
HƯỚNG DẪN ÔN TẬP TN.THPT NĂM 2025
CHỦ ĐỀ 8: HÀM SỐ LŨY THỪA, HÀM SỐ
MŨ VÀ HÀM SỐ LOGARIT.
PHƯƠNG TRÌNH, BẤT PHƯƠNG TRÌNH MŨ
VÀ LOGARIT.
PHẦN I. Câu trắc nghiệm nhiều phương án lựa chọn
Câu 1: Tập hợp các căn bậc hai của 25 là
A. . B. . C. . D. .
Hướng dẫn giải
Chọn C
Câu 2: Số 16 có bao nhiêu căn bậc hai?
A. . B. . C. . D. .
Hướng dẫn giải
Chọn B
Số 16 có bao nhiêu căn bậc hai là và .
Câu 3: Cho a, b là số dương khác 1. Phát biểu nào sau đây đúng?
A. . B. . C. . D. .
Hướng dẫn giải
Chọn B
Câu 4: Cho và x, y là hai số dương khác 1. Phát biểu nào sau đây đúng?
A. . B. .
C. . D. .
Hướng dẫn giải
Chọn C
Câu 5: Cho và x, y là hai số dương khác 1. Phát biểu nào sau đây là đúng?
A. . B. .
C. . D. .
Hướng dẫn giải
Chọn A
≫ TÀI LIỆU ÔN TẬP THEO CHƯƠNG TRÌNH MỚI Trang 1

HƯỚNG DẪN ÔN TẬP TN.THPT NĂM 2025
Câu 6: Cho và . Phát biểu nào sau đây là đúng?
A. B. .
C. . D. .
Hướng dẫn giải
Chọn D
Câu 7: Cho và x, y là hai số dương khác 1. Phát biểu nào sau đây là đúng?
A. . B. .
C. . D. .
Hướng dẫn giải
Chọn A
Câu 8: Cho và n là số nguyên dương. Phát biểu nào sau đây là đúng?
A. . B. . C. . D. .
Hướng dẫn giải
Chọn B
Câu 9: Cho
và n là số nguyên dương lớn hơn 1. Phát biểu nào sau đây là đúng?
A. . B. . C. . D. .
Hướng dẫn giải
Chọn A
Ta có :
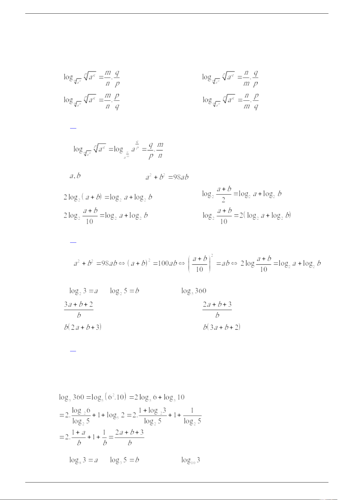
Câu 10: Cho . Biểu thức bằng
A. . B. . C. . D. .
Hướng dẫn giải
Chọn A
Ta có
Câu 11: Phát biểu nào sau đây là đúng?
A. . B. .
C. . D. .
Hướng dẫn giải
≫ TÀI LIỆU ÔN TẬP THEO CHƯƠNG TRÌNH MỚI Trang 2

HƯỚNG DẪN ÔN TẬP TN.THPT NĂM 2025
Chọn D
Câu 12: Cho a là số dương khác 1; m, n, p, q là các số nguyên dương lớn hơn 1. Phátbiểu nào sau đây là
đúng
A. . B. .
C. . D. .
Hướng dẫn giải
Chọn A
Ta có
Câu 13: Cho là số dương thỏa mãn . Phát biểu nào sau đây là đúng?
A. . B. .
C. . D. .
Hướng dẫn giải
Chọn C
Ta có
Câu 14: Biết
và . Kết quả tính theo a và b là
A. . B. .
C. . D. .
Hướng dẫn giải
Chọn B
Ta có
Ta có
Câu 15: Biết
và . Kết quả tính theo a và b là
≫ TÀI LIỆU ÔN TẬP THEO CHƯƠNG TRÌNH MỚI Trang 3

