



















Preview text:
HỌC VIỆN NGÂN HÀNG
KHOA LÝ LUẬN CHÍNH TRỊ
Học phần: Kinh tế chính trị Mác – Lênin Đ Ề TÀI :
VAI TRÒ CỦA CÁC CHỦ THỂ CHÍNH THAM GIA THỊ
TRƯỜNG VÀ GIẢI PHÁP ĐỂ PHÁT HUY VAI TRÒ CỦA CÁC
CHỦ THỂ NÀY NHẰM KHÔI PHỤC VÀ PHÁT TRIỂN
NGÀNH DU LỊCH VIỆT NAM SAU KHỦNG HOẢNG CỦA
ĐẠI DỊCH COVID – 19
Giảng viên hướng dẫn : TS. Nguyễn Thị Giang
Sinh viên thực hiện : Đoàn Thị Khuyên Lớp : K23TCE
Mã sinh viên : 23A4010311
Hà Nội, ngày 10 tháng 06 năm 2021 MỤC LỤC
MỞ ĐẦU..............................................................................................................1
CHƯƠNG 1: CƠ SỞ LÝ LUẬN VỀ THỊ TRƯỜNG VÀ VAI TRÒ CỦA
CÁC CHỦ THỂ THAM GIA THỊ TRƯỜNG.................................................4
1.1. Thị trường..................................................................................................4
1.1.1. Khái niệm và vai trò của thị trường.....................................................4
1.1.2. Cơ chế thị trường và nền kinh tế thị trườngg......................................4
1.1.3. Một số quy luật chủ yếu của thị trường...............................................5
1.2. Vai trò của các chủ thể chính tham gia thị trường.....................................6
CHƯƠNG 2: THỰC TRẠNG CỦA NGÀNH DU LỊCH VIỆT NAM
DƯỚI DỰ TÁC ĐỘNG CỦA ĐẠI DỊCH COVID 19.....................................9
2.1. Khái quát ngành du lịch Việt Nam trước khi bùng nổ đại dịch
Covid - 19.........................................................................................................9
2.2 Thực trạng Ngành du lịch trong bối cảnh của đại dich Covid-19.............11
2.3. Vấn đề đặt ra đối với ngành du lịch Việt Nam........................................14
CHƯƠNG 3: GIẢI PHÁP ĐỂ PHÁT HUY VAI TRÒ CỦA CÁC CHỦ
THỂ CHÍNH THAM GIA THỊ TRƯỜNG NHẰM KHÔI PHỤC VÀ
PHÁT TRIỂN NGÀNH DU LỊCH VIỆT NAM SAU KHỦNG HOẢNG
CỦA ĐẠI DỊCH COVID- 19...........................................................................15
3.1. Giải pháp để phát huy vai trò của các chủ thể chính tham gia thị trường
nhằm khôi phục và phát triển ngành du lịch việt nam sau khủng hoảng của
đại dịch Covid- 19...........................................................................................15
3.3. Nhận thức và trách nhiệm của bản thân trong việc phòng chống dịch
bệnh Covid- 19 góp phần phục hồi và phát triển ngành du lịch Việt Nam.....18
KẾT LUẬN........................................................................................................19
TÀI LIỆU THAM KHẢO................................................................................20 1 MỞ ĐẦU
1. Tính cấp thiết của đề tài
Hiện nay, cả thế giới đang phải chống chọi mạnh mẽ với đại dịch viêm
đường hô hấp cấp lớn nhất từ trước đến nay trong lịch sử mang tên gọi Covid-
19. Đây là vấn đề cần được quan tâm giải quyết hàng đầu ở tất cả các quốc gia
trên thế giới do những nguy hại mà chúng mang lại. Dịch viêm đường hô hấp
cấp do chủng mới của virut SARS-CoV-2 bùng phát và lan rộng trên phạm vi
toàn thế giới với tốc độ chóng mặt. Theo thống kê tính đến 06:00 ngày
17/6/2021 thế giới đã có 177.738.957 ca nhiễm và 3.847.013 trường hợp tử
vong (nguồn: Bộ Y tế). Đây là một con số đáng kinh ngạc. Những ảnh hưởng
nặng nề mà Covid- 19 đem lại đã giáng một đòn “chí mạng” vào nền kinh tế thế
giới. Trong đó có Việt Nam và một trong những ngành chịu ảnh hưởng nặng nề
nhất đó chính là ngành Du lịch. Đại dịch lướt qua như một làn sóng làm “đóng
băng” ngành du lịch Việt Nam. Năm 2020, ngành du lịch đã phải gánh chịu
những tổn thất chưa tùng có, các doanh nghiệp lữ hành, kinh doanh trong ngành
du lịch rơi vào tình cảnh lao đao, thậm chí nhiều doanh nghiệp chỉ còn bộ khung
vì Covid – 19. Đã đặt ra vấn đề cấp thiết cho Đảng, Nhà nước ta cũng như các
chủ thể kinh tế tham gia vào thị trường phải tìm ra các giải pháp và chính sách
để khôi phục và phát triển ngành du lịch Việt Nam sau khủng hoảng của đại
dịch và trong bối cảnh đại dich vẫn hoành hành như hiện nay. Đưa ngành Du
lịch vượt qua thách thức cũng như phục hồi và phát triển ngành kinh tế Việt
Nam, đẩy lùi đại dịch Covid- 19.
