


















Preview text:
Chương 2:
CẦU, CUNG & GIÁ CẢ THỊ TRƯỜNG
Lý thuyết cầu, cung là lý thuyết kinh tế căn bản, nó chỉ ra quá trình hình thành và sự biến động giá của các loại hàng hóa hoặc dịch vụ trên thị trường thông qua tương quan tác động của cầu, cung. Lý thuyết cầu, cung chủ yếu được phân tích và xây dựng trong khung cảnh giả thiết cực đoan - thị trường cạnh tranh hoàn hảo. Từ đó, đề ra những nguyên tắc lý luận làm cơ sở để soi rọi, đối chiếu với thị trường cạnh tranh bất hoàn hảo trong thực tế.
Trong chương này chúng ta cần nắm được các nội dung sau:
- Trên thị trường cạnh tranh hoàn hảo, mỗi người mua và mỗi người bán đều là người chấp nhận giá, sản phẩm của các người bán là đồng nhất. Các người bán cạnh tranh với nhau theo đúng thực lực của mình, không bị chi phối bởi các yếu tố bên ngoài như sự can thiệp của chính phủ, chi phí vận chuyển, thông tin, ngoại tác.
- Số lượng hàng hóa người mua muốn mua và có khả năng mua trong một đơn vị thời gian chịu sự chi phối của nhiều yếu tố như giá của chính hàng hóa đó, thu nhập của người tiêu dùng, qui mô thị trường, giá hàng hóa có liên quan, kỳ vọng về giá và thu nhập, sở thích, thị hiếu của người tiêu dùng…
- Lượng cầu là lượng hàng hóa hoặc dịch vụ tối đa người mua muốn mua và có khả năng mua tại một mức giá nhất định trong một đơn vị thời gian.
- Cầu thể hiện tập hợp nhiều mối quan hệ giữa giá và lượng cầu, vì vậy sẽ cho chúng ta thấy được phản ứng của người mua trước sự biến động giá.
- Có 3 hình thức thể hiện cầu là biểu cầu, đường cầu và hàm số cầu.
- Quy luật cầu “Trong điều kiện các yếu tố khác không đổi, giá và lượng cầu biến thiên ngược chiều nhau”. Đường cầu dốc xuống từ trái sang phải.
- Giá cầu là mức giá cao nhất người mua sẵn lòng trả để mua một lượng hàng hóa hoặc dịch vụ nhất định.
- Cầu tăng (hoặc cầu giảm) là lượng cầu ở tất cả các mức giá đều tăng (hoặc đều giảm).
- Khi giá của hàng hóa hoặc dịch vụ tăng (hoặc giảm) sẽ làm lượng cầu hàng hóa hoặc dịch vụ đó giảm (hoặc tăng) tạo ra hiện tương di chuyển lên (hoặc xuống) dọc theo đường cầu. Cầu không đổi, đường cầu đứng yên.
- Khi một trong các yếu tố khác (các yếu tố ngoài giá của chính hàng hóa hoặc dịch vụ đó) thay đổi, sẽ làm cầu thay đổi, đường cầu dịch chuyển sang phải hoặc sang trái và lượng cầu cũng thay đổi theo.
- Thu nhập và cầu sẽ biến thiên cùng chiều nếu là hàng hóa hoặc dịch vụ thông thường và biến thiên ngược chiều nếu là hàng hóa hoặc dịch vụ thứ cấp (cấp thấp).
- Khi giá của hàng hóa hoặc dịch vụ thay thế tăng (hoặc giá của hàng hóa hoặc dịch vụ bổ sung giảm) sẽ làm cầu tăng và ngược lại.
- Kỳ vọng về thu nhập và cầu hiện tại của một số loại hàng hóa hoặc dịch vụ sẽ thay đổi cùng chiều.
- Thông thường giá dự kiến và cầu hiện tại sẽ đồng biến.
- Số lượng hàng hóa hoặc dịch vụ được cung ứng trên thị trường trong một đơn vị thời gian chịu sự chi phối của nhiều yếu tố như giá của hàng hóa hoặc dịch vụ đó, giá các yếu tố sản xuất, kỹ thuật - công nghệ, giá các hàng hóa hoặc dịch vụ có liên quan, số lượng doanh nghiệp hiện có trên thị trường, kỳ vọng, thuế theo sản lượng...
- Lượng cung là lượng hàng hóa hoặc dịch vụ tối đa người bán cung ứng tại một mức giá nhất định trong một đơn vị thời gian.
- Cung thể hiện nhiều mối quan hệ giữa giá và lượng cung, vì vậy sẽ cho chúng ta thấy được sự phản ứng của người bán trước sự biến động giá.
- Có 3 hình thức thể hiện cung là biểu cung, đường cung và hàm số cung.
- Quy luật cung “Trong điều kiện các yếu tố khác không đổi, giá và lượng cung biến thiên cùng chiều”. Đường cung dốc lên từ trái sang phải.
- Giá cung là mức giá thấp nhất người bán đồng ý cung cấp một lượng hàng hóa hoặc dịch vụ nhất định trong một đơn vị thời gian.
- Nguyên nhân tạo ra hiện tượng di chuyển dọc theo một đường cung là do giá của chính mặt hàng đó thay đổi làm lượng cung thay đổi, trong điều kiện các yếu tố khác không đổi. Cung không đổi, đường cung đứng yên.