HƯỚNG DẪN ÔN TẬP TN.THPT NĂM 2025
A. . B. . C. . D. .
Hướng dẫn giải
Chọn D
Ta có:
Câu 16: Biết
và . Giá trị của biểu thức bằng
A. . B. . C. . D. .
Hướng dẫn giải
Chọn C
Ta có:
Câu 17: Tập xác định của hàm số
là
A. . B. . C. . D. .
Hướng dẫn giải
Chọn C
Ta có số mũ là số không nguyên nên tập xác định của hàm số là
Câu 18: Tập xác định của hàm số
là
A. . B. . C. . D. .
Hướng dẫn giải
Chọn B
Ta có số mũ là số nguyên dương nên tập xác định của hàm số là
Câu 19: Tập xác định của hàm số
là
A. . B. . C. . D. .
Hướng dẫn giải
Chọn A
Ta có số mũ là số nguyên âm nên tập xác định của hàm số là
Câu 20: Tập xác định của hàm số
là
≫ TÀI LIỆU ÔN TẬP THEO CHƯƠNG TRÌNH MỚI Trang 4

HƯỚNG DẪN ÔN TẬP TN.THPT NĂM 2025
A. . B. . C. . D. .
Hướng dẫn giải
Chọn B
Ta có
là hàm số mũ nên tập xác định của hàm số là
Câu 21: Tập xác định của hàm số
là
A. . B. . C. . D. .
Hướng dẫn giải
Chọn C
Ta có
có nghĩa khi nên tập xác định của hàm số là
Câu 22: Đạo hàm của hàm số
là
A. . B. . C. . D. .
Hướng dẫn giải
Chọn A
Ta có
Câu 23: Đạo hàm của hàm số
là
A. . B. . C. . D. .
Hướng dẫn giải
Chọn A
Ta có
Câu 24: Đạo hàm của hàm số
là
A. . B. . C. . D. .
Hướng dẫn giải
Chọn D
Ta có
Câu 25: Đạo hàm của hàm số
là
A. . B. . C. . D. .
Hướng dẫn giải
≫ TÀI LIỆU ÔN TẬP THEO CHƯƠNG TRÌNH MỚI Trang 5

HƯỚNG DẪN ÔN TẬP TN.THPT NĂM 2025
Chọn C
Ta có
≫ TÀI LIỆU ÔN TẬP THEO CHƯƠNG TRÌNH MỚI Trang 6

HƯỚNG DẪN ÔN TẬP TN.THPT NĂM 2025
Câu 26: Hình bên là đồ thị hàm số nào?
A. . B. . C. . D. .
Hướng dẫn giải
Chọn B
Vì đồ thị hàm số nghịch biến trên trên và nằm phía trên trục hoành nên chọn đáp án B.
Câu 27: Hình bên là đồ thị của hàm số nào?
A. . B. . C. . D. .
Hướng dẫn giải
Chọn C
Vì đồ thị hàm số đồng biến trên và nằm phía bên phải trục tung nên chọn đáp án C.
Câu 28: Hình bên là đồ thị của hàm số nào?
A. . B. . C. . D. .
Hướng dẫn giải
Chọn A
Vì đồ thị hàm số đồng biến trên và nằm phía trên trục hoành nên chọn đáp án A.
≫ TÀI LIỆU ÔN TẬP THEO CHƯƠNG TRÌNH MỚI Trang 7

