊN CƠ SỞ TĂNG
CƯỜNGQUÁN TRIỆT CÁC ĐẶC ĐIỂM CỦA HOẠT ĐỘNG ĐTPT .............. 46
3.1. Dự báo về nhu cầu đầu tư phát triển trong thời gian tới ............................. 46
3.2.Giải pháp kiến nghị ...................................................................................... 46
3.2.1. Tăng cường quán triệt đặc điểm 1 ....................................................... 46
3.2.2. Tăng cường quán triệt đặc điểm thứ 2 ................................................. 52
3.2.3. Tăng cường quán triệt đặc điểm thứ 3 ................................................. 55
3.2.4. Tăng cường quán triệt đặc điểm thứ 4 ................................................. 58
3.2.5. Tăng cường quán triệt đặc điểm thứ 5 ................................................. 59
TÀI LIỆU THAM KHẢO ................................................................................... 60 lOMoAR cPSD| 58707906 Lời mở đầu
Trong những năm qua, Việt Nam đã có những bước tiến vượt bậc về phát
triển kinh tế xã hội của đất nước. Tốc độ tăng trưởng nhanh, đời sống nhân dân
ngày càng được cải thiện, xóa đói giảm nghèo và phát triển con người có những
thành tựu to lớn, sức sản xuất được giải phóng mạnh mẽ. Những thành tựu về kinh
tế đã tạo tiền đề cho sự ổn định chinh trị- xã hội, chủ quyền quốc gia được vững vàng.
Để có được sự thay đổi đó thì có sự đóng góp to lớn của hoạt động đầu tư
phát triển và công tác quản lí đầu tư. Vì vậy vấn đề đặt ra là phải nghiên cứu kĩ
lưỡng những đặc điểm của đầu tư phát triển để từ đó có phương hướng vận dụng
đặc điểm đó trong công tác quản lý hoạt động đầu tư cho phù hợp.
Bài viết “Đặc điểm của đầu tư phát triển và sự quán triệt các đặc điểm đó
vào công tác quản lý đầu tư” tập trung làm rõ các đặc điểm của đầu tư phát triển
và làm rõ yêu cầu đối với việc quán triệt các đặc điểm này trong công tác quản lý
đầu tư tại Việt Nam trong khoảng 13 năm trở lại đây từ 2000-2013.
Nhóm thực hiện xin chân thành cảm ơn PGS-TS Từ Quang Phương đã
hướng dẫn và giúp đỡ cho việc thực hiện bài viết.
Trong quá trình thực hiện mặc dù đã hết sức cố gắng nhưng cũng
không thể tránh khỏi những thiếu sót.Vì vậy rất mong sự đóng góp bổ sung của
bạn đọc để bài viết ngày càng hoàn thiện hơn. lOMoAR cPSD| 58707906
PHẦN 1: LÝ LUẬN CHUNG VỀ ĐẦU TƯ PHÁT TRIỂN VÀ
ĐẶC ĐIỂM CỦA ĐẦU TƯ PHÁT TRIỂN
1.1. Khái niệm, vị trí, vai trò của đầu tư phát triển
1.1.1. Khái niệm đầu tư phát triển:
Đầu tư phát triển là bộ phận cơ bản của đầu tư, là hoạt động sử dụng vốn
trong hiện tại, nhằm tạo ra những sản phẩm vật chất và trí tuệ mới, năng lực sản
xuất mới và duy trì những tài sản hiện có nhằm tạo thêm việc làm và vì mục tiêu phát triển.
Đầu tư phát triển là một phương thức đầu tư trực tiếp, trong đó, quá trình
đầu tư làm gia tăng thêm giá trị và năng lực sản xuất, năng lực phục vụ của tài sản.
Thông qua hành vi đầu tư này, năng lực sản xuất và năng lực phục vụ của nền kinh tế gia tăng.
Đối tượng của đầu tư phát triển là tập hợp các yếu tố được chủ đầu tư bỏ
vốn thực hiện nhằm đạt được những mục tiêu nhất định. -
Trên quan điểm phân công lao động xã hội, có hai nhóm đối tượng
đầu tưchính là đầu tư theo ngành và đầu tư theo lãnh thổ. -
Trên góc độ tính chất và mục đích đầu tư, đối tượng đầu tư chia thành
hainhóm chính: công trình vì mục tiêu lợi nhuận và công trình phi lợi nhuận. -
Trên góc độ xem xét mức độ quan trọng, đối tượng đầu tư chia thành:
loại được khuyến khích đầu tư, loại không được khuyến khích đầu tư và loại bị cấm đầu tư. -
Từ góc độ tài sản, đối tượng đầu tư chia thành: những tài sản vật chất
(tàisản thực) và tài sản vô hình. Tài sản vật chất, ở đây, là những tài sản cố định
được sử dụng cho sản xuất kinh doanh của doanh nghiệp và của nền kinh tế và tài
sản lưu động. Tài sản vô hình như phát minh, sáng chế, uy tín, thương hiệu… lOMoAR cPSD| 58707906
1.1.2. Vị trí của đầu tư phát triển trong hoạt động đầu tư của nền kinh tế
Đầu tư phát triển là một bộ phận cơ bản của đầu tư, và là điều kiện tiên quyết,
cơ bản làm gia tăng tiềm lực của nền kinh tế và có vị trí tất yếu trong việc đảm bảo
cho các mảng đầu tư khác.
1.1.3. Vai trò của đầu tư phát triển
* Trên góc độ vĩ mô:
Đầu tư là nhân tố quan trọng tác động đến tăng trưởng và phát triển kinh tế.