- Cung tăng (hoặc cung giảm) là lượng cung ở tất cả các mức giá đều tăng (hoặc đều giảm).
- Nguyên nhân tạo ra hiện tượng dịch chuyển đường cung sang phải hoặc sang trái (cung tăng hoặc giảm) là do một trong các yếu tố khác (các yếu tố ngoài giá của chính hàng hóa đó) thay đổi.
- Giá các yếu tố sản xuất càng giảm (hoặc kỹ thuật - công nghệ càng hiện đại), cung càng tăng và ngược lại.
- Khi giá của hàng hóa thay thế trong sản xuất tăng (hoặc giá của hàng hóa cùng đầu ra trong một quá trình sản xuất giảm) sẽ làm cung giảm và ngược lại.
- Khi chính phủ đánh thuế theo sản lượng, cung giảm, đường cung dịch chuyển sang trái và tịnh tiến lên trên bằng độ lớn khoản thuế.
- Khi chính phủ trợ cấp theo sản lượng, cung tăng, đường cung dịch chuyển sang phải và tịnh tiến xuống bằng độ lớn khoản trợ cấp.
- Kỳ vọng về giá và cung hiện tại của một số loại hàng hóa hoặc dịch vụ sẽ thay đổi ngược chiều.
- Thị trường ổn định (trạng thái cân bằng) khi lượng cung bằng lượng cầu hoặc giá cung bằng giá cầu. Trên đồ thị, điểm cân bằng được xác định tại giao điểm của 2 đường cung, cầu. Khi giá cao hơn mức giá cân bằng sẽ có hiện tượng thừa hàng và tạo áp lực kéo giá giảm xuống. Khi giá thấp hơn mức giá cân bằng sẽ có hiện tượng thiếu hàng và tạo áp lực đẩy giá tăng lên.
- Lượng mua là lượng hàng hóa hoặc dịch vụ thực tế người mua đã mua được tại một mức giá nhất định trong một đơn vị thời gian.
- Lượng bán là lượng hàng hóa hoặc dịch vụ thực tế người bán đã bán được tại một mức giá nhất định trong một đơn vị thời gian.
- Giá trên thị trường thường xuyên biến động do cung và cầu trên thị trường thường xuyên thay đổi.
- Các mối quan hệ nhân - quả do cung, cầu thay đổi:
Nguyên nhân | Kết quả |
Cầu tăng | Giá cân bằng tăng, lượng cân bằng tăng. |
Cầu giảm | Giá cân bằng giảm, lượng cân bằng giảm. |
Cung tăng | Giá cân bằng giảm, lượng cân bằng tăng. |
Cung giảm | Giá cân bằng tăng, lượng cân bằng giảm. |
Cung và cầu đều tăng | Giá cân bằng có thể tăng, giảm hoặc không đổi, lượng cân bằng tăng. |
Cung và cầu đều giảm | Giá cân bằng có thể tăng, giảm hoặc không đổi, lượng cân bằng giảm. |
Cung tăng và cầu giảm | Giá cân bằng giảm, lượng cân bằng có thể tăng, giảm hoặc không đổi. |
Cung giảm và cầu tăng | Giá cân bằng tăng, lượng cân bằng có thể tăng, giảm hoặc không đổi. |
- Sự cân bằng đồng thời của toàn thể thị trường là hiện tượng tất cả các thị trường đơn lẻ trong nền kinh tế đều đang ở đúng thế cân bằng của nó. Khi có một thị trường nào đó biến động thì sẽ tạo ra hiệu ứng lan tỏa sang các thị trường khác.
- Thặng dư tiêu dùng là phần chênh lệch giữa số tiền người mua sẵn sàng trả và số tiền người mua thực sự trả khi mua hàng hóa. Nó chính là khoản lợi người tiêu dùng được hưởng khi tiêu dùng hàng hóa hoặc dịch vụ. Vì vậy, nó là một chỉ tiêu phản ánh phúc lợi kinh tế của xã hội. Trên đồ thị, thặng dư tiêu dùng là phần diện tích giới hạn phía dưới đường cầu và phía trên đường giá thị trường.
- Khi giá trên thị trường tăng (hoặc giảm) do cung thay đổi, thặng dư tiêu dùng sẽ giảm (hoặc tăng).
- Thặng dư sản xuất là phần chênh lệch giữa số tiền người bán thực sự nhận được và số tiền thấp nhất người bán sẵn lòng bán. Nó chính là khoản lợi người bán nhận được khi bán hàng hóa hoặc dịch vụ. Vì vậy, nó là một chỉ tiêu phản ánh phúc lợi kinh tế của xã hội. Trên đồ thị, thặng dư sản xuất là phần diện tích giới hạn phía dưới đường giá thị trường và phía trên đường cung.
- Khi giá trên thị trường tăng (hoặc giảm) do cầu thay đổi, thặng dư sản xuất sẽ tăng (hoặc giảm).
Lưu ý:
- Thứ nhất, cần phân biệt sự khác nhau giữa nhu cầu, lượng cầu, cầu và lượng mua.
- Nhu cầu là những mong muốn về vật chất và tinh thần mà con người cần được thỏa mãn.
- Lượng cầu là lượng hàng hóa hoặc dịch vụ tối đa người mua muốn mua và có khả năng mua tại một mức giá nhất định trong một đơn vị thời gian, chưa đề cập đến vấn đề lượng hàng hóa hoặc dịch vụ đó có được người bán đáp ứng hay không, hay nói cách khác là người mua có mua được hay không.