Chính vì tính cấp thiết của tình hình trên mà em đã chọn đề tài nghiên cứu:
“Vai trò của các chủ thể chính tham gia thị trường và giải pháp để phát huy vai
trò của các chủ thể này nhằm khôi phục và phát triển ngành du lịch Việt Nam
sau khủng hoảng của đại dịch Covid- 19” làm đề tài nghiên cứu của mình. 2
2. Mục đích và nhiệm vụ nghiên cứu
2.1. Mục đích nghiên cứu
Mục đích của đề tài: Về kiến thức: làm rõ vai trò của các chủ thể chính tham
gia vào thị trường cũng như một số thuật ngữ liên quan và nắm bắt được thực
trạng của ngành du lịch Việt Nam sau những khủng hoảng của đại dịch Covid-
19. Về kĩ năng: biết vận dụng kiến thức về vai trò của các chủ thể chính tham
gia thị trường đề xuất những giải pháp để phát huy vai trò của các chủ thể này
nhằm khôi phục và phát triển ngành du lịch Việt Nam sau khủng hoảng của đại dịch Covid- 19.
2.1. Nhiệm vụ nghiên cứu
Để thực hiện được mục đích trên thì tiểu luận phải thực hiện được ba nhiệm vụ sau:
Thứ nhất, làm rõ cơ sở lí luận về thị trường và vai trò của các chủ thể tham gia thị trường
Thứ hai, làm rõ thực trạng ảnh hưởng của đại dịch Covid 19 đến ngành du lịch Việt Nam hiện
Thứ ba, đưa ra một số giải pháp để phát huy vai trò của các chủ thể chính
tham gia thị trường nhằm khôi phục và phát triển ngành du lịch Việt Nam sau
khủng hoảng của đại dịch Covid- 19.
3. Đối tượng và phạm vi nghiên cứu
3.1. Đối tượng nghiên cứu
Đề tài nghiên cứu về vai trò của các chủ thể chính tham gia thị trường và
ngành du lịch Việt Nam sau đại dịch Covid- 19
3.2. Phạm vi nghiên cứu
Phạm vi nghiên cứu của đề tài là vai trò của các chủ thể tham gia vào thị
trường của các nước trên thế giới nói chung và Việt nam nói riêng cùng với 3
ngành du lịch Việt Nam trong giai đoạn hiện nay chịu ảnh hưởng của đại dịch Covid- 19.
4. Phương pháp nghiên cứu
Tiểu luận sử dụng các phương pháp nghiên cứu của kinh tế học như:
phương pháp luận duy vật biện chứng, phương pháp logic kết hợp với lịch sử,
phương pháp trừu tượng hóa khoa học. Cùng cới sự kết hợp với các phương
pháp như : phân tích, tổng hợp các số liệu dựa trên các số liệu có sẵn, so sánh,
thống kê... Từ đó đề xuất các giải pháp phù hợp để giải quyết vấn đề.
5. Ý nghĩa lý luận và thực tiễn của đề tài
5.1. Ý nghĩa lý luận
Cung cấp, trang bị cho sinh viên lý luận về thị trường và vai trò của các chủ
thể chính tham gia thị trường.
5.2. Ý nghĩa thực tiễn
Bài tiểu luận hóp phần cung cấp những luận cứ khoa học về ngành du lịch
Việt Nam dưới tác động của đại dịch Covid- 19 từ đó đề xuất những giải pháp
để phát huy vai trò của các chủ thể tham gia thị trường hay chính bản thân cá
nhân để khôi phục và phát triển ngành du lịch Việt Nam cũng như đẩy lùi đại dịch Covid- 19.
6. Kết cấu của tiểu luận
Nội dung tiểu luận gồm ba chương:
Chương 1: Cơ sở lý luận về thị trường và vai trò của các chủ thể tham gia thị trường
Chương 2: Thực trạng của ngành du lịch Việt Nam dưới dự tác động của đại dịch Covid- 19
Chương 3: Giải pháp để phát huy vai trò của các chủ thể chính tham gia thị
trường nhằm khôi phục và phát triển ngành du lịch Việt Nam sau khủng hoảng của đại dịch Covid- 19 4 CHƯƠNG 1
CƠ SỞ LÝ LUẬN VỀ THỊ TRƯỜNG VÀ VAI TRÒ CỦA CÁC CHỦ
THỂ THAM GIA THỊ TRƯỜNG 1.1. Thị trường
1.1.1. Khái niệm và vai trò của thị trường
Khái niệm thị trường
Thị trường ra đời phát triển gắn liền với sự phát triển của sản xuất hàng hóa.
Theo nghĩa hẹp, thị trường là nơi diễn ra hành vi trao đổi, mua bán hàng hóa
giữa các chủ thể kinh tế với nhau. Tại đó, người có nhu cầu về hàng hóa, dịch
vụ sẽ nhận được thứ mà mình cần và ngược lại, người có hàng hóa dịch vụ sẽ
nhận được một số tiền tương ứng. Thị trường có biểu hện dưới hình thái cụ thể
là chợ, cửa hàng, quầy bán hàng lưu động, văn phòng dao dịch hay siêu thị,...
Theo nghĩa rộng, thị trường là tổng hòa các mối quan hệ đến trao đổi, mua
bán hàng hóa trong xã hội được hình thành do những điều kiện lịch sử, kinh tế,
xã hội nhất định. Theo nghĩa này thị trường là tổng thể các mối quan hệ kinh tế
gồm cung, cầu, giá cả; quan hệ hàng-tiền; quan hệ giá trị, giá trị sử dụng; quan
hệ hợp tác, cạnh tranh; trong nước, ngoài nước... Cùng với đó là các yếu tố kinh
tế như nhu cầu; người bán; tiền-hàng; dịch vụ mua bán... tất cả các quan hệ và
yếu tố này được vận động theo quy luật của thị trường.