Về mặt lý luận,hầu hết các nhà kinh tế cổ điển cho tới hiện đại đều thừa nhận vai
trò của đầu tư với sự tăng trưởng kinh tế. Ta có thể thấy được điều này thông qua
rất nhiều lý thuyết, mô hình như mô hình tăng trưởng của Nurke, Arthur Lewis hay
Rosenstein-Rodan,…Trong các loại đầu tư thì đầu tư phát triển có vai trò quan
trọng nhất vì kết quả của đầu tư phát triển là những tài sản vật chất, những năng
lực sản xuất mới là cơ sở cho tăng trưởng và phát triển. Hơn nữa đầu tư phát triển
làm tăng nội lực của nền kinh tế thông qua năng lực sản xuất tăng thêm, giúp cho
nền kinh tế tăng trưởng một cách bền vững.
Đầu tư phát triển tác động đến chuyển dịch cơ cấu kinh tế: vì đầu tư phát
triển làm tăng năng lực sản xuất cho ngành được đầu tư nên cơ cấu phân bổ vốn
đầu tư sẽ tác động đến sự phân bổ năng lực sản xuất của các ngành và từ đó dẫn
tới thay đổi cơ cấu kinh tế. Thông qua công cụ trực tiếp như chính sách phân bổ
vốn, kế hoạch hóa hay các công cụ gián tiếp như thuế, tín dụng, lãi suất Nhà nước
có thể xác lập, định hướng một cơ cấu đầu tư từ đó dẫn dắt sự chuyển dịch cơ cấu kinh tế sao cho hợp lý.
Đầu tư phát triển tác động làm tăng năng lực khoa học công nghệ của đất
nước: Đầu tư phát triển trực tiếp tạo mới và cải tạo chất lượng năng lực sản xuất,
phục vụ nền kinh tế của các đơn vị cơ sở. Chính vì vậy, đầu tư cũng là điều kiện
tiên quyết cho quá trình đổi mới và nâng cao năng lực công nghệ quốc gia.
Đầu tư phát triển vừa tác động đến tổng cầu vừa tác động đến tổng cung của
nền kinh tế. Trong ngắn hạn, đầu tư tác động trực tiếp tới tổng cầu lOMoAR cPSD| 58707906
(AD=C+I+G+NX), khi đầu tư tăng nó kéo theo tổng cầu tăng lên làm nền kinh tế
tăng trưởng trong ngắn hạn. Tuy nhiên trong dài hạn, khi mà sự gia tăng của đầu
tư đã làm tăng năng lực sản xuất của nền kinh tế thì khả năng cung ứng cũng tăng
lên (tổng cung tăng) làm cho nền kinh tế tăng trưởng trong dài hạn.
* Trên góc độ vi mô:
Đầu tư phát triển là nhân tố quyết định cho sự tồn tại và phát triển của doanh
nghiệp vì doanh nghiệp muốn tồn tại và phát triển được thì phải có đầu tư để duy
trì và tăng cường năng lực sản xuất thông qua sửa chữa các hao mòn hư hỏng, bảo
trì bảo dưỡng máy móc hay mua thêm máy móc thiết bị mở rộng sản xuất kinh doanh.
1.2. Các đặc điểm cơ bản của đầu tư phát triển và sự quán triệt các đặc điểm
đầu tư phát triển trong công tác quản lý đầu tư
1.2.1. Quy mô tiền vốn, vật tư, lao động cần thiết cho hoạt động ĐTPT thường rất lớn.
Vốn đầu tư nằm khê đọng lâu trong suốt quá trình thực hiện đầu tư. Vốn đầu
tư lớn đòi hỏi phải có giải pháp tạo vốn và huy động vốn hợp lý, xây dựng các
chính sách quy hoạch. Kế hoạch đầu tư đúng đắn, quản lý chặt chẽ tổng vốn đầu
tư, bố trí vốn theo tiến bộ đầu tư trọng tâm trọng điểm.
Vốn lớn nên cần xem xét năng lực tài chính của chủ đầu tư từ đó có những
cách thức tạo vốn, huy động vốn cũng như quản lý, sử dụng một cách hiệu quả.
Vốn lớn ở đây được hiểu một cách linh hoạt, tùy từng lĩnh vực, ngành nghề trong
các dự án và yêu cầu cụ thể của hoạt động đầu tư mà quy định số vốn bao nhiêu
được gọi là vốn lớn. Trong đầu tư phát triển đòi hỏi quy mô tiền vốn thường lớn,
tuy nhiên không phải chủ đầu tư nào cũng có đủ năng lực tài chính đáp ứng đòi hỏi
đó, ngoài những nguồn vốn của bản thân, chủ đầu tư cần có những cách thức huy
động, tạo vốn qua các kênh khác nhau bằng các biện pháp phù hợp. Cần phải huy
động, thu hút tối đa mọi nguồn lực tài chính trong nước và nước ngoài với phương lOMoAR cPSD| 58707906
châm: "Nguồn vốn trong nước có tính quyết định, nguồn vốn nước ngoài có tính
quan trọng". Công tác huy động đó gắn liền với việc phát hành cổ phiếu, trái phiếu
của doanh nghiệp (huy động vốn thông qua thị trường chứng khoán), đồng thời chú
ý đến những tác động của nó đến nền kinh tế vĩ mô.
Lao động cần sử dụng cho các dự án rất lớn, đặc biệt đối với các dự án trọng
điểm quốc gia. Do đó, công tác tuyển dụng, đào tạo, sử dụng và đãi ngộ cần tuân
thủ một kế hoạch định trước, sao cho đáp ứng tốt nhất nhu cầu từng loại nhân lực
theo tiến độ đầu tư, đồng thời, hạn chế đến mức thấp nhất những ảnh hưởng tiêu
cực do vấn đề “hậu dự án” tạo ra như việc bố trí lao động, giải quyết lao động dôi dư,…
Do vậy cần quán triệt đặc điểm này thông qua những bài học sau:
Giải pháp tạo, huy động vốn hợp lý:
- Các nguồn vốn của đầu tư phát triển:
Nguồn vốn cho ĐTPT trên phương diện vĩ mô, bao gồm nguồn vốn trong
nước và nguồn vốn nước ngoài. Nguồn vốn trong nước gồm có: vốn nhà nước,
vốn dân cư. Nguồn vốn nước ngoài bao gồm vốn đầu tư trực tiếp nước ngoài
(FDI), vốn hỗ trợ phát triển chính thức ODA, vốn vay thương mại nước ngoài
và nguồn vốn trên thị trường quốc tế. Trong mỗi thời kỳ khác nhau quy mô và
tỷ trọng sử dụng vốn của từng nguồn vốn có thể thay đổi, nhưng để chủ động
phát triển kinh tế- xã hội của quốc gia theo hướng chiến lược đã đề ra cần thống
nhất quan điểm: vốn trong nước giữ vai trò quyết định, vốn nước ngoài là quan trọng.