HƯỚNG DẪN ÔN TẬP TN.THPT NĂM 2025
Câu 29: Hình bên là đồ thị của hàm số nào?
A. . B. . C. . D. .
Hướng dẫn giải
Chọn D
Vì đồ thị hàm số nghịch biến trên và nằm phía bên phải trục tung nên chọn đáp án D.
Câu 30: Trong các hàm số sau đây, hàm số nào có đồ thị phù hợp với hình bên?
A. . B. . C. . D. .
Hướng dẫn giải
Chọn B
Đồ thị hàm số mũ và đi qua điểm có tọa độ nên chọn đáp án B.
Câu 31: Cho ba số thực dương khác . Đồ thị các hàm số được cho như
hình vẽ bên. Khẳng định nào sau đây là đúng?
A. . B. . C. . D. .
Hướng dẫn giải
Chọn B
≫ TÀI LIỆU ÔN TẬP THEO CHƯƠNG TRÌNH MỚI Trang 8

HƯỚNG DẪN ÔN TẬP TN.THPT NĂM 2025
+ Hàm số nghịch biến nên ; Hàm số đồng biến nên .
+ Từ đồ thị hàm số, ta có . Vậy .
Câu 32: Cho ba số thực dương khác . Đồ thị các hàm số được
cho như hình vẽ bên. Khẳng định nào sau đây là đúng?
A. . B. . C. . D. .
Hướng dẫn giải
Chọn C
+ Hàm số nghịch biến nên ; Hàm số đồng biến nên
.
+ Từ đồ thị hàm số, ta có . Vậy .
Câu 33: Hàm số nào sau đây có ba tính chất sau?
(1) Tập xác định của hàm số là .
(2) Hàm số nghịch biến trên .
(3) ;
A. . B. . C. . D. .
Hướng dẫn giải
Chọn D
Tính chất hàm số lôgarit. Chọn D.
Câu 34: Hàm số nào sau đây có ba tính chất?
(1) Tập xác định của hàm số là .
(2) Hàm số đồng biến trên .
(3) ;
A. . B. . C. . D. .
Hướng dẫn giải
Chọn A
Tính chất hàm số mũ. Chọn A.
Câu 35: Hàm số nào sau đây có ba tính chất?
(1) Tập xác định của hàm số là .
≫ TÀI LIỆU ÔN TẬP THEO CHƯƠNG TRÌNH MỚI Trang 9

HƯỚNG DẪN ÔN TẬP TN.THPT NĂM 2025
(2) Hàm số đồng biến trên .
(3) ;
A. . B. . C. . D. .
Hướng dẫn giải
Chọn C
Tính chất hàm số lôgarit. Chọn C.
Câu 36: Hàm số nào sau đây có ba tính chất?
(1) Tập xác định của hàm số là .
(2) Hàm số nghịch biến trên .
(3) ;
A. . B. . C. . D. .
Hướng dẫn giải
Chọn B
Tính chất hàm số mũ. Chọn A.
Câu 37: Hàm số nào sau đây có bảng biến thiên như hình sau?
A. . B. . C. . D. .
Hướng dẫn giải
Chọn A
Hàm số đồng biến nên . Tập xác định là nên chọn đáp án A.
Câu 38: Hàm số nào sau đây có bảng biến thiên như hình sau?
A. . B. . C. . D. .
≫ TÀI LIỆU ÔN TẬP THEO CHƯƠNG TRÌNH MỚI Trang 10

HƯỚNG DẪN ÔN TẬP TN.THPT NĂM 2025
Hướng dẫn giải
Chọn C
Hàm số đồng biến nên . Tập xác định là nên chọn đáp án C.
Câu 39: Hàm số nào sau đây có bảng biến thiên như hình sau?
A. . B. . C. . D. .
Hướng dẫn giải
Chọn B
Hàm số nghịch biến nên . Tập xác định là nên chọn đáp án B.
Câu 40: Hàm số nào sau đây có bảng biến thiên như hình sau?
A. . B. . C. . D. .
Hướng dẫn giải
Chọn D
Hàm số nghịch biến nên . Tập xác định là nên chọn đáp án D.
DẠNG 3. PHƯƠNG TRÌNH MŨ VÀ PHƯƠNG TRÌNH LÔGARIT
Câu 41: Phương trình có nghiệm là
A. . B. . C. . D. .
Hướng dẫn giải
Chọn D
Phương trình .
Câu 42: Phương trình có nghiệm là
A. . B. . C. . D. .
≫ TÀI LIỆU ÔN TẬP THEO CHƯƠNG TRÌNH MỚI Trang 11