Vai trò của thị trường: vai trò của thị trường được khái quát như sau:
Một là, thị trường là điều kiện, môi trường cho sản xuất phát triển
Hai là, thị trường kích thích sự sáng tạo của mọi thành viên trong xã hội, tạo
ra cách thức phân bố nguồn lực hiệu quả trong nền kinh tế.
Ba là, thị trường gắn kết nền kinh tế thành một chỉnh thể, gắn kết nền kinh
tế quốc gia với nề kinh tế thế giới.
1.1.2. Cơ chế thị trường và nền kinh tế thị trườngg 5
Cơ chế thị trường
Khái niệm: Cơ chế thị trường là hệ thống các quan hệ kinh tế mang đặc tính
tự điều chỉnh các cân đối của nền kinh tế theo yêu cầu của các quy luật kinh tế.
Nền kinh tế thị trường
Khái niệm: Nền kinh tế thị trường là
nền kinh tế được vận hành theo cơ chế
thị trường. Đó là nền kinh tế hàng hóa phát triển cao, ở đó mọi quan hệ sản xuất
và trao đổi đều được thông qua thị trường, chịu sự tác động điều tiết của các quy luật thị trường
Đặc trưng của nền kinh tế thị trường:
Thứ nhất, kinh tế thị trường đòi hỏi sự đa dạng của các chủ thể kinh tế,
nhiều hình thức sở hữu. Các chủ thể kinh tế bình đẳng trước pháp luật.
Thứ hai, thị trường đóng vai trò quyết định trong việc phân bổ các nguồn
lực xã hội thông qua hoạt động củ các thị trường bộ phận như thị trường hàng
hóa, thị trường dịch vụ, thị trường sức lao động, thị trường tài chính, thị trường
bất động sản, thị trường khoa học công nghệ,...
Thứ ba, giá cả được hình thành theo nguyên tắc thị trường, cạnh tranh vừa
là môi trường, vừa là động lực thúc đẩy kinh tế thị trường phát triển.
Thứ tư, động lực trực tiếp của các chủ thể sản xuất kinh doanh là lợi ích kinh tế - xã hội.
Thứ năm, Nhà nước là chủ thể thực hiện chức năng quản lí nhà nước đối với
các quan hệ kinh tế, đồng thời nhà nước thực hiện khắc phục những khuyết tật
của thị trường, thúc đẩy các yếu tố tích cực, đảm bảo sự bình đẳng xã hội và sự
ổn định của toàn bộ nền kinh tế.
Thứ sáu, kinh tế thị trường là nền kinh tế mở, thị trường trong nước gắn liền
với thị trường quốc tế.
1.1.3. Một số quy luật chủ yếu của thị trường
Quy luật giá trị là quy luật kinh tế cơ bản của sản xuất hàng hóa. Ở đâu có 6
sản xuất và trao đổi hàng hóa ở đó có sự hoạt động của quy luật giá trị.
Quy luật cung cầu là quy luật kinh tế điều tiết giữa cung (bên bán) và cầu
(bên mua) hàng hóa trên thị trường.
Quy luật lưu thông tiền tệ là quy luật quy định số lượng tiền tệ cần thiết
cho lưu thông hàng hóa ở mỗi thời kì nhất định.
Quy luật cạnh tranh là quy luật kinh tế điều tiết một cách khách quan mối
quan hệ ganh đua kinh tế giữa các chủ thể trong sản xuất và trao đổi hàng hóa.
1.2. Vai trò của các chủ thể chính tham gia thị trường
Với tư cách là môi trường cho các quan hệ sản xuất và trao đổi phát huy tác
dụng dới tác động của các quy luật thị trường, có rất nhiều chủ thể khác nhau
tham gia thị trường , mỗi chủ thể có vai trò quan trọng riêng. Sau đây sẽ xem
xét vai trò của một số chủ thể chính, đó là; người sản xuất, người tiêu dùng, các
chủ thể trung gian trong thị trường và nhà nước.
Người sản xuất
Người sản xuất hàng hóa là những người sản xuất và cung cấp hàng hóa,
dịch vụ ra thị trường nhằm đáp ứng nhu cầu tiêu dùng của xã hội. Người sản
xuất bao gồm các nhà sản xuất, đầu tư, kinh doanh hàng hóa, dịch vụ... họ là
những người trực tiếp tạo ra của cải vật chất, sản phẩm cho xã hội để phục vụ tiêu dùng.
Người sản xuất là người sử dụng các yếu tố kinh doanh đầu vào để sản
xuất, kinh doanh và thu lợi nhuận. Nhiệm vụ của họ không chỉ là làm thỏa mãn
nhu cầu hiện tại của xã hội mà còn tạo ra và phục vụ cho những nhu cầu trong
tương lai với mục tiêu đạt lợi nhuận tối đa trong điều kiện nguồn lực có hạn. Vì
vậy, người sản xuất luôn phải quan tâm đến việc lựa chọn sản xuất hàng hóa
nào, số lượng bao nhiêu và với các yếu tố nào sao cho có lợi nhất.
