Report tài liệu
Chia sẻ tài liệu
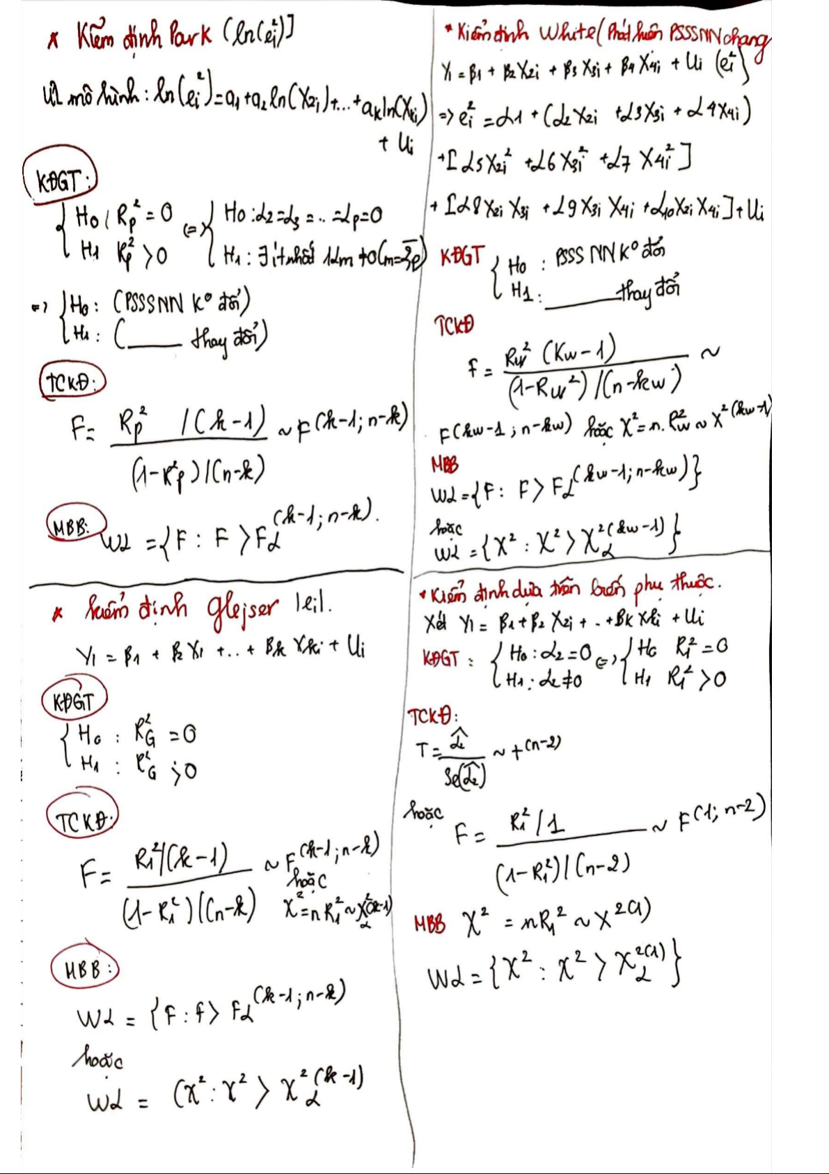
Tổng hợp kiến thức ôn tập | Kinh tế lượng | Học viện Tài chính
Tài liệu được sưu tầm và soạn thảo dưới dạng file PDF với mục đích hỗ trợ học tập và tham khảo. Nội dung tài liệu được trình bày rõ ràng, dễ tiếp cận, phù hợp cho việc ôn tập và củng cố kiến thức trong quá trình học đại học. Đây sẽ là nguồn tư liệu hữu ích giúp các bạn sinh viên chuẩn bị tốt hơn cho các buổi học, đồng thời mở rộng thêm hiểu biết về môn học. Hy vọng tài liệu này sẽ mang lại nhiều giá trị và hỗ trợ các bạn trong hành trình học tập. Mời bạn đọc cùng tham khảo!
Môn: Kinh tế lượng (QEC) 11 tài liệu
Trường: Học viện Tài chính 852 tài liệu
Tác giả:
Tài liệu liên quan:
-
Sách Japanese candlestick charting techniques - Kinh tế đầu tư | Trường Đại học Kiến trúc Hà Nội
10 5 -
Chương 1: Giới thiệu về Khái niệm và Cơ sở lý thuyết | Kinh tế lượng | Học viện Tài chính
46 23 -
Đề thi thử Kinh tế lượng | Kinh tế lượng | Học viện Tài chính
49 25 -
Đề trắc nghiệm môn Kinh tế lượng tài chính tham khảo | Kinh tế lượng | Học viện Tài chính
33 17