- Cầu là nhu cầu có khả năng thanh toán, trong mỗi điều kiện nhất định về thu nhập của người tiêu dùng, giá hàng hóa hoặc dịch vụ có liên quan, kỳ vọng về giá và thu nhập, sở thích, thị hiếu của người tiêu dùng… tại một mức giá người tiêu dùng có thể mua một lượng hàng hóa hoặc dịch vụ tương xứng để thỏa mãn nhu cầu trong một đơn vị thời gian. Hay nói cách khác, cầu thể hiện tập hợp nhiều mối quan hệ giữa giá và lượng cầu.
- Lượng mua là lượng hàng hóa hoặc dịch vụ thực tế người mua đã mua được tại một mức giá nhất định trong một đơn vị thời gian.
Thứ hai, phân biệt sự khác nhau giữa lượng cung, cung và lượng bán.
- Lượng cung là lượng hàng hóa hoặc dịch vụ tối đa người bán cung ứng tại một mức giá nhất định trong một đơn vị thời gian, chưa đề cập đến vấn đề lượng hàng hóa hoặc dịch vụ đó có bán được hết hay không.
- Cung thể hiện nhiều mối quan hệ giữa giá và lượng cung để thấy được sự phản ứng của người bán trước sự biến động giá.
- Lượng bán là lượng hàng hóa hoặc dịch vụ thực tế người bán đã bán được tại một mức giá nhất định trong một đơn vị thời gian.
- Thứ ba, phân biệt sự di chuyển dọc theo đường cầu (đường cung) và sự dịch chuyển đường cầu (đường cung).
- Yếu tố giá (còn gọi là yếu tố nội sinh vì nó thể hiện trên đồ thị) thay đổi làm lượng cầu (lượng cung) thay đổi tạo ra hiện tượng di chuyển dọc theo đường cầu (đường cung). Cầu (cung) không thay đổi, đường cầu (đường cung) đứng yên.
- Khi một trong các yếu tố khác (còn gọi là yếu tố ngoại sinh vì nó không thể hiện trên đồ thị) thay đổi sẽ làm cầu (cung) thay đổi, đường cầu (đường cung) dịch chuyển sang phải hoặc sang trái. Lúc này, lượng cầu (lượng cung) cũng thay đổi.
CÂU HỎI:
- Thế nào là thị trường cạnh tranh hoàn hảo?
- Lượng cầu của một loại hàng hóa hoặc dịch vụ là gì?
- Lượng cầu thị trường của một loại hàng hóa hoặc dịch vụ chịu sự chi phối bởi những yếu tố nào? Bạn hãy phân tích xu hướng tác động của từng yếu tố đến lượng cầu.
- Cầu của một loại hàng hóa hoặc dịch vụ là gì?
- Hãy phân biệt nhu cầu, lượng cầu và cầu.
- Phát biểu nội dung quy luật cầu.
- Có trường hợp nào người mua cư xử trái với quy luật cầu hay không? Cho ví dụ và giải thích?
- Chúng ta thể hiện cầu bằng những hình thức nào?
- Yếu tố nào đã tạo ra sự di chuyển dọc theo đường cầu? Phát biểu khái niệm sự di chuyển dọc theo đường cầu.
- Bạn hiểu thế nào là cầu tăng (hoặc cầu giảm)? Khi cầu tăng (hoặc cầu giảm) thì vị trí của đường cầu trên đồ thị sẽ thay đổi như thế nào?
- Những yếu tố nào có thể làm cho cả đường cầu dịch chuyển sang phải hoặc sang trái. Phát biểu khái niệm sự dịch chuyển đường cầu.
- Theo bạn mục tiêu cuối cùng của các doanh nghiệp (DN) cung ứng sản phẩm trên thị trường là gì?
- Lượng cung của một loại hàng hóa hoặc dịch vụ là gì?
- Lượng cung thị trường của một loại hàng hóa hoặc dịch vụ chịu sự chi phối bởi những yếu tố nào? Bạn hãy phân tích xu hướng tác động của từng yếu tố đến lượng cung.
- Cung của một loại hàng hóa hoặc dịch vụ là gì?
- Hãy phân biệt cung và lượng cung.
- Hãy phát biểu quy luật cung. Có trường hợp nào người bán cư xử trái với quy luật cung hay không? Cho ví dụ và giải thích.
- Chúng ta thể hiện cung bằng những hình thức nào?
- Yếu tố nào đã tạo ra sự di chuyển dọc theo đường cung? Phát biểu khái niệm sự di chuyển dọc theo đường cung.
- Bạn hiểu thế nào là cung tăng (hoặc cung giảm)? Khi cung tăng (hoặc cung giảm) thì vị trí của đường cung trên đồ thị sẽ thay đổi ra sao?
- Những yếu tố nào làm cho đường cung dịch chuyển sang phải hoặc sang trái? Phát biểu khái niệm sự dịch chuyển đường cung.
- Theo bạn những yếu tố nào làm thay đổi cung và những yếu tố nào làm thay đổi lượng cung?
- Phân tích quá trình hình thành giá cân bằng. Chúng ta có thể nói cung bằng cầu được không? Tại sao? Theo bạn tại sao thị trường chỉ ổn định tại giao điểm của hai đường cung, cầu? Bạn hãy phân biệt rõ lượng cung và lượng bán; lượng cầu và lượng mua.