Ngoài mục tiêu tìm kiếm lợi nhuận, người sản xuất cần phải có trách nhiệm
đối với con người, trách nhiệm cung cấp hàng hóa dịch vụ không làm tổn hại 7
đến sức khỏe và lợi ích của con người trong xã hội. Người tiêu dùng
Người tiêu dùng là những người mua hàng hóa dịch vụ, dịch vụ trên thị
trường để thỏa mãn nhu cầu tiêu dùng. Sức mua của người tiêu dùng là yếu tố
quyết định sự thành bại của người sản xuất. Sự phát triển đa dạng về nhu cầu
của người tiêu dùng là động lực quan trọng của sự phát triển của sản xuất, ảnh
hưởng trực tiếp tới sản xuất.
Người tiêu dùng có vai trò rất quan trọng trong định hướng sản xuất. Do đó,
trong điều kiện nền kinh tế thị trường, người tiêu dùng ngoài việc thoả mãn nhu
cầu của mình, cần phải có trách nhiệm với sự phát triển bền vững của xã hội.
Lưu ý, sự phân chia người sản xuất, người tiêu dùng chỉ mang tính chất
tương đối để tháy được chức năng chính của các chủ thể này khi tham gia thị
trường. Trên thực tế, doanh nghiệp luôn đóng vai trò vừa là người mua cũng vừa là người bán.
Các chủ thể trung gian trong thị trường
Do sự phát triển của sản xuất và trao đổi dưới sự tác động của phân công lao
động xã hội, làm cho sự tách biệt tương đối giữa sản xuất và trao đổi ngày càng
sâu sắc. Trên cơ sở đó xuất hiện những chủ thể trung gian trong thị trường.
Những chủ thể này có vai trò ngày càng quan trọng để kết nối, thông tin trong các quan hệ mua, bán.
Nhờ vai trò của các trung gian này mà nền kinh tế thị trường trở nên sống
động, linh hoạt hơn. Hoạt động của các trung gian trong thị trường làm tăng cơ
hội thực hiện giá trị của hàn hóa cũng như thỏa mãn nhu cầu của người tiêu
dùng. Các chủ thể trung gian làm tăng sự kết nối giữa sản xuất và tieu dùng, làm
cho sản xuất và tiêu dùng trở nên ăn khớp với nhau.
Trong điều kiện nền kinh tế thị trường hiện đại ngày nay, các chủ thể trung
gian trong thị trường không phải chỉ có các trung gian thương nhân mà còn có
rất nhiều các chủ thể trung gian phong phú trên tất cả các quan hệ kinh tế như: 8
trung gian môi giới chứng khoán, trung gian môi giới nhà đất, trung gian môi
giới khoa học công nghệ,... các trung gian trong thị trường không những hoạt
động trong phạm vi thị trường trong nước mà còn trên phạm vi quốc tế. Bên
cạnh đó cũng có những loại hình trung gian không phù hợp với chuẩn mực đạo
đức (lừa đảo, môi giới bất hợp pháp) cần bị loại trừ. Nhà nước
Trong nền kinh tế thị trường, xét về vai trò kinh tế, nhà nước thực hiện chức
năng quản lí nhà nước về kinh tế đồng thời thực hiện những bienj pháp để khắc
phục những khuyết tật của thị trường
Với trách nhiệm như vậy, một mặt, nhà nước thực hiện quản trị phát triển
kinh tế thông qua việc tạo lập môi trương kinh tế tốt nhất cho các chủ thể kinh
tế phát huy sức sáng tạo của họ. Việc tạo ra các rào cản đối với họt động sản
xuất kinh doanh từ phía nhà nước sẽ kìm hãm động lực sáng tạo của các chủ thể
sản xuất kinh doanh. Các rào cản như vậy phải được loại bỏ. Việc này đòi hỏi
mỗi cá nhân, có trách nhiệm trong quản lí bộ máy nhà nước cần phải nhận thức
được trách nhiệm của mình là thúc đẩy phát triển, không gây cản trở đối với sự
phát triển của nền kinh tế thị trường.
Cùng với đó, nhà nước còn sử dụng các công cụ kinh tế để khắc phục những
khuyết tật của nền kinh tế thị trường, làm cho nền kinh tế thị trường hoạt động hiệu quả.
Tóm lại, trong nền kinh tế thị trường, mọi quan hệ sản xuất và trao đổi hàng
hóa, các hoạt động của các chủ thể đều chịu sự tác động của các quy luật kinh tế
khách quan của thị trường, đồng thời chịu sự điều tiết can thiệp của nhà nước
qua viêc thực hiện hệ thống pháp luật và chính sách kinh tế. Mô hình kinh tế thị
trường có sự điều tiết của nhà nước ở từng nước, từng giai đoạn khác nhau tùy
thuộc vào nức độ can thiệp của chính phủ đối với thị trường, xong tất cả đều có
điểm trung là không thể thiếu vai trò của nhà nước. 9 CHƯƠNG 2
THỰC TRẠNG CỦA NGÀNH DU LỊCH VIỆT NAM DƯỚI DỰ TÁC
ĐỘNG CỦA ĐẠI DỊCH COVID 19
2.1. Khái quát ngành du lịch Việt Nam trước khi bùng nổ đại dịch Covid - 19
Du lịch Việt Nam được xem là ngành kinh tế mũi nhọn với nhiều tiềm năng,
đa dạng và phong phú. Trong giai đoạn chiến tranh và trước khi mở cửa nền
kinh tế, ngành Du lịch Việt Nam chủ yếu đón tiếp các đoàn khách nước ngoài,
phục vụ công tác đối ngoại của Đảng, Nhà nước. Từ khi Việt Nam mở cửa nền
kinh tế, hội nhập quốc tế, ngành Du lịch đã có những bước phát triển rất nhanh
chóng cả về lượng khách và nguồn thu từ du lịch. Du lịch đóng góp ngày càng
lớn vào phát triển kinh tế - xã hội đất nước, thể hiện vai trò là một ngành kinh tế quan trọng.