Nguồn vốn cho ĐTPT trên phương diện các doanh nghiệp (vi mô) gồm 2
nguồn chính: nguồn vốn bên trong và nguồn vốn bên ngoài. Nguồn vốn bên
trong hình thành từ phần tích lũy từ nội bộ doanh nghiệp (vốn góp ban đầu, thu
nhập giữ lại) và phần khấu hao hàng năm. Nguồn vốn này có ưu điểm là đảm
bảo tính độc lập chủ động, không phụ thuộc vào chủ nợ, hạn chế rủi ro về tín
dụng. Dự án được tài trợ từ nguồn vốn này sẽ không làm suy giảm khả năng lOMoAR cPSD| 58707906
vay nợ của đơn vị. Theo lý thuyết quỹ đầu tư nội bộ, trong điều kiện bình thường
đây là nguồn tài trợ chủ yếu cho hoạt động đầu tư của doanh nghiệp. Tuy nhiên,
trong nhiều trường hợp nếu chỉ dựa vào nguồn vốn này sẽ bị hạn chế về quy mô
đầu tư. Nguồn vốn bên ngoài có thể hình thành từ việc vay nợ hoặc phát hành
chứng khoán ra công chúng thông qua hai hình thức tài trợ chủ yếu là tài trợ
gián tiếp qua các trung gian tài chính (ngân hàng thương mại hoặc các tổ chức
tín dụng…) hoặc tài trợ trực tiếp (qua thị trường vốn: thị trường chứng khoán,
hoạt động tín dụng thuê mua…).
- Giải pháp với mỗi nguồn cụ thể:
Đối với việc huy động vốn trong nước (chủ yếu là nguồn vốn từ ngân sách nhà
nước, một phần huy động từ dân cư):
Một là,cần nhanh chóng nghiên cứu để giảm bớt thủ tục phiền hà đối với khu vực
kinh tế quốc doanh như Nghị định 42/NĐ-CP và Nghị định 92/NĐ-CP quy định
về đầu tư, xây dựng theo xu hướng giảm bớt các yêu cầu phải có quyết định đầu
tư và giấy phép đầu tư đối với các nhà đầu tư không sử dụng tiền. Nhà nước bỏ
khâu phê duyệt dự án thay bằng giải trình các phương án kinh doanh, thực hiện
việc phân cấp đầu tư và xem xét ưu đãi đầu tư đến cấp quận huyện để các nhà
đầu tư sẵn sàng tiếp cận được các ưu đãi đầu tư đó.
Hai là, đối với nguồn vốn ngân sách nhà nước và tài sản công:
NSNN phải để dành 10-20% GDP để đầu tư cho cơ sở hạ tầng, y tế, giáo dục.
Phát hành trái phiếu chính phủ trung hạn và dài hạn.
Ba là, đối với các doanh nghiệp nhà nước:
Mở rộng quyền tự chủ kinh doanh của các doanh nghiệp theo hướng cơ cấu
lại cơ cấu vốn sản xuất và tài sản doanh nghiệp một cách hợp lý tính đủ giá
trị sử dụng đất vào vốn và tài sản của doanh nghiệp.
Cho phép khấu hao nhanh để tái đầu tư sản xuất. lOMoAR cPSD| 58707906
Tiến hành cổ phần hóa các doanh nghiệp nhà nước, để tăng thêm vốn đầu tư
cho doanh nghiệp, cũng là để nhà nước tăng thêm các khoản thu cho đầu tư phát triển kinh tế.
Hoàn thiện môi trường pháp lý tạo điều kiện phát triển cho các nhà đầu tư.
Bốn là, đối với khu vực dân cư:
Đa dạng hóa các hình thức và công cụ huy động vốn để cho mọi người dân
ở bất kỳ nơi đâu, thời điểm nào cũng có những cơ hội thuận tiện để đưa đồng
vốn vào phát triển kinh tế.
Tăng lãi suất tiết kiệm đảm bảo lãi suất dương.
Khuyến khích sử dụng tài khoản cá nhân, thực hiện chế độ thanh toán gửi
tiền ở mọi nơi và rút tiền ở bất kỳ nơi nào khi có nhu cầu, có vậy mới đưa
được nguồn vốn dưới dạng cất trữ vào lưu thông.
Tạo môi trường đầu tư thông thoáng và thực hiện theo luật pháp để người
dân dễ dàng bỏ vốn đầu tư.
Chính phủ ban hành các chính sách khuyến khích các hộ gia đình ở các vùng
nông thôn đưa vốn vào sản xuất kinh doanh trên cơ sở khai thác thế mạnh của từng vùng.
Chính phủ có những chính sách khuyến khích tư nhân trong nước tự đầu tư
hoặc góp với chính phủ xây dựng và kinh doanh các công trình kết cấu hạ tầng kinh tế- xã hội.
Thực hiện chính sách xã hội hóa đầu tư phát triển kinh tế, sự nghiệp giáo dục,
y tế nhằm huy động thêm nguồn lực của nhân dân.
Năm là với thị trường vốn: cần nâng cao chất lượng hoạt động của hệ thống ngân
hàng, thị trường chứng khoán và các quỹ tín dụng để phát huy hết vai trò của thị
trường vốn trong việc cung ứng vốn cho hoạt động đầu tư phát triển.