- Nếu các doanh nghiệp cung ứng lượng hàng hóa hoặc dịch vụ ít hơn lượng cân bằng thì họ có thể bán hết lượng hàng hóa hoặc dịch vụ đó với giá cao nhất bằng mức giá nào (giá cung, giá cầu hay giá cân bằng)?
- Nếu các doanh nghiệp cung ứng lượng hàng hóa hoặc dịch vụ nhiều hơn lượng cân bằng thì họ có thể bán hết lượng hàng hóa hoặc dịch vụ đó với giá cao nhất bằng mức giá nào (giá cung, giá cầu hay giá cân bằng)?
- Nếu giá trên thị trường thấp hơn mức giá cân bằng thì lượng hàng hóa hoặc dịch vụ tối đa người mua mua được sẽ bằng lượng cung, lượng cầu hay lượng cân bằng?
- Thực tế cho thấy giá của các hàng hóa hoặc dịch vụ trên thị trường thường xuyên biến động. Bạn hãy lý giải hiện tượng này. Cho ví dụ minh họa.
- Thặng dư tiêu dùng là gì? Tại sao thặng dư tiêu dùng là một chỉ tiêu phản ánh phúc lợi kinh tế của xã hội.
- Bạn hãy phác họa đồ thị cung, cầu và chỉ ra phần thặng dư tiêu dùng trên đồ thị.
- Khi giá trên thị trường tăng (hoặc giảm) do cung thay đổi, thặng dư tiêu dùng sẽ thay đổi như thế nào? Minh họa bằng đồ thị.
- Thặng dư sản xuất là gì? Tại sao thặng dư sản xuất là một chỉ tiêu phản ánh phúc lợi kinh tế của xã hội. Bạn hãy phát họa đồ thị cung, cầu và chỉ ra phần thặng dư sản xuất trên đồ thị.
- Khi giá trên thị trường tăng (hoặc giảm) do cầu thay đổi, thặng dư sản xuất sẽ thay đổi như thế nào? Minh họa bằng đồ thị.
CÂU HỎI TRẮC NGHIỆM:
- Lượng cầu là lượng hàng hóa hoặc dịch vụ:
- Tối đa người mua mua được tại một mức giá nhất định trong một đơn vị thời gian;
- Tối thiểu người mua mua được tại một mức giá nhất định trong một đơn vị thời gian;
- Tối đa người mua muốn mua và có khả năng mua tại một mức giá nhất định trong một đơn vị thời gian;
- Tối thiểu người mua muốn mua và có khả năng mua tại một mức giá nhất định trong một đơn vị thời gian.
- Giá cung là mức giá:
- Tối đa người bán đồng ý cung cấp một lượng hàng hóa hoặc dịch vụ nhất định trong một đơn vị thời gian;
- Tối thiểu người bán đồng ý cung cấp một lượng hàng hóa hoặc dịch vụ nhất định trong một đơn vị thời gian;
- Tối đa người bán bán được một lượng hàng hóa hoặc dịch vụ nhất định trong một đơn vị thời gian;
- Tối thiểu người bán bán được một lượng hàng hóa hoặc dịch vụ nhất định trong một đơn vị thời gian.
- Với bất kỳ mức giá nào trên thị trường, lượng hàng hóa hoặc dịch vụ mua - bán trên thị trường sẽ bằng số lượng nào sau đây?
- Lượng cân bằng.
- Lớn hơn lượng cân bằng.
- Nhỏ hơn lượng cân bằng.
- Nhỏ hơn hoặc bằng lượng cân bằng.
- Nếu giá trên thị trường cao hơn giá cân bằng, lượng hàng hóa hoặc dịch vụ mua - bán trên thị trường sẽ bằng số lượng nào sau đây?
- Lượng cung;
- Lượng cầu;
- Lượng cân bằng;
- Không câu nào đúng.
- Nếu giá trên thị trường cao hơn giá cân bằng, trên thị trường sẽ xuất hiện tình trạng:
- Thừa hàng;
- Thiếu hàng;
- Lượng cân bằng;
- Không câu nào đúng.
- Yếu tố nào sau đây không làm đường cầu sản phẩm A dịch chuyển?
- Giá sản phẩm A giảm;
- Giá sản phẩm bổ sung cho A tăng;
- Quy mô thị trường được mở rộng;
- Thời tiết thay đổi.
- Giá sản phẩm X chắc chắn sẽ tăng khi cung và cầu sản phẩm X có sự thay đổi nào sau đây?
- Cung và cầu đều tăng;
- Cung và cầu đều giảm;
- Cung tăng và cầu giảm;
- Cung giảm và cầu tăng.
- Khi thị trường ổn định thì:
- Cung bằng cầu;
- Lượng bán bằng lượng mua;
- Lượng cung bằng lượng cầu;
- Câu B và C.
- Khi chính phủ đánh thuế theo sản lượng sẽ làm cho đường cung dịch chuyển như thế nào?
- Sang trái bằng độ lớn của khoản thuế;
- Sang phải bằng độ lớn của khoản thuế;
- Sang trái và lên trên bằng độ lớn của khoản thuế;
- Sang phải và xuống dưới bằng độ lớn của khoản thuế.
- Đường cung thể hiện mối quan hệ giữa:
- Giá và số lượng hàng hóa hoặc dịch vụ tối đa người bán đã bán được;
- Giá và số lượng hàng hóa hoặc dịch vụ tối đa người bán đưa ra thị trường;
- Giá và số lượng hàng hóa hoặc dịch vụ tối đa người mua đã mua được;
- Giá và số lượng hàng hóa hoặc dịch vụ tối đa người mua muốn mua và có khả năng mua.