Trước khi đại dịch Covid- 19 vùng nổ trên toàn cầu ngành du lich Viêt
Nam luôn duy trì tốc độ tăng trưởng mạnh trong nhiều năm, nhất là trong giai
đoạn từ 2015-2019 tốc độ tăng trưởng bình quân đạt khoảng 22,7%/năm.
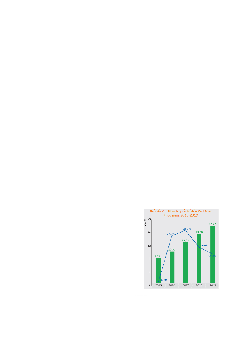
Năm 2019, là năm thành công
nhất đối với ngành du lịch Việt Nam
từ trước đến nay. Điều đó được thể
hiện qua các con số đánh kinh ngạc:
Việt Nam đón lượng khách
quốc tế kỷ lục 18 triệu lượt, tăng
16,2% so với năm 2018. Trong đó,
khách quốc tế đến từ 10 thị trường
hàng đầu đạt 15,2 lượt, chiếm 84,3%
Nguồn: Tổng cục Du lịch Việt Nam
tổng lượng khách quốc tế đến Việt Nam năm 2019. 10
Năm 2019, cả nước có 85 triệu
lượt khách du lịch nội địa, tăng 6,3%
so với năm 2018. giai đoạn 2015-
2019, khách nội địa đã tăng gần 1,5
lần từ 57 triệu lượt năm 2015 lên 85
triệu lượt năm 2019, tăng bình quân 10,5% mỗi năm.
Nguồn: Tổng cục Du lịch Việt Nam
Tổng thu từ khách du lịch đạt 755 nghìn tỷ đồng (tương đương 32,8 tỷ USD),
trong đó: Tổng thu từ du lịch quốc tế là 421 nghìn tỷ đồng, chiếm 55,7%, tương
đương 18,3 tỷ USD giá trị xuất khẩu từ du lịch; tổng thu từ du lịch nội địa là
334 nghìn tỷ đồng, chiếm 44,3%, tương đương 14,5 tỷ USD. Đóng góp trực tiếp
của du lịch đạt 9,2% GDP nền kinh tế
Nguồn; Tổng cục du lịch Việt Nam
Nguồn: Tổng cục Du lịch Việt Nam 11
Năm 2019, du lịch Việt Nam đã vinh dự được nhận được năm giải thưởng
uy tín, tầm cỡ thế giới và khu vực, bao gồm: Điểm đến di sản hàng đầu thế giới
(lần đầu tiên do World Travel Awards trao tặng); Điểm đến golf tốt nhất thế
giới (lần đầu tiên do World golf Awards trao tặng); Điểm đến hàng đầu châu Á
(lần thứ 2 liên tiếp do World Travel Awards trao tặng); Điểm đến văn hóa hàng
đầu châu Á (lần thứ 2 liên tiếp do World Travel Awards trao tặng); Điểm đến
ẩm thực hàng đầu châu Á (lần đầu tiên do World Travel Awards trao tặng).
Năng lực cạnh tranh của du lịch Việt Nam đã được cải thiện đáng kể, theo
báo cáo năng lực cạnh tranh du lịch năm 2019 của Diễn đàn kinh tế thế giới,
Việt Nam xếp hạng 63/140 nền kinh tế so với xếp hạng 67/136 vào năm 2017.
2.2 Thực trạng Ngành du lịch trong bối cảnh của đại dich Covid-19
Đại dịch Covid – 19 bùng nổ trên toàn cầu đã ảnh hưởng nghiêm trọng đến
rất nhiều lĩnh vực trong đời sống xã hội như: kinh tế, giáo dục, y tế, an ninh
quốc phòng... đặt ra nhiều khó khăn, thách thức cho các quốc gia trên thế giới,
trong đó có Việt Nam. Đại dịch covid- 19 diễn ra năm 2020 đã tác động mạnh
đến nền kinh tế Việt Nam, trong đó, ngành du lịch bị ảnh hưởng rất nặng nề.
Các lệnh cấm bay, hạn chế đi lại và sự e ngại của du khách do lo sợ ảnh hưởng
của dịch Covid-19 đã khiến nhiều khách sạn, nhà hàng và chuỗi bán lẻ tại các
điểm du lịch trở nên vắng khách, doanh thu ngành du lịch sụt giảm mạnh. Theo
các chuyên gia dự báo, năm 2020, du lịch Việt Nam không đạt mục tiêu đón
20,5 triệu lượt khách quốc tế. Sự phục hồi của du lịch Việt Nam sẽ phải phụ
thuộc vào thời điểm dịch Covid-19 được kiểm soát trên thế giới.
Dịch Covid- 19 diễn ra vào đúng mùa cao điểm du lịch của khách quốc tế và
cũng là mùa du lịch lễ hội tâm linh của khách nội địa sau dịp nghỉ lễ Tết
Nguyên đán năm 2020, vì vậy du lịch là ngành chịu tác động đầu tiên, kéo dài
và chịu thiệt hại nặng nề nhất.