• Đối với những nguồn vốn nước ngoài:
Chính phủ cần thực hiện chủ trương mở cửa, giảm các thủ tục rườm rà, tạo
môi trường đầu tư hấp dẫn cho các nhà đầu tư; điều chỉnh quy hoạch ngành
nhằm dỡ bỏ các hạn chế đối với các nhà đầu tư nước ngoài, phù hợp với các cam lOMoAR cPSD| 58707906
kết quốc tế song phương và đa phương; ban hành các quy hoạch ngành còn thiếu
như quy hoạch mạng lưới các trường đại học, dạy nghề cùng các điều kiện, tiêu
chuẩn cấp phép cho các dự án thuộc lĩnh vực này, đồng thời tăng cường đầu tư
nâng cấp các công trình cơ sở hạ tầng, rà soát các dự án đã được cấp phép. Để
đảm bảo tiến độ thực hiện đầu tư của dự án, vừa để tránh ứ đọng vốn nên các
nguồn tài trợ không chỉ xem xét về mặt số lượng mà cả về thời điểm nhận được
tài trợ. Các nguồn vốn dự kiến này phải được đảm bảo chắc chắn. Sự bảo đảm
thể hiện ở tính pháp lý và cơ sở thực tế của các nguồn vốn huy động.
• Giải pháp tạo và huy động nguồn lao động cho hoạt động đầu tư phát triển.
- Đầu tư phát triển cần số lượng lớn về lao động, đặc biệt là công nhân kỹ thuật,
những lao động có kiến thức về kỹ năng quản lý, những sinh viên tốt nghiệp đại
học, cao đẳng. Hiện nay nhu cầu về những lao động này của tất cả các nước
trên thế giới nói chung và Việt Nam nói riêng là rất lớn nhưng thực tế cho thấy
khả năng đáp ứng chưa đủ, lượng lao động trong nước chủ yếu là nông dân và
lao động trình độ thấp.
Giải quyết tình trạng bất hợp lý trong cơ cấu đào tạo: giải quyết tình trạng
"thừa thầy thiếu thợ". Các trường cần gắn liền vấn đề đạo tạo theo nhu cầu
thực tế của thị trường lao động, gắn kết giữa nhu cầu tuyển dụng của doanh
nghiệp với nội dung đào tạo trong nhà trường. Nhà trường cần củng cố chất
lượng đào tạo, đồng thời doanh nghiệp cần có những biện pháp hỗ trợ. Các
cơ quan quản lý của nhà nước cần có vai trò định hướng và dự báo nhu cầu
lao động trong từng ngành nghề từ đó làm cơ sở cho kế hoạch tuyển sinh và
đào tạo cho các trường.
Tận dụng nguồn lao động hiện có, nếu chưa đáp ứng được nhu cầu công việc
của doanh nghiệp thì cần nhanh chóng đưa ra chương trình đào tạo bổ sung
để số lao động dôi dư có thể nhanh chóng đáp ứng được nhu cầu, tránh tình
trạng thất nghiệp và lãng phí nguồn lao động. lOMoAR cPSD| 58707906
- Vấn đề lao động hậu dự án cũng là vấn đề phức tạp. Với đặc điểm số lượng lao
động cho hoạt động đầu tư phát triển lớn, do đó sau các dự án số lượng lao động
còn lại khá nhiều. Vì vậy cần có những biện pháp giải quyết chế độ và công ăn
việc làm cho các lao động này.
1.2.2. Thời kì đầu tư kéo dài
Thời kỳ đầu tư được tính từ khi khởi công thực hiện dự án cho đến khi dự
án hoàn thành và đưa vào hoạt động. Do quy mô các dự án đầu tư thường rất lớn
nên để hoàn thành các dự án thường tốn rất nhiều thời gian, có khi tới hàng chục
năm như các công trình thuỷ điện, xây dựng cầu đường...
Thời gian thực hiện các dự án đầu tư dài kéo theo sự ảnh hưởng đến tiến độ
nghiệm thu công trình và đưa vào sử dụng, do đó có thể làm giảm hiệu quả đầu tư,
thời gian thu hồi vốn chậm. Thời gian đầu tư càng dài thì rủi ro cũng như chi phí
đầu tư lại càng lớn, hơn nữa, nó còn ảnh hưởng đến khả năng cạnh tranh của doanh nghiệp.
Vốn đầu tư lớn, thường nằm khê đọng trong suốt quá trình thực hiện đầu tư,
do đó, để nâng cao hiệu quả vốn đầu tư, cần tiến hành phân kỳ đầu tư, bố trí vốn
và các nguồn lực tập trung hoàn thành dứt điểm từng hạng mục công trình, quản lý
chặt chẽ tiến độ đầu tư, khắc phục tình trạng thiếu vốn, nợ đọng vốn đầu tư xây dựng cơ bản.
Tiến hành phân kỳ đầu tư: chia thành các giai đoạn ngắn hơn để đầu tư có
trọng tâm, trọng điểm. Trong giai đoạn thực hiện đầu tư vấn đề thời gian là hết sức
quan trọng, 90-98% tổng vốn đầu tư được chia ra và huy động trong suốt những
năm thực hiện đầu tư. Đây là những năm vốn không sinh lời, thời gian đầu tư kéo
dài, vốn khê đọng càng nhiều gây tổn thất càng lớn, hơn nữa nó còn ảnh hưởng đến
khả năng cạnh tranh của doanh nghiệp.Thời gian thực hiện đầu tư phụ thuộc nhiều
vào công tác chuẩn bị đầu tư và quản lý quá trình thực hiện những hoạt động khác
liên quan đến các kết quả của quá trình thực hiện đầu tư đã được xem xét trong dự lOMoAR cPSD| 58707906
án đầu tư. Quá trình thực hiện đầu tư gồm: hoàn tất thủ tục để triển khai thực hiện
đầu tư, thiết kế và lập dự toán thi công xây lắp công trình, thi công xây lắp công
trình chạy thử và nghiệm thu sử dụng.