HƯỚNG DẪN ÔN TẬP TN.THPT NĂM 2025
Hướng dẫn giải
Chọn A
Phương trình .
Câu 43: Tập hợp tất cả các số thực thỏa mãn phương trình có nghiệm thực là:
A. . B. . C. . D. .
Hướng dẫn giải
Chọn A
Vì tập giá trị của hàm số là .
Câu 44: Tập hợp tất cả các số thực thỏa mãn phương trình có nghiệm thực là:
A. . B. . C. . D. .
Hướng dẫn giải
Chọn A
Vì tập giá trị của hàm số là .
Câu 45: Tập hợp tất cả các số thực thỏa mãn phương trình có nghiệm thực là:
A. . B. . C. . D. .
Hướng dẫn giải
Chọn C
Xét hàm số có .
Cho .
Bảng biến thiên của hàm số :
Từ bảng biến thiên, phương trình có nghiệm thực .
Câu 46: Tập hợp tất cả các số thực thỏa mãn phương trình có nghiệm thực là:
A. . B. . C. . D. .
Hướng dẫn giải
Chọn D
≫ TÀI LIỆU ÔN TẬP THEO CHƯƠNG TRÌNH MỚI Trang 12

HƯỚNG DẪN ÔN TẬP TN.THPT NĂM 2025
Vì tập giá trị của hàm số là .
Câu 47: Cho là những số dương khác . Khi đó khi và chỉ khi
A. . B. . C. . D. .
Hướng dẫn giải
Chọn B
Phương trình .
DẠNG 4: BẤT PHƯƠNG TRÌNH MŨ VÀ BẤT PHƯƠNG TRÌNH LÔGARIT
Câu 48: Tập nghiệm của bất phương trình
A. . B. . C. . D. .
Hướng dẫn giải
Chọn A
Bất phương trình .
Câu 49: Tập nghiệm của bất phương trình
A. . B. . C. . D. .
Hướng dẫn giải
Chọn C
Bất phương trình .
Câu 50: Tập nghiệm của bất phương trình
A. . B. . C. . D. .
Hướng dẫn giải
Chọn C
Bất phương trình .
DẠNG 4: BPT MŨ VÀ BPT LÔGA RIT
Câu 51. Tập nghiệm của bất phương trình là
A. . B. .
C. . D. .
Lời giải
Chọn A
Ta có: .
Vậy
Câu 52. Tập nghiệm của bất phương trình là
A. . B. . C. . D. .
≫ TÀI LIỆU ÔN TẬP THEO CHƯƠNG TRÌNH MỚI Trang 13

HƯỚNG DẪN ÔN TẬP TN.THPT NĂM 2025
Lời giải
Chọn A
Ta có: .
Vậy .
Câu 53. Tập nghiệm của bất phương trình là
A. . B. . C. . D. .
Lời giải
Chọn D
Ta có: .
Vậy .
Câu 54. Tập nghiệm của bất phương trình là
A. . B. . C. . D. .
Lời giải
Chọn C
Ta có: .
Vậy .
Câu 55. Tập hợp tất cả các số thực thỏa mãn bất phương trình có nghiệm thực là
A. . B. . C. . D. .
Lời giải
Chọn A
Bất phương trình có nghiệm thực với .
Câu 56. Tập hợp tất cả các số thực thỏa mãn bất phương trình có nghiệm thực là
A. . B. . C. . D. .
Lời giải
Chọn D
Vì nên bất phương trình có nghiệm thực .
Câu 57. Tập hợp tất cả các số thực thỏa mãn bất phương trình có nghiệm thực là
A. . B. . C. . D. .
Lời giải
Chọn A
Vì hàm số có tập giá trị là nên bất phương trình có nghiệm thực với
.
Câu 58. Tập hợp tất cả các số thực thỏa mãn bất phương trình có nghiệm thực là
A. . B. . C. . D. .
Lời giải
Chọn A
≫ TÀI LIỆU ÔN TẬP THEO CHƯƠNG TRÌNH MỚI Trang 14