- Cung của đường tăng mạnh đã làm cho lượng bánh ngọt bán ra trên thị trường thay đổi như thế nào?
- Không đổi;
- Tăng;
- Giảm;
- Một trong 3 trường hợp trên đều có thể xảy ra.
- Giá cá tăng mạnh đã làm cho:
- Lượng cầu cá giảm;
- Lượng cung cá tăng;
- Cầu cá giảm;
- Lượng cầu cá giảm và lượng cung cá tăng.
- Nguyên nhân nào sau đây làm cho cầu của cam tăng?
- Giá cam giảm;
- Giá phân bón giảm;
- Thu nhập người tiêu dùng tăng;
- Có thông tin cho biết ăn cam có lợi cho sức khỏe.
- Yếu tố nào sau đây làm cho đường cung sản phẩm A dịch chuyển sang trái?
- Giá sản phẩm A giảm;
- Giá đầu vào tăng;
- Thuế theo sản lượng giảm;
- Công nghệ mới được đưa vào sử dụng.
- Giá sản phẩm X chắc chắn sẽ giảm khi cung và cầu sản phẩm X có sự thay đổi nào sau đây?
- Cung và cầu đều tăng;
- Cung và cầu đều giảm;
- Cung không đổi và cầu giảm;
- Cung giảm và cầu tăng.
- Khi trên thị trường có lượng cung lớn hơn lượng cầu thì giá sẽ có xu hướng biến động như thế nào?
- Giảm;
- Tăng;
- Ổn định;
- Không thể biết được.
- Đường cầu thể hiện mối quan hệ giữa:
- Giá và số lượng hàng hóa hoặc dịch vụ tối đa người bán đã bán được;
- Giá và số lượng hàng hóa hoặc dịch vụ tối đa người bán đưa ra thị trường;
- Giá và số lượng hàng hóa hoặc dịch vụ tối đa người mua đã mua được;
- Giá và số lượng hàng hóa hoặc dịch vụ tối đa người mua muốn mua và có khả năng mua.
- Đường cung nằm ngang song song với trục hoành cho biết:
- Doanh nghiệp sẽ cung ứng lượng hàng hóa hoặc dịch vụ nhiều hơn nếu giá cao hơn;
- Doanh nghiệp sẽ cung ứng lượng hàng hóa hoặc dịch vụ nhiều hơn nếu giá thấp hơn;
- Doanh nghiệp sẽ bán cùng một mức giá cho nhiều lượng hàng hóa hoặc dịch vụ khác nhau;
- Doanh nghiệp chỉ cung ứng một lượng hàng hóa hoặc dịch vụ duy nhất với bất kỳ mức giá nào.
- Thu nhập tăng đã làm giá và sản lượng cân bằng của hàng hóa hoặc dịch vụ thông thường biến động như thế nào?
- Giá tăng, lượng tăng;
- Giá tăng, lượng giảm;
- Giá giảm, lượng giảm;
- Có thể A hoặc C.
- Yếu tố nào sau đây làm cho cung sản phẩm A tăng?
- Chi phí sản xuất sản phẩm A giảm;
- Giá sản phẩm A tăng;
- Thu nhập người tiêu dùng tăng;
- Thuế theo sản lượng đánh vào sản phẩm A tăng.
- Giá sản phẩm X chắc chắn giảm là do thị trường sản phẩm X có sự biến động nào sau đây?
- Cung tăng và cầu giảm;
- Cung giảm và cầu tăng;
- Cung và cầu đều giảm;
- Cung và cầu đều tăng.
- Khi doanh nghiệp tìm được thị trường xuất khẩu, thị trường sản phẩm của doanh nghiệp sẽ biến động như thế nào?
- Cung tăng;
- Cầu tăng;
- Cầu tăng và cung giảm;
- Không thể biết được.
- Khi doanh nghiệp tìm được thị trường xuất khẩu, thị trường trong nước của doanh nghiệp sẽ biến động như thế nào?
- Cung giảm;
- Cầu tăng;
- Cầu tăng và cung giảm;
- Không thể biết được.
- Đường cầu thẳng đứng song song với trục tung thể hiện:
- Giá càng tăng lượng cầu càng giảm;
- Giá càng tăng lượng cầu càng tăng;
- Người mua chỉ trả một mức giá duy nhất cho bất kỳ lượng hàng hóa hoặc dịch vụ nào;
- Người mua chỉ mua một lượng hàng hóa hoặc dịch vụ nhất định với bất kỳ mức giá nào trên thị trường.
- Cầu xuất khẩu gạo giảm đã làm giá cám gạo biến động như thế nào?
- Tăng;
- Giảm;
- Không đổi;
- Không có kết luận rõ ràng.
- Thông tin nào sau đây làm cho cung thịt gà giảm?
- Giá thức ăn cho gà giảm;
- Giá thịt bò giảm mạnh;
- Có dịch cúm gà;
- Người tiêu dùng ngày càng thích ăn thịt gà.
- Cho biết hàm cầu của mỗi cá nhân như sau P=10-50q. Giả định trên thị trường này có 100 người tiêu dùng hãy xác định hàm số cầu của thị trường:
- P=10-5000Q;
- P=1000-5000Q;
- P=10-0.5Q;
- Tất cả đều sai.