Do vậy cần quán triệt các đặc điểm này qua những bài học:
- Cần quản lý sử dụng có hiệu quả vốn đầu tư do ở giai đoạn này vốn nằm khê
đọng trong thời gian dài nên để nâng cao hiệu quả vốn đầu tư cần tiến hành
phân kỳ đầu tư, bố trí vốn và các nguồn lực tập trung hoàn thành dứt điểm từng
hạng mục công trình, quản lý chặt chẽ tiến độ kế hoạch đầu tư, khắc phục tình
trạng thiếu vốn nhất là trong xây dựng cơ bản.
- Cần rút ngắn thi gian đầu tư, đảm bảo đúng tiến độ thi công công trình.Thời
gian hoàn thành dự án càng ngắn thì chi phi và rủi ro càng ít. Bên cạnh đó cần
quản lý chặt chẽ việc sử dụng nguyên vật liệu, tránh lãng phí, nâng cao hiệu suất sử dụng.
1.2.3. Thời gian vận hành các kết quả đầu tư kéo dài.
Thời gian vận hành các kết quả đầu tư được tính từ khi đưa vào hoạt động
cho đến khi hết hạn sử dụng và đào thải công trình. Các thành quả của hoạt động
đầu tư có thể kéo dài hàng chục năm hoặc lâu hơn thế như Vạn lý trường thành ở
Trung Quốc, nhà thờ và đấu trường La Mã ở Italia… Trong quá trình vận hành các
thành quả đầu tư phát triển chịu tác động cả hai mặt, tích cực và tiêu cực của nhiều
yếu tố tự nhiên, chính trị, kinh tế, xã hội…Do đó, yêu cầu đặt ra đối với công tác
đầu tư là rất lớn, nhất là về công tác dự báo về cung cầu thị trường sản phẩm đầu
tư trong tương lai vào sử dụng, quản lý tốt quá trình vận hành hoạt động tối đa công
suất để nhanh chóng thu hồi vốn, tránh hao mòn vô hình, chú ý đến cả độ trễ thời
gian trong đầu tư. Đây là đặc điểm có ảnh hưởng lớn đến công tác quản lý hoạt động đầu tư. lOMoAR cPSD| 58707906
Đây là giai đoạn quyết định tới việc dự án có thực hiện được các mục tiêu
đã đề ra hay không, đồng thời đây là quá trình thu hồi vốn, hiệu quả của việc khai
thác nguồn lực được biểu hiện rõ ràng nhất. Giai đoạn này kéo dài thường là vài
năm, thậm chí là vài chục năm hoặc lâu hơn do chịu nhiều yếu tố chủ quan và khách quan.
Do vậy cần quán triệt các đặc điểm này qua những bài học:
- Thứ nhất, xác định cơ chế và phương pháp dự báo khoa học ở cấp độ vĩ mô và
vi mô về nhu cầu của thị trường về sản phẩm của dự án trong tương lai,khả năng
cung ứng sản phẩm của dự án trong từng năm và cả đời dự án. Đối với mọi dự
án thì mấu chốt của vấn đề là sản phẩm của dự án phải được chấp nhận trên thị
trường, như vậy sản phẩm mới tiêu thụ được để từ đó dự án có thể thu hồi vốn
và sinh lời, vì vậy công tác dự báo là vô cùng quan trọng, việc này phải được
thực hiện một cách nghiêm túc, tỉ mỉ ngay từ khi lập báo cáo nghiên cứu khả
thi, đồng thời cũng phải được thực hiện thường xuyên trong quá trình vận hành
dự án vì nhu cầu của thị trường về sản phẩm luôn thay đổi.
- Thứ hai, phải quản lý tốt quá trình vận hành, nhanh chóng đưa thành quả đầu
tư vào sử dụng hoạt động sao cho đạt mức tối đa công suất của dự án. Quá trình
vận hành thực chất là quá trình sản xuất kinh doanh nên vai trò của quản lý là
hết sức quan trọng. Có một cơ chế quản lý tốt tức là có một cách thức huy động
và sử dụng các nguồn lực (vốn, nguồn nhân lực, tài nguyên thiên nhiên,..) một cách hiệu quả.
- Thứ ba, cần chú ý tới độ trễ thời gian trong đầu tư. Đầu tư năm nay nhưng thành
quả thu được chưa chắc đã phát huy tác dụng ngay trong năm. Đây là đặc điểm
rất riêng của lĩnh vực đầu tư, ảnh hưởng lớn tới công tác quản lý hoạt động đầu tư. lOMoAR cPSD| 58707906
1.2.4. Các thành quả của hoạt động đầu tư phát triển là các công trình xây dựng
thường phát huy tác dụng ở ngay tại nơi nó được tạo dựng nên, do đó, quá trình
thực hiện đầu tư cũng như thời kỳ vận hành các kết quả đầu tư chịu ảnh hưởng lớn
của các nhân tố về tự nhiên, kinh tế, xã hội vùng.
Các điều kiện tự nhiên của vùng như khí hậu, đấtđai có tác động rất lớn trong
việc thi công, khai thác và vận hành các kết quả đầu tư. Đối với các công trình xây
dựng, điều kiện về địa chất ảnh hưởng rất lớn không chỉ trong thi công mà cả trong
giai đoạn đưa công trình vào sử dụng, nếu nó không ổn định dễ dẫn đến giảm tuổi
thọ cũng như chất lượng công trình. Tình hình phát triển kinh tế của vùng ảnh
hưởng trực tiếp tới việc ra quyết định và quy mô vốn đầu tư. Ngoài ra môi trường
xã hội cũng ảnh hưởng rất lớn đến việc thực hiện các dự án đầu tư như phong tục
tập quán, trình độ văn hóa…không thể dễ dàng di chuyển các công trình đã đầu tư
từ nơi này đến nơi khác.
Do vậy cần quán triệt các đặc điểm này qua những bài học:
- Cần có những chủ trương đầu tư phù hợp với tình hình thực tế.
Để đưa ra được chủ trương, quyết định đầu tư thì cần phải xác định rõ ràng
quy mô, tính chất, đặc điểm của dự án khi chuẩn bị đầu tư.