Đến nay Việt Nam đã trải qua 3 đợt bùng dịch và đang trong đợt bùng dịch
lần thứ 4 có mức độ ngày càng nguy hiểm và phức tạp hơn. 12
Tiếp nối đà tăng trưởng cao 22,7% trong giai đoạn 2015 - 2019, ngành Du
lịch bước vào năm 2020 đón lượng khách quốc tế kỷ lục trong tháng 1, đạt 2
triệu lượt, tăng 32,8% so với cùng kỳ 2019. Du lịch Việt Nam đã kỳ vọng vào
một năm thành công, vượt chỉ tiêu đón 20 triệu lượt khách quốc tế năm 2020
theo Nghị quyết 08-NQ/TW của Bộ Chính trị.
Thế nhưng, từ tháng 2/2020, dịch Covid-19 bùng phát trên thế giới đã ngay
lập tức ảnh hưởng nghiêm trọng đến ngành Du lịch. Ngành Du lịch Việt Nam
phải đối mặt với những khó khăn chưa từng xảy ra trước đó. Kể từ tháng
3/2020, Việt Nam ngừng hoạt động đón khách quốc tế, chỉ còn hoạt động du
lịch trong nước. Nhưng thị trường du lịch trong nước cũng bị ảnh hưởng bởi các
đợt giãn cách xã hội khi dịch bùng phát.
Tổng Cục trưởng Tổng cục Du lịch Việt Nam Nguyễn Trùng Khánh cho
biết, trước ảnh hưởng của dịch Covid-19, ngành Du lịch thế giới nói chung và
Việt Nam nói riêng thiệt hại nặng nề. Năm 2020, nhiều kế hoạch hầu như không
thực hiện được, chỉ tiêu đặt ra đều giảm mạnh. Lượng khách quốc tế cả năm
2020 ước chỉ đạt 3,8 triệu lượt, giảm gần 80% so với năm 2019; khách du lịch
trong nước cũng giảm gần 50%; tổng thu du lịch cả nước thiệt hại lên đến 530
nghìn tỷ đồng (tương đương 23 tỷ USD)...
Năm 2020, cả nước có 3.339 doanh nghiệp lữ hành, trong đó có 2.519
doanh nghiệp lữ hành quốc tế, 820 doanh nghiệp lữ hành nội địa, nhưng 90 -
95% các doanh nghiệp lữ hành tạm dừng hoạt động. Cũng trong năm 2020 có
201 công ty lữ hành xin cấp mới giấy phép nhưng có tới 338 công ty xin thu hồi
giấy phép. Các công ty lữ hành quốc tế chuyển hết sang kinh doanh lữ hành nội
địa. 26.721 hướng dẫn viên, với 16.965 cũng chuyển sang hướng dẫn nội địa
hoặc chuyển nghề. Hơn 30.000 cơ sở lưu trú với 650.000 phòng trên cả nước
nhưng công suất phòng chỉ đạt 20 - 25% ở các tỉnh, thành phố; một số địa bàn
du lịch trọng điểm, nhiều khách sạn buộc phải đóng cửa hoặc chuyển đổi mục
đích sử dụng vì không cầm cự nổi. 13
Do diễn biến phức tạp, ảnh hưởng của dịch Covid 19 không chỉ tác động
trực tiếp lên số lượng khách đi du lịch mà còn tác động đến các cơ sở lưu trú.
Công suất hoạt động các cơ sở lưu trú giai đoạn này chỉ đạt 20 - 30% so với
cùng kỳ năm 2019. Số lượng khách hủy phòng tại các cơ sở lưu trú tại Hà Nội
là hơn 80.613 lượt, số ngày bị hủy phòng khoảng 57.652 ngày.
Các khách sạn trên khắp các tỉnh, thành cả nước lần lượt tuyên bố đóng cửa
ít nhất đến hết 30/4/2020, như: hệ thống Silk Queen, Hệ thống OHG sở hữu các
khách sạn 4* & 5* như Oriental Suites Hotel & Spa, O’Gallery Premier Hotel &
Spa, O’Gallery Majestic Hotel & Spa hay Thiên Minh Group với chuỗi khách
sạn & tàu Victoria 5* cao cấp,… Chính điều này khiến nhân lực ngành du lịch
bị mất việc làm, các công ty, khách sạn, nhà hàng lần lượt phải cắt giảm biên
chế đến 60%. Đối với các công ty đa quốc gia thậm chí còn giảm 4/5 số lượng
nhân viên. Ít nhất cho đến hết tháng 6/2020, hơn 80% nhân sự không có việc
làm. Nếu tình hình khó khăn hơn thì tình trạng thất nghiệp chắc chắc cũng kéo dài hơn.
Do ảnh hưởng của đại dịch Covid- 19 nên một số các sự kiện quảng bá, xúc
tiến điểm đến trong kế hoạch công tác năm 2020 đã không thực hiện được như:
Năm Du lịch quốc gia 2020 - Ninh Bình chuyển sang năm 2021 thực hiện;
quảng bá nhân sự kiện giải đua xe F1; Hội chợ WTM (Anh), MITT (Nga), ITB (Đức), ITE (TP.HCM)…
Dưới tác động của đại dịch Covid- 19 , ngành du lịch Việt Nam năm 2021
lại rơi vào khủng hoảng với hai đợt bùng dịch mới. Theo Tổng cục Thống kê
công bố, do ảnh hưởng của Covid-19 trong những ngày đầu năm 2021, doanh
thu du lịch lữ hành quý I ước tính đạt 3,1 nghìn tỷ đồng, chiếm 0,2% tổng mức
và giảm 60,1% so với cùng kỳ năm trước (cùng kỳ năm 2020 giảm 24,8%).