- Bất kể lượng lượng hàng hóa hoặc dịch vụ nào khác với lượng cân bằng được cung ứng trên thị trường, doanh nghiệp sẽ bán hết với mức giá cao nhất bằng:
- Giá cung;
- Giá cầu;
- Giá cân bằng;
- Không thể xác định được.
- Cầu tăng 20%, trên đồ thị đường cầu sẽ thay đổi vị trí như thế nào?
- Đường cầu dịch chuyển sang phải song song với đường cầu cũ;
- Đường cầu dịch chuyển sang trái song song với đường cầu cũ;
- Đường cầu xoay quanh trục tung theo chiều kim đồng hồ;
- Đường cầu xoay quanh trục tung, ngược chiều kim đồng hồ.
Sử dụng thông tin sau đây để trả lời 5 câu tiếp theo.
Thị trường sản phẩm A có hàm cầu và hàm cung như sau : P=200-2Q và P=Q+5
- Xác định giá và sản lượng cân bằng của thị trường.
- P = 70; Q = 65;
- P = 65; Q = 70;
- P = 73,33; Q = 68,33;
- Tất cả đều sai.
- Nếu giá trên thị trường là 80 thì số lượng tối đa người mua có thể mua được là bao nhiêu ?
- 75;
- 65;
- 60;
- Tất cả đều sai.
- Nếu người bán cung ứng 40 đơn vị sản lượng thì họ có thể bán giá cao nhất là bao nhiêu?
- 120;
- 70;
- 45;
- Tất cả đều sai.
- Xác định giá và sản lượng cân bằng của thị trường sau khi cầu giảm 50%, cung không đổi.
- P = 5; Q = 97.5;
- P = 39; Q = 44;
- P = 44; Q = 39;
- Tất cả đều sai.
- Xác định giá và sản lượng cân bằng của thị trường trong nước sau khi các doanh nghiệp xuất khẩu được 45 đơn vị sản lượng, cầu ban đầu.
- P = 100; Q = 95;
- P = 100; Q = 50;
- P = 40; Q = 80;
- Tất cả đều sai.
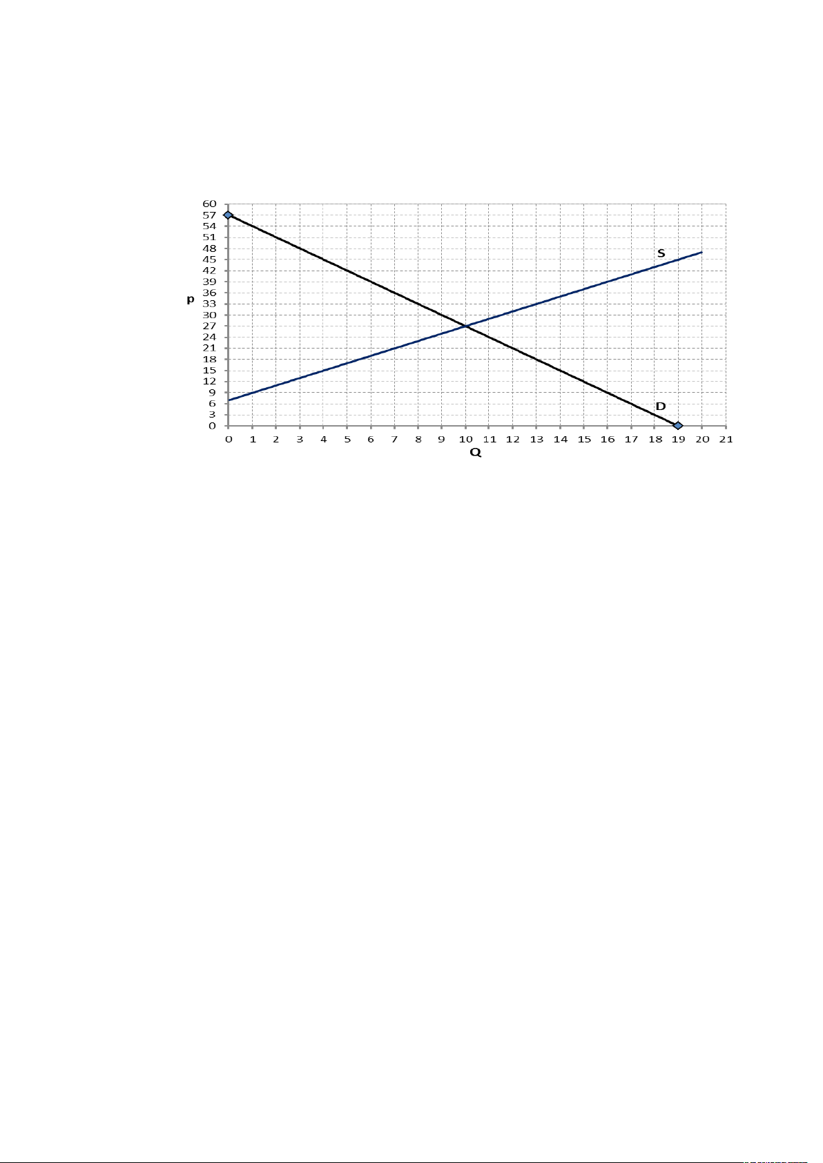
Quan sát đồ thị để trả lời 16 câu tiếp theo.

- Xác định giá và sản lượng cân bằng của thị trường.
- P=27; Q=10;
- P=30; Q=9;
- P=10; Q=27;
- Tất cả đều sai.
- Tính thặng dư của người tiêu dùng.
- 100;
- 150;
- 250;
- Tất cả đều sai.