Cần trả lời các câu hỏi: Đầu tư cái gì?(xác định sản phẩm,lĩnh vực đầu tư);
công suất dự kiến là bao nhiêu?(xác định quy mô nhà xưởng,lượng máy
móc,thiết bị sử dụng),... Như vậy công tác nghiên cứu cơ hội đầu tư (lập dự
án) có ý nghĩa quyết định đến thành công của dự án. Đối với cấp quản lý vĩ
mô thì công tác quan trọng đó là quy hoạch hợp lý.
- Có những nghiên cứu địa điểm đầu tư trên tất cả các góc độ kinh tế, chính trị,
xã hội để đưa ra quyết định đúng đắn trong đầu tư. Từ việc xác định rõ được
các yêu cầu trên sẽ đưa ra được sự lựa chọn một địa điểm đầu tư cho phù hợp.
Việc lựa chọn địa điểm đầu tư phụ thuộc rất nhiều yếu tố, có ảnh hưởng đến
quá trình sản xuất sau này, khi mà dự án đi vào hoạt động. Để lựa chọn địa điểm
đầu tư hợp lý cần chú ý: lOMoAR cPSD| 58707906
Các công trình được xây dựng lên không thể dễ dàng di chuyển từ nơi này
sang nơi khác nên cần phải có hướng tiếp cận lâu dài, không phải chỉ tính
cho việc hoạt động trong năm, mười năm mà phải tính đến phương án mở
rộng hay thu hẹp trong tương lai, trong sự quy hoạch chung của vùng miền và của đất nước.
Địa điểm nên có điều kiện thuận lợi trong hợp tác với các cơ sở sản xuất trong
vùng, đồng thời đảm bảo ưu thế cạnh tranh.
Ngoài ra, địa điểm đầu tư phải gần nguồn cung cấp nguyên liệu hay thị trường
tiêu thụ của dự án hoặc gần nguồn cung cấp lao động để giải quyết được vấn
đề chi phí nguyên, nhiên, vật liệu bên cạnh việc thuận lợi về điện, nước, giao
thông, thông tin liên lạc,...
1.2.5. Đầu tư phát triển có độ rủi ro cao.
Mọi kết quả và hiệu quả của quá trình thực hiện đầu tư chịu nhiều ảnh hưởng
của các yếu tố không ổn định theo thời gian và điều kiện địa lý của không gian. Do
quy mô vốn đầu tư lớn, thời kỳ đầu tư kéo dài và thời gian vận hành các kết quả
đầu tư cũng kéo dài nên mức độ rủi ro hoạt động đầu tư phát triển thường rất cao.
Xem xét trên góc độ nghiên cứu chung, có nhiều nguyên nhân gây ra rủi ro
cho dự án. Nguyên nhân chủ quan từ phía các nhà đầu tư quản lý kém hiệu quả,
chất lượng sản phẩm không đạt yêu cầu,… Nguyên nhân khách quan như: thời tiết,
giá nguyên liệu tăng, giá bán các sản phẩm đầu vào biến động, công xuất sản xuất
không đạt công suất thiết kế, cung cầu thị trường thay đổi do thị hiếu tiêu dùng
thay đổi, bất ổn chính trị. Ví dụ các rủi ro về thời tiết như quá trình đầu tư gặp phải
bão, lũ lụt…làm cho các hoạt động thi công công trình đều phải dừng lại ảnh hưởng
rất lớn đến tiến độ và hiệu quả đầu tư. Các rủi ro về thị trường giá cả, cung cầu các
yếu tố đầu vào và sản phẩm đầu ra thay đổi. lOMoAR cPSD| 58707906
Mục tiêu quan trọng hàng đầu của bất kỳ hoạt động sản xuất kinh doanh nào
đều là lợi nhuận. Tuy nhiên, bên cạnh lợi nhuận luôn là nguy cơ rủi ro, lợi nhuận
càng lớn thì rủi ro càng cao.
Do vậy cần quán triệt các đặc điểm này qua những bài học:
- Nhận diện các nhân tố rủi ro: phải chú trọng đến công tác dự báo, phân tích tình
hình kinh tế xã hội để đưa ra nhận định chuẩn xác về rủi ro. Nếu không lường
trước được rủi ro, khi xảy ra sẽ làm thay đổi hướng đi tiếp theo của dự án, tạo
hiệu ứng dây chuyền kéo theo nhiều rủi ro khác xảy ra theo. Việc nhận diện rủi
ro không hề đơn giản, không phải một người hay một nhóm ba, bốn người có
thể làm được mà phải cần có một tập thể người có sự phối hợp với các chuyên
gia nhiều lĩnh vực, cần xem xét trên nhiều phương diện, nhiều khía cạnh khác
nhau. Có như vậy thì việc nhận định mới có thể lường hết được các khả năng rủi ro có thế xảy ra.
- Đánh giá mức độ rủi ro của từng nhân tố: Khi nhận định được rủi ro có thể xảy
ra thì việc đánh giá rủi ro cũng vô cùng quan trọng, ảnh hưởng trực tiếp đến chi
phí kinh tế của dự án. Khi đánh giá đúng mức độ rủi ro dẫn đến hành động hợp
lý, đưa ra giải pháp sát thực tế sẽ giảm thiểu được chi phí phát sinh. Có thế một
dự án sẽ có nhiều rủi ro xảy ra, tuy nhiên cần xác định được mức độ của các
loại rủi ro đó ra sao, rủi ro nào là nghiêm trọng nhất, gây tổn thất nặng nhất.
Hơn nữa, xác suất xảy ra rủi ro đó cao hay thấp.