Trước tình hình dịch bệnh ngày càng phức tạp, đặc biệt là trong đợt dịch lần
thứ 4 hết sức nguy hiểm và phức tạp này dự đoán ngành du lịch Việt Nam sẽ
còn rất nhiều những khó khăn , thách thức cần phải vượt qua. 14
Trước những tác động của dịch bệnh, xu hướng đi du lịch của người dân
Việt cũng như các khách hàng quốc tế đã có nhiều thay đổi so với trước khi dịch
bệnh sảy ra. Xu hướng du lịch “tại chỗ” hay các điểm đến biệt lập, du lịch thiên
nhiên được nhiều người lựa chọn. Đòi hỏi ngành du lịch phải có những biến đổi
phù hợp. Vì thế bộ Văn hóa, Thể thao và Du lịch đã có những chính sách kích
cầu du lịch, đẩy mạnh phát triển du lịch nội địa theo hướng an toàn cũng đã
mang lại những tín hiệu tích cực cho nghành du lịch. Năm 2020, bất chấp những
tê liệt trong hoạt động vì “bão Covid-19”, du lịch Việt Nam vẫn ghi dấu bằng
loạt giải thưởng quốc tế uy tín và có mặt thường xuyên trên các tạp chí lữ hành uy tín của thế giới.
2.3. Vấn đề đặt ra đối với ngành du lịch Việt Nam
Thực trạng khó khăn chung hiện nay không những ở các nước phát triển mà
còn diễn ra hầu hết ở các quốc gia có nền du lịch đang phát triển, chưa phát
triển, từ các điểm đến du lịch nổi tiếng hàng năm thu hút hàng trăm triệu lượng
khách du lịch, đến những nơi đơn thuần chỉ là những vị khách vãng lai, ít người
biết đến…, thì hiện nay hầu như không có sự hiện diện của họ. Vấn đề đặt ra
cho các chủ thể kinh tế là phải làm sao vừa ứng phó với thực trạng trên, vừa
phục hồi và nâng cao chất lượng điểm đến đảm bảo sự an toàn, thỏa mãn được
nhu cầu du lịch cho du khách là hết sức cần thiết. Hiện nay, khi mà các quốc
gia, các điểm đến ở Việt Nam và trên thế giới hầu như đang hạn chế việc đi lại
cũng như hạn chế đón khách du lịch quốc tế nhập cảnh vào vì Covid-19, việc
tập trung bao gồm các cơ quan nhà nước và cả đối với các bên liên quan cùng
vào cuộc, khắc phục các thiệt hại về vật chất cũng như nâng cao về chất lượng
chuyên môn người làm du lịch rất được quan tâm, cùng với đó là định hình lại
chính sách phát triển du lịch, thực hiện cơ cấu lại nền kinh tế gắn với đổi mới
mô hình tăng trưởng, nâng cao năng suất, chất lượng, hiệu quả và sức cạnh
tranh du lịch trong thời gian tới. Tiêp tục phát huy nội lực trong “bão Covid- 19”. 15 CHƯƠNG 3
GIẢI PHÁP ĐỂ PHÁT HUY VAI TRÒ CỦA CÁC CHỦ THỂ CHÍNH
THAM GIA THỊ TRƯỜNG NHẰM KHÔI PHỤC VÀ PHÁT TRIỂN
NGÀNH DU LỊCH VIỆT NAM SAU KHỦNG HOẢNG CỦA ĐẠI DỊCH COVID- 19
3.1. Giải pháp để phát huy vai trò của các chủ thể chính tham gia thị
trường nhằm khôi phục và phát triển ngành du lịch việt nam sau khủng
hoảng của đại dịch Covid- 19
Trong bối cảnh đại dịch Covid còn kéo dài, nền kinh tế Việt Nam cũng như
các nước trên thế giới còn mang nhiều nguy cơ tiềm ẩn. Để khắc phục những
hậu quả do đại dịch Covid- 19 đem lại cho ngành du lịch Việt Nam, từng bước
khôi phục và phát triển ngành du lịch. Chính phủ ta cần kết hợp với các bộ ban
ngành chỉ đạo đưa ra các chủ trương, chính sách, giải pháp cấp thiết và phù hợp
thích ứng với tình hình mới của đại dịch, coi những thách thức làm động lực để
phát triển. Định hướng xây dựng ngành du lịch phát triển theo hướng bền vững,
an toàn, hiệu quả và đa dạng hóa các loại hình du lịch.
Thứ nhất, đối với các tổ chức, doanh nghiệp kinh doanh du lịch, dịch vụ lữ
hành cần có biện pháp để trấn an tâm lý du khách thông qua tăng cường các
biện pháp y tế, như phân bố nguồn lực để đảm bảo vệ sinh cho dịch vụ vận tải,
cung cấp giấy chứng nhận y tế;… Đồng thời, cần có đánh giá tác động đến
người lao động dễ bị tổn thương trong lĩnh vực du lịch, như phụ nữ, cộng đồng
dân tộc thiểu số vì xu hướng du lịch sinh thái gần đây đã mang lại nhiều lợi ích
cho họ. Cần đẩy mạnh kích cầu dịch vụ du lịch nội địa, sau đó là du lịch quốc
tế. Đồng thời, đảm bảo đủ cơ sở lưu trú hợp vệ sinh với chi phí phù hợp, doanh
nghiệp lữ hành và các đơn vị cung cấp dịch vụ du lịch để đáp ứng nhu cầu được
dự báo sẽ tăng, mặc dù là mức độ tăng chậm trong thời gian tới. Để phục hồi thị
trường du lịch nội địa, trước hết cần tập trung vào hành khách trong các chuyến
đi công tác, bởi đây sẽ là mạng phục hồi trước. 16
Thứ Hai, để phục hồi mạnh mẽ hơn du lịch trong nước và quốc tế, cần hiểu
rõ hơn sự phát triển của lĩnh vực này bằng cách thu thập dữ liệu có tần suất cao
thông qua các khảo sát nhanh. Cuộc khủng hoảng Covid-19 đã thay đổi nhu cầu
của khách du lịch và dẫn đến nhiều thay đổi về hành vi. Việt Nam sẽ cần phải
phối hợp chặt chẽ với các hiệp hội tư nhân đánh giá tình hình tài chính của
ngành du lịch. Đánh giá này cần xem xét sự khác biệt giữa các khu vực và đặc
điểm của từng nhóm doanh nghiệp dịch vụ du lịch, như về quy mô, nội địa,
quốc tế, công lập, tư nhân,… Để hoạch định chính sách hiệu quả, cần cập nhật
thông tin về cả nguồn cung và cầu trong lĩnh vực này.
Thứ ba, nâng cao chất lượng các sản phẩm du lịch và điểm đến. Theo đó,
cần kết hợp các giải pháp về giảm giá dịch vụ (như một số nơi đã làm) song
song với nâng cao chất lượng phục vụ. Về giá cả, trong ngắn hạn, có thể sử
dụng các công cụ tiêu chuẩn như giảm thuế, phí, lệ phí - mặc dù việc giảm này
có thể làm giảm thu ngân sách. Do vậy, để hiệu quả hơn, cần tập trung vào chất
lượng các sản phẩm du lịch. Đẩy mạnh phát triển du lịch nội địa, mục tiêu này
có thể được thực hiện thông qua các chương trình kích cầu du lịch, như Chương
trình “Người Việt Nam đi du lịch Việt Nam” của Bộ Văn hoá, Thể thao và Du
lịch đã phát động được triển khai từ ngày 1/6 đến ngày 31/12/2020. Các điểm
đến có mật độ khách du lịch thấp hơn, chẳng hạn như điểm đến ở các vùng sâu,
vùng xa, cần có sự tăng cường phối hợp với các chương trình đầu tư xây dựng
hạ tầng ở cấp độ cộng đồng. Việc này nhằm để các điểm du lịch được đảm bảo
hơn về điều kiện vệ sinh, qua đó cải thiện chất lượng trải nghiệm du lịch theo
chiến lược dài hạn về thúc đẩy sinh thái và thu hút du khách quốc tế quay lại Việt Nam.
Thứ tư, tăng cường xúc tiến, quảng bá, phát triển các sản phẩm mới với
chiến lược maketing độc đáo hấp dẫn để thu hút khách du lịch quốc tế, nhất là
khách du lịch từ các vùng không chịu ảnh hưởng bởi dịch bệnh, đồng thời tập
trung phát triển mạnh du lịch nội địa ở các vùng, miền của đất nước. Mục tiêu
phục hồi ngành du lịch không chỉ đòi hỏi các điểm đến hấp dẫn và nâng cao 17
chất lượng dịch vụ, mà bên cạnh đó, khách du lịch còn cần được tiếp cận dễ
dàng hơn các thông tin và công cụ đặt phòng trực tuyến. Để tiếp tục thu hút
khách du lịch, cũng cần có các chính sách linh hoạt hơn về việc huỷ hoặc thay
đổi lịch đặt phòng hoặc phương tiện đi lại… Vì, sự lựa chọn của du khách cũng
sẽ bị ảnh hưởng rất nhiều bởi nguồn cung và chất lượng các dịch vụ vận tải;
mặc dù Covid-19 cũng đã gây ảnh hưởng nghiêm trọng đến các hoạt động vận tải tại Việt Nam.
Thứ năm, Nhà nước cần có những chính sách miễn giảm thuế cho các doanh
nghiệp trong ngành Du lịch như miễn thuế giá trị gia tăng cho tiêu dùng du lịch
và các doanh nghiệp du lịch, giảm chi phí môi trường cho các doanh nghiệp du
lịch, giảm thuế khoán đối với các hộ kinh doanh du lịch cá thể, áp dụng mức giá
điện theo đơn giá điện sản xuất cho các cơ sở kinh doanh nhà hàng, dịch vụ lưu
trú du lịch thay vì áp dụng mức giá dịch vụ… Thực hiện tiêm chủng vắc-xin
phòng Covid 19 cho người dân để đạt miễn dịch cộng đồng tạo ra hàng rào bảo
vệ tránh sự lây lan của dịch bệnh. Từ đó mọi hoạt động có thể khôi phục trở lại,
trong đó có hoạt động du lịch.
Thứ sáu, bên cạnh các chương trình kích cầu du lịch, các biện pháp bảo đảm
an toàn phòng chống dịch cần được các địa phương, doanh nghiệp lữ hành, du
lịch, khách sạn, các hãng hàng không… thực hiện triệt để, nghiêm túc. Việc bảo
đảm an ninh, an toàn sức khỏe cho người dân tại các cơ sở, điểm đến du lịch trở
thành "nhiệm vụ kép" với việc phục hồi ngành Du lịch thời gian tới. Du khách
cũng cần tự có ý thức bảo vệ sưc khỏe của bản thân, gia đình và cộng đồng thực
hiện nghiêm túc các chỉ đạo của thủ tướng chính phủ nhằm ngăn chặn sự lây lan của dịch bệnh
3.3. Nhận thức và trách nhiệm của bản thân trong việc phòng chống
dịch bệnh Covid- 19 góp phần phục hồi và phát triển ngành du lịch Việt