- Nếu giá trên thị trường là 21, người mua có thể mua được tối đa bao nhiêu đơn vị sản lượng?
- 7;
- 10;
- 12;
- Không thể biết được.
- Nếu giá trên thị trường là 15, người tiêu dùng muốn mua tối đa bao nhiêu đơn vị sản lượng?
- 4;
- 10;
- 14;
- Không thể biết được.
- Nếu giá trên thị trường là 33, người bán muốn bán tối đa bao nhiêu đơn vị sản lượng?
- 8;
- 10;
- 13;
- Không thể biết được.
- Nếu giá trên thị trường là 39, người bán bán được tối đa bao nhiêu đơn vị sản lượng?
- 6;
- 10;
- 16;
- Không thể biết được.
- Nếu các doanh nghiệp cung ứng 13 đơn vị sản lượng thì họ có thể bán hết với giá cao nhất là bao nhiêu?
- 33;
- 27;
- 18;
- Không thể biết được.
- Nếu các doanh nghiệp cung ứng 7 đơn vị sản lượng thì họ có thể bán hết với giá cao nhất là bao nhiêu?
- 36;
- 27;
- 21;
- Không thể biết được.
- Nếu giá trên thị trường là 39, thị trường sẽ xuất hiện tình trạng gì?
- Thừa 6 đơn vị sản lượng;
- Thừa 4 đơn vị sản lượng;
- Thừa 10 đơn vị sản lượng;
- Không thể biết được.
- Nếu giá trên thị trường là 21, thị trường sẽ xuất hiện tình trạng gì?
- Thiếu 2 đơn vị sản lượng;
- Thiếu 3 đơn vị sản lượng;
- Thiếu 5 đơn vị sản lượng;
- Không thể biết được.
- Xác định giá và sản lượng cân bằng của thị trường sau khi chính phủ đánh thuế trên mỗi đơn vị sản lượng là 15 đơn vị tiền tệ.
- P=42; Q=10;
- P=36; Q=7;
- P=33; Q=13;
- Tất cả đều sai.
- Tính tổng số tiền thuế người mua phải chịu khi chính phủ đánh thuế trên mỗi đơn vị sản lượng là 15 đơn vị tiền tệ.
- 42;
- 63;
- 105;
- Tất cả đều sai.
- Tính tổng số tiền thuế người bán phải chịu khi chính phủ đánh thuế trên mỗi đơn vị sản lượng là 15 đơn vị tiền tệ.
- 42;
- 63;
- 105;
- Tất cả đều sai.
- Tính tổng số tiền thuế chính phủ nhận được:
- 42;
- 63;
- 105;
- Tất cả đều sai.
- Xác định giá và sản lượng cân bằng của thị trường khi các doanh nghiệp xuất khẩu được 5 đơn vị sản lượng, cung ban đầu:
- P=27; Q=15;
- P=33; Q=13;
- P=33; Q=8;
- Tất cả đều sai.
- Xác định giá và sản lượng cân bằng của thị trường khi cung tăng 5 đơn vị sản lượng, cầu ban đầu:
- P=21; Q=12;
- P=27; Q=15;
- P=15; Q=15;
- Tất cả đều sai.
BÀI TẬP ỨNG DỤNG:
- Doanh nghiệp A (DN A) có nhu cầu thuê sinh viên làm việc theo giờ để phục vụ cho việc quảng cáo và tiếp thị sản phẩm. DN A dự tính thời gian thuê sinh viên làm việc tùy thuộc vào tiền công tính theo giờ như Bảng 2.5.
Bảng 2.5
P (1000đ/giờ) | 10 | 20 | 30 | 40 | 50 | 60 |
qd (giờ/ngày) | 200 | 160 | 120 | 80 | 40 | 0 |
Giả định trong khu vực thị trường này có 75 DN có dự tính giống DN A. Hãy thiết lập biểu cầu của thị trường về thời gian làm việc của sinh viên. Vẽ đường cầu của thị trường và viết hàm số cầu thị trường của dịch vụ này.
- Theo bạn mỗi biến động của thị trường sau đây có ảnh hưởng gì đến cầu bếp gas? Giải thích ngắn gọn câu trả lời của bạn (phân tích độc lập cho mỗi trường hợp).
- Giá bếp gas tăng mạnh;
- Giá gas tăng mạnh do cung gas giảm;
- Công nghệ sản xuất bếp điện phát triển;
- Thu nhập của người tiêu dùng tăng.
- Bạn được cho biết hàm số cầu của sản phẩm A là: Qa=300–5Pa.
Yêu cầu:
3.1. Bạn hãy viết hàm số cầu của sản phẩm A khi trên thị trường có biến động sau (những biến động này độc lập với nhau):
- Các XN tìm được thị trường xuất khẩu và xuất khẩu được 30 đơn vị sản phẩm;
- Thu nhập của người tiêu dùng tăng đã làm cho cầu sản phẩm A tăng thêm 20%;
- Có thông tin cho biết tiêu dùng sản phẩm A không có lợi cho sức khỏe đã làm cho cầu của sản phẩm giảm 40%.
3.2. Giả định thị trường này có 100 người tiêu dùng có hàm cầu giống hệt nhau hãy viết hàm số cầu của mỗi người tiêu dùng.
3.3. Nếu thị trường này có thêm 20 người tiêu dùng có hàm cầu giống hệt những người trước, hãy viết hàm số cầu của thị trường trong trường hợp này.