- Lựa chọn những giải pháp để hạn chế rủi ro ở mức thấp nhất có thể có do rủi ro
này gây ra: Việc xử lý rủi ro phải được xem như là một yếu tố cơ bản trong
hướng quản lý dự án. Việc đối phó, xử lý rủi ro phải có hướng chủ động. Hướng
chủ động này tạo ra thời gian cho các nhà quản lý tìm ra được các hướng khác
nhau và các kế hoạch hành động rồi từ đó lựa chọn cách giải quyết thích hợp
mà nó đúng với mục tiêu của dự án nhất. lOMoAR cPSD| 58707906
1.3. Sự tác động của đặc điểm đầu tư phát triển tới công tác quản lý hoạt động đầu tư.
1.3.1. Góc độ vĩ mô:
- Nhà nước cần ban hành các văn bản pháp luật một cách hệ thống và chặt chẽ
nhằm khuyến khích các nhà đầu tư tham gia hoạt động đầu tư phát triển.
- Nhà nước cần có chính sách huy động mọi nguồn vốn cho đầu tư phát triển và
có kế hoạch phân bố hợp lý: xuất phát từ vai trò của đầu tư phát triển đến nền
kinh tế và đặc điểm quy mô lớn của đầu tư phát triển, Nhà nước cần có những
chính sách hợp lý để huy động tối đa nguồn vốn cho đầu tư phát triển. Bên cạnh
đó cũng cần có những kế hoạch phân bổ hợp lý sao cho phù hợp với tình hình
kinh tế đất nước và tạo được sự chuyển dịch hợp lý trong cơ cấu kinh tế.
- Nhà nước cần có những quy định về quy hoạch hợp lý, đồng thời đào tạo nguồn
nhân lực và thành lập các cơ quan chuyên trách về quản lý hoạt động đầu tư:
Đầu tư phát triển là một hoạt động trong quá trình phát triển nhưng lại đòi hỏi
quy mô vốn lớn cũng như tồn tại nhiều rủi ro vì thế cần phải có những biện
pháp quản lý để hoạt động đầu tư phát triển có hiệu quả kích thích tăng trưởng
kinh tế, tránh lãng phí nguồn lực xã hội.
1.3.2. Góc độ vi mô: trên cơ sở của các nhà đầu tư và doanh nghiệp.
- Nhà đầu tư cần có những biện pháp để quản lý hoạt động đầu tư có hiệu quả:
do thời gian thực hiện đầu tư cũng như vận hành kết quả đầu tư dài nên dự án
đầu tư chịu ảnh hưởng rất nhiều từ các yếu tố ngẫu nhiên trong suốt đời dự án.
Nghiên cứu các yếu tố ảnh hưởng đến dự án sẽ giúp nhà đầu tư khai thác tối đa
lợi thế và hiệu quả đầu tư.
- Các DN cần xây dựng các chiến lược đầu tư rõ ràng, khoa học để hạn chế đến
mức thấp nhất các rủi ro gặp phải: đầu tư phát triển có vai trò quyết định đến
sự sống còn của doanh nghiệp nhưng lại tiềm ẩn rất nhiều rủi ro, vì thế một
chiến lược đầu tư rõ ràng khoa học sẽ giúp doanh nghiệp hạn chế rủi ro tối đa hóa lợi ích của mình. lOMoAR cPSD| 58707906
PHẦN 2: SỰ QUÁN TRIỆT CÁC ĐẶC ĐIỂM CỦA ĐẦU TƯ PHÁT
TRIỂN VÀO QUẢN LÝ HOẠT ĐỘNG ĐẦU TƯ Ở VIỆT NAM
2.1. Hoạt động đầu tư phát triển giai đoạn giai đoạn 2000 đến nay
Trong khoảng 20 năm gần đây, Việt Nam luôn giữ được tốc độ tăng trưởng
GDP ở mức khá cao, trong đó hoạt động đầu tư phát triển đóng một vai trò vô cùng
quan trọng, đặc biệt là yếu tố vốn đầu tư. Đầu tư phát triển trong thời gian qua tăng
cả về quy mô và tốc độ, tạo điều kiện thuận lợi cho sự phát triển sản xuất, tăng
trưởng và phát triển của nền kinh tế. Nền kinh tế nước ta vận hành theo mô hình
tăng trưởng chủ yếu dựa vào vốn đầu tư. Vốn đầu tư trở thành một trong những
yếu tố đầu vào có vai trò quyết định đối với sự phát triển kinh tế và giải quyết các vấn đề xã hội.
Tốc độ gia tăng quy mô đầu tư gia tăng đáng kể (trung bình tăng hơn
20%/năm), vốn đầu tư toàn xã hội giai đoạn 1995 – 2010 liên tục tăng. Khả năng
huy động vốn đầu tư phát triển năm 2010 vào khoảng trên 800 nghìn tỷ đồng, bằng
41,5% GDP và cao hơn 12% so với dự báo trước đó.
