



















Preview text:
lOMoAR cPSD| 58702377 ---- ----
TRƯỜNG ĐẠI HỌC KINH TẾ QUỐC DÂN
BÀI TẬP LỚN KINH TẾ ĐẦU TƯ
Chủ đề: Trình bày một số vấn đề mà các doanh nghiệp khi
đầu tư quốc tế có thể gặp phải. Lồng ghép và phân tích case
study để làm rõ những vấn đề trên và bài học rút ra. Lớp học phần : DTKT 1154(224) _04 Giảng viên : Th s. Đào Minh Hoàng Nhóm số : 1 Thành viên : Nguyễn Xuân Nam Hoàng : Tống Khánh Linh : Trương Quang Dũng : Lữ Anh Thế : Đoàn Văn Dũng
HÀ NỘI, 03 /202 5 lOMoAR cPSD| 58702377 MỤC LỤC
..........................................................................................................................................................1
A. MỞ ĐẦU.....................................................................................................................................3
B. NỘI DUNG.................................................................................................................................4
I. Cơ sở lý luận và các khái niệm liên quan đến doanh nghiệp đầu tư quốc
tế.........................4
1.1. Khái niệm về đầu tư quốc tế...............................................................................................4
1.2. Nguyên nhân các doanh nghiệp cần đầu tư quốc tế.........................................................4
1.3. Các vấn đề doanh nghiệp có thể gặp phải khi đầu tư quốc tế.........................................7
II. Phân tích case study về các vấn đề doanh nghiệp khi đầu tư quốc tế thường gặp phải và
bài học rút ra cho các doanh nghiệp.............................................................................................9
2.1. Vấn đề rủi ro chính trị và pháp lý: “Case Study: McDonald’s rút khỏi Nga (2022)”....9
2.2. Vấn đề rủi ro về nhân lực và khác biệt văn hoá xã hội: “Case study: Apple tại Trung
Quốc”.........................................................................................................................................12
2.3. Vấn đề rủi ro về tài chính: “Case study: Toyota tại Thái Lan năm 1997”.....................14
2.4. Vấn đề cạnh tranh với các doanh nghiệp nội địa: “Case Study: Vinfast tại Hoa Kỳ”..16
2.5. Vấn đề rủi ro về công nghệ: “Case study: Jumia - "Amazon của Châu Phi””.............18
C. KẾT LUẬN..............................................................................................................................21
D. TÀI LIỆU THAM KHẢO.......................................................................................................22 A. MỞ ĐẦU
Trong bối cảnh toàn cầu hóa hiện nay, đầu tư quốc tế không chỉ là một sự lựa chọn mà còn là
một chiến lược quan trọng để các doanh nghiệp phát triển và mở rộng tầm ảnh hưởng. Tuy nhiên,
hành trình vươn ra thị trường quốc tế này không hề dễ dàng. Các doanh nghiệp phải đối mặt với
nhiều thách thức, bao gồm sự khác biệt về văn hóa, pháp lý, kinh tế và rủi ro chính trị. Bài tập
nhóm này sẽ phân tích chi tiết một số vấn đề quan trọng mà các doanh nghiệp thường gặp phải khi
đầu tư quốc tế. Thông qua việc phân tích các ví dụ điển hình, chúng ta sẽ làm rõ những khó khăn
này và rút ra những bài học kinh nghiệm quý báu cho các doanh nghiệp đang và sẽ tham gia vào thị trường toàn cầu.
Thực tế cho thấy, con đường chinh phục thị trường quốc tế đầy thách thức, đòi hỏi các doanh
nghiệp phải có sự chuẩn bị kỹ lưỡng và tầm nhìn chiến lược. Đã có nhiều câu chuyện thành công,
nhưng cũng không ít bài học thất bại. Ví dụ, việc Walmart thất bại tại thị trường Đức cho thấy sự
thiếu hiểu biết về văn hóa địa phương có thể dẫn đến hậu quả nghiêm trọng. Tương tự, các tập đoàn
công nghệ lớn như Google và Facebook cũng gặp phải những rào cản pháp lý và văn hóa khắt khe
khi thâm nhập thị trường Trung Quốc.
Bài tập nhóm này sẽ tập trung vào những vấn đề cốt lõi mà các doanh nghiệp thường gặp phải
khi đầu tư quốc tế, bao gồm: lOMoAR cPSD| 58702377 •
Rủi ro chính trị và pháp lý •
Khác biệt về văn hóa và xã hội •
Rủi ro tài chính và tỷ giá •
Thách thức về nhân lực
Khác biệt về công nghệ •
Cạnh tranh từ doanh nghiệp địa phương •
Vấn đề về môi trường
Thông qua việc phân tích các ví dụ thực tế, chúng ta sẽ làm rõ những khó khăn mà các doanh
nghiệp đã trải qua, đồng thời rút ra những bài học kinh nghiệm quý