- B là một sinh viên có nhu cầu làm thêm để kiếm tiền trang trải chi phí học tập. Anh ta dự tính thời gian đi làm thêm mỗi ngày tùy thuộc vào tiền công của mỗi giờ làm việc như Bảng 2.6. Giả định trong khu vực thị trường này có 2000 sinh viên có nhu cầu và dự tính như B.
Bảng 2.6
P (1000đ/giờ) | 10 | 20 | 30 | 40 | 50 | 60 |
Qs (giờ/ngày) | 0 | 1 | 2 | 3 | 4 | 5 |
Yêu cầu: Hãy thiết lập biểu cung thị trường về sức lao động của sinh viên. Vẽ đường cung của thị trường và viết hàm số cung của thị trường.
- Theo bạn mỗi biến động sau đây có tác động gì đến cung của rau muống. Giải thích ngắn gọn câu trả lời của bạn (phân tích độc lập cho mỗi trường hợp):
- Giá phân bón tăng;
- Giá rau muống tăng;
- Diện tích đất trồng rau muống bị thu hẹp;
- Người tiêu dùng ngày càng thích ăn rau muống.
- Căn cứ vào kết quả tính được ở câu 1 và câu 4, bạn hãy vẽ đường cung và đường cầu thị trường lên chung một đồ thị. Xác định mức giá (tiền công của 1 giờ làm việc) và sản lượng (số giờ/ngày) cân bằng của thị trường theo hai cách đồ thị và đại số.
- Sử dụng các đường cung, cầu để minh họa xem mỗi trường hợp sau đây đã làm cho chính thị trường đó biến động như thế nào. Minh họa bằng đồ thị. Giải thích ngắn gọn.
- Chính phủ đánh thuế theo sản lượng vào thị trường cà phê;
- Giá phân bón để trồng lúa giảm;
- Vào mùa nhập học, lượng sinh viên đi mua máy tính nhiều hơn;
- Có thông tin cho biết ăn nhiều bắp cải có thể bị bướu cổ;
- Heo bị dịch ở mồm, long móng;
- Giống lúa mới có năng suất cao đã được đưa vào sử dụng và lượng gạo xuất khẩu gia tăng;
- Chính phủ cấm nhập khẩu xe máy, đồng thời thu nhập của người tiêu dùng tăng mạnh.
- Theo bạn các lập luận sau đây đúng hay sai? Giải thích ngắn gọn. Nếu sai bạn hãy phát biểu câu đúng.
- Có dịch cúm gà đã làm giá thịt heo tăng;
- Cầu xuất khẩu gạo tăng đã làm giá cám gạo giảm;
- Giá bếp gas giảm mạnh đã làm giá bếp điện giảm;
- Thu nhập của người tiêu dùng tăng nhất định là điều tốt lành cho tất cả các doanh nghiệp;
- Khi thuế theo sản lượng đánh vào một hàng hóa nào đó tăng lên sẽ làm giá hàng hóa đó tăng. Khi giá tăng sẽ làm cầu giảm và cầu giảm sẽ làm giá giảm. Như vậy, thuế theo sản lượng đánh vào một hàng hóa tăng lên chưa chắc làm cho giá hàng hóa đó tăng;
- Khi lượng cầu thay đổi thì cầu chắc chắn sẽ thay đổi;
- Khi giá tăng, thặng dư tiêu dùng chắc chắn sẽ giảm.
- Thị trường sản phẩm A có hàm số cầu và hàm số cung như sau:
Pd = 100 – 2Qd và Ps = Qs +10.
Yêu cầu:
- Xác định giá và sản lượng cân bằng trên thị trường.
- Nếu giá trên thị trường là 50 thì người bán có thể bán được tối đa bao nhiêu đơn vị sản lượng?
- Nếu giá trên thị trường là 30 thì người tiêu dùng có thể mua được tối đa bao nhiêu đơn vị sản lượng?
- Nếu giá trên thị trường là 32 thì người tiêu dùng muốn mua và có khả năng mua tối đa bao nhiêu đơn vị sản lượng?
- Nếu giá trên thị trường là 46 thì người bán muốn bán tối đa bao nhiêu đơn vị sản lượng?
- Tại mức giá 50, trên thị trường sẽ xuất hiện tình trạng gì (thừa hàng hay thiếu hàng)? Số lượng cụ thể là bao nhiêu?
- Xác định giá và sản lượng cân bằng khi chính phủ đánh thuế trên mỗi đơn vị sản lượng là 15 đơn vị tiền tệ. Tính tổng số tiền thuế chính phủ thu được. Tính tổng số tiền thuế người bán phải gánh chịu.
- Nếu mức sản lượng cân bằng sau khi chính phủ đánh thuế theo sản lượng vào thị trường này là 22, hãy xác định khỏan thuế theo sản lượng chính phủ đã đánh vào thị trường này? Tính tổng số tiền thuế người mua phải chịu
- Hãy xác định giá và sản lượng cân bằng trong mỗi trường hợp sau:
i.1. Các doanh nghiệp xuất khẩu được 15 đơn vị sản lượng;
i.2. Cung giảm 50%, cầu không đổi.
- Bạn hãy so sánh kết quả tính được ở câu a và câu i.1 để cho biết cầu tăng đã làm cho giá và lượng cân bằng trên thị trường biến động như thế nào?
- Bạn hãy so sánh kết quả tính được ở câu a và câu i.2 để cho biết cung giảm đã làm cho giá và lượng cân bằng trên thị trường biến động ra sao?