Biểu đồ: Tổng nguồn vốn đầu tư theo giá thực tế giai đoạn 1995 – 2011
Nguồn: Niên giám thống kê 2011
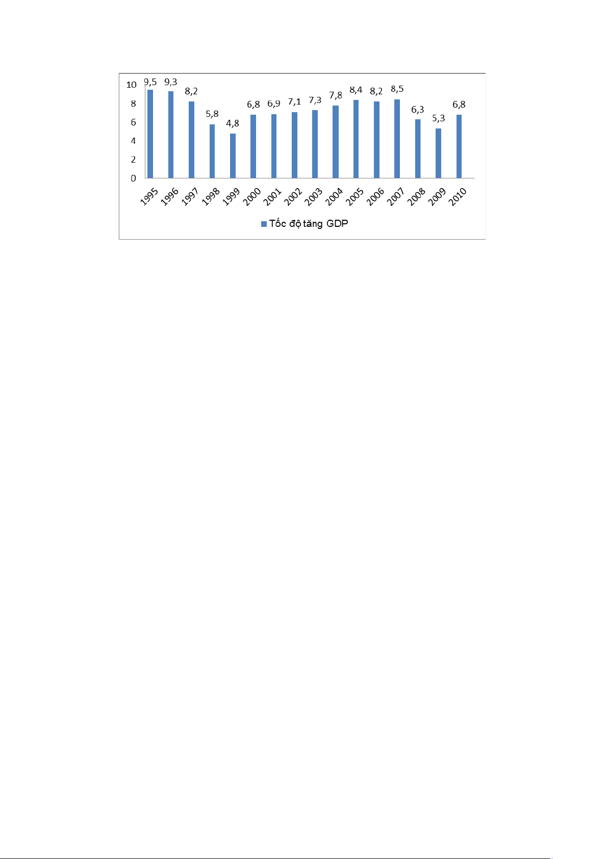
Việc tăng trưởng vốn đầu tư phát triển như một cú hích, kéo theo sự tăng
trưởng của nền kinh tế Việt Nam, thể hiện qua việc tốc độ tăng trưởng kinh tế nước
ta luôn nằm trong top cao của thế giới. lOMoAR cPSD| 58707906
Biểu đồ: tốc độ tăng trưởng GDP của Việt Nam giai đoạn 1995 – 2010
Nguồn: Niêm giám thống kê 2011
Bên cạnh đó, môi trường đầu tư ở nước ta đang ngày càng được hoàn thiện,
tạo thuận lợi và hấp dẫn được các nhà đầu tư, nhất là sau khi VN trở thành thành
viên của WTO. Số lượng các nhà đầu tư nước ngoài cũng như số vốn đầu tư nước
ngoài tăng nhanh chóng, thu hút đầu tư nước ngoài liên tục đạt kết quả tốt, số vốn
đăng ký trung bình cho một dự án tăng hàng năm.
Tính đến tháng 8 năm 2012, cả nước có 14.095 dự án FDI còn hiệu lực, với
tổng vốn đăng ký đạt 206,8 tỷ USD, trong đó vốn thực hiện đã giải ngân được 97,4
tỷ USD, chiếm 47% vốn đăng ký. ĐTNN là khu vực phát triển năng động nhất với
tốc độ tăng GDP cao hơn tốc độ tăng trưởng cả nước: năm 2000 GDP của khu vực
ĐTNN tăng 11,44% trong khi GDP cả nước tăng 6,79% (2011). Vốn ĐTNN thực
hiện tăng nhanh qua các thời kỳ, từ khoảng 20,67 tỷ USD, chiếm 24,32% tổng vốn
đầu tư xã hội giai đoạn 1991 – 2000 lên 69,47 tỷ USD, chiếm 22,75% tổng vốn
đầu tư xã hội giai đoạn 2001 – 2010. Tỷ trọng khu vực ĐTNN trong cơ cấu kinh tế
giai đoạn 2000 – 2011 tăng 5,4%.
Trong 20 năm qua, cộng đồng các nhà tài trợ quốc tế đã dành cho Việt Nam
gần 80 tỷ USD vốn ODA cam kết.Đồng vốn này đã góp phần rất lớn để Việt Nam
phát triển kinh tế - xã hội, xóa đói giảm nghèo.Theo báo cáo của Bộ Kế hoạch &
Đầu tư, kết thúc 6 tháng đầu năm 2013, tổng vốn ODA và vốn vay ưu đãi Việt Nam
ký kết đạt trên 3,8 tỷ USD (trong đó gần 3,77 tỷ USD là vốn vay), tăng 20 % với
cùng kỳ năm ngoái. Các dự án sử dụng vốn chủ yếu tập trung vào lĩnh vực giao lOMoAR cPSD| 58707906
thông vận tải, cấp nước- môi trường, y tế- giáo dục... Tổng lượng giải ngân đạt gần
2,3 tỷ USD, tăng gần 14% so với cùng kỳ.Nhật Bản hiện là nhà tài trợ vốn ODA
lớn nhất tại Việt Nam với số vốn lên tới 32 tỷ USD.
2.2. Đánh giá chung về quản lý hoạt động đầu tư ở Việt Nam giai đoạn 2000- nay.
2.2.1. Những tiến bộ đã đạt được.
Trong giai đoạn này, cùng với sự kế thừa những kinh nghiệm thực tiễn rút ra
từ hoạt động đầu tư phát triển giai đoạn đầu đổi mới kinh tế và nghiên cứu định
hướng phát triển kinh tế xã hội trong thời kỳ mới, Việt Nam đã đạt được những
tiến bộ nhất định trong lĩnh vực quản lý hoạt động đầu tư.
Về định hướng hoạt động đầu tư: đã gắn liền chiến lược đầu tư với chiến
lược phát triển kinh tế, đưa hoạt động đầu tư vào khuôn khổ quản lý. Trong chiến
lược phát triển kinh tế, chiến lược đầu tư đóng vai trò quan trọng trong việc tạo
động lực phát triển cho nền kinh tế.Với nội dung xuyên suốt trong giai đoạn 2000-
2010 là đẩy nhanh công nghiệp hóa, hiện đại hóa, các mũi nhọn đầu tư cũng được
hình thành và có định hướng đầu tư cho các mục tiêu phát triển. Việc khuyến khích
các thành phần kinh tế tham gia đầu tư, huy động các nguồn lực có thể vào quá
trình phát triển, Việt Nam đã đạt được những thành tựu nhất định trong mục tiêu
phát triển của mình như duy trì tốc độ tăng trưởng khá, nâng cao đời sống vật chất
tinh thần của người dân.
Về nâng cao chất lượng công tác quy hoạch ngành và vùng lãnh thổ: đã có
những đồ ánquy hoạch xây dựng vùng ở các vùng kinh tế trọng điểm trong cả nước
lần lượt đã được phê duyệt.Ví như năm 2009 có tới 4 đồ án quy hoạch xây dựng
vùng quan trọng được Thủ tướng chính phủ phê duyệt gồm: Đồ án quy hoạch xây
dựng vùng thành phố Hồ chí Minh đến năm 2020 và tầm nhìn đến năm 2050; Quy
hoạch xây dựng vùng biên giới Việt Nam - Campuchia; Quy hoạch xây dựng vùng
Nam Thanh - Bắc Nghệ; Quy hoạch xây dựng vùng Đồng bằng sông Cửu