HƯỚNG DẪN ÔN TẬP TN.THPT NĂM 2025
Vì hàm số có tập giá trị là nên bất phương trình có nghiệm thực với
.
≫ TÀI LIỆU ÔN TẬP THEO CHƯƠNG TRÌNH MỚI Trang 15

HƯỚNG DẪN ÔN TẬP TN.THPT NĂM 2025
PHẦN II. Câu trắc nghiệm đúng sai. Trong mỗi ý a), b), c), d) ở mỗi câu, thí sinh chọn đúng hoặc sai.
Câu 59. Cho số tự nhiên lớn hơn 1 và số thực .
a) Nếu thì có đúng một căn bậc với mọi nguyên dương.
b) Nếu lẻ thì luôn có đúng một căn bậc với mọi số thực .
c) Nếu chẵn thì không có căn bậc với mọi số thực âm .
d) Nếu chẵn thì mọi số dương luôn có hai căn bậc là hai số đối nhau.
Lời giải
ý a b c d
Trả lời Sai Đúng Đúng Đúng
a) Nếu thì có đúng một căn bậc khi lẻ và có hai căn bậc là hai số đối nhau khi
chẵn. Do đó mệnh đề sai.
b) Vì mọi số thực đều có duy nhất một căn bậc lẻ. Do đó mệnh đề Đúng.
c) Vì số thực âm không có căn bậc chẵn. Do đó mệnh đề Đúng.
d) Vì mọi số thực dương đều có hai căn bậc chẵn là hai số đối nhau. Do đó mệnh đề Đúng.
Câu 60. Cho hàm số .
a) Tập xác định của hàm số là .
b) Tập giá trị của hàm số là .
c) Hàm số đã cho nghịch biến trên tập xác định.
d) Hàm số đã cho có đồ thị như hình bên.
Lời giải
ý a b c d
Trả lời Đúng Đúng Đúng Sai
a) Hàm số mũ có tập xác định . Do đó mệnh đề Đúng.
b) Hàm số mũ có tập giá trị . Do đó mệnh đề Đúng.
c) Vì cơ số nên hàm số nghịch biến trên tập xác định.
Do đó mệnh đề Đúng.
d) Đồ thị của hàm số nằm hoàn toàn phía trên trục hoành .
Do đó mệnh đề sai.
≫ TÀI LIỆU ÔN TẬP THEO CHƯƠNG TRÌNH MỚI Trang 16

HƯỚNG DẪN ÔN TẬP TN.THPT NĂM 2025
Câu 61. Cho hàm số .
a) Tập xác định của hàm số là .
b) Tập giá trị của hàm số là .
c) Hàm số đã cho đồng biến trên tập xác định.
d) Hàm số đã cho có đồ thị như hình bên.
Lời giải
ý a b c d
Trả lời Sai Đúng Đúng Đúng
a) Hàm số có tập xác định . Do đó mệnh đề Sai.
b) Hàm số có tập giá trị . Do đó mệnh đề Đúng.
c) Vì cơ số nên hàm số đồng biến trên tập xác định.
Do đó mệnh đề Đúng.
d) Hình vẽ đã cho là đồ thị của hàm số . Do đó mệnh đề Đúng.
PHẦN II. Câu trắc nghiệm đúng sai. Trong mỗi ý a), b), c), d) ở mỗi câu, thí sinh chọn đúng hoặc sai.
Câu 62. Cho hàm số .
a) Tập xác định của hàm số là .
b) Tập giá trị của hàm số là .
c) Hàm số đã cho đồng biến trên tập xác định.
d) Hàm số đã cho có đồ thị như hình bên.
≫ TÀI LIỆU ÔN TẬP THEO CHƯƠNG TRÌNH MỚI Trang 17

HƯỚNG DẪN ÔN TẬP TN.THPT NĂM 2025
Lời giải
ý a b c d
Trả lời Đúng Đúng Sai Sai
a) Đk nên tập xác định của hàm số là , suy ra a) đúng.
b) Tập giá trị của hàm logarit là , suy ra b) đúng.
c) Do cơ số nên hàm số nghịch biến trên TXĐ, suy ra c) sai.
d) Đồ thị hình bên có hình dáng của hàm số , suy ra d) sai.
Câu 63. Cho hàm số .
a) Tập xác định của hàm số là .
b) Tập giá trị của hàm số là .
c) Hàm số đã cho đồng biến trên tập xác định.
d) Hàm số đã cho có đồ thị như hình bên.
Lời giải
ý a b c d
Trả lời Sai Sai Đúng Đúng
a) Tập xác định của hàm là , suy ra a) sai.
b) Tập giá trị của hàm là , suy ra b) sai.
c) Do cơ số nên hàm số đồng biến trên TXĐ, suy ra c) đúng.
d) Đồ thị qua các điểm và , suy ra d) đúng.
Câu 64. Xét phương trình .
a) Phương trình đã cho tương đương với .
≫ TÀI LIỆU ÔN TẬP THEO CHƯƠNG TRÌNH MỚI Trang 18

HƯỚNG DẪN ÔN TẬP TN.THPT NĂM 2025
b) Phương trình luôn có hai nghiệm trái dấu với mọi số thực .
c) Nếu và thì cả hai biểu thức nhận giá trị âm.
d) Tập hợp các giá trị để phương trình đã cho có nghiệm là .
Lời giải
ý a b c d
Trả lời Đúng Đúng Sai Đúng
a) Bỏ logarit cơ số 2 hai vế và kèm điều kiện xác định, suy ra a) đúng.
b) Phương trình bậc hai có nên luôn có hai nghiệm trái dấu, suy ra b) đúng.
c) Do và nên sẽ nhận giá trị trái dấu, suy ra c) sai.
d) nhận giá trị trái dấu nên chắc chắn sẽ có 1 giá trị hoặc thỏa mãn phương trình, suy ra d) đúng.
Câu 65. Cho hàm số .
a) .
b)
c)
d) Giá trị nhỏ nhất của hàm số trên là .
Lời giải
ý a b c d
Trả lời Sai Đúng Sai Đúng
a) Ta có , suy ra a) sai.
b) , suy ra b) đúng.
≫ TÀI LIỆU ÔN TẬP THEO CHƯƠNG TRÌNH MỚI Trang 19

HƯỚNG DẪN ÔN TẬP TN.THPT NĂM 2025
c) , suy ra c) sai.
d) Giá trị nhỏ nhất của hàm số trên là , suy ra d) đúng.
PHẦN III. Câu trắc nghiệm trả lời ngắn.
Câu 66. Cho thỏa mãn . Biểu thức có giá trị là?
Lời giải
Trả lời:
5
.
Câu 67. Phương trình có bao nhiêu nghiệm thực phân biệt?
Lời giải
Trả lời:
2
Mọi số dương đều có đúng hai căn bậc chẵn.
Câu 68. Phương trình có bao nhiêu nghiệm thực phân biệt?
Lời giải
Trả lời:
1
Mỗi số thực đều có đúng một căn bậc lẻ.
Câu 69. Cho các số dương thỏa mãn . Giá trị của biểu thức là bao nhiêu?
Lời giải
Trả lời:
0
≫ TÀI LIỆU ÔN TẬP THEO CHƯƠNG TRÌNH MỚI Trang 20
Bấm Tải xuống để xem toàn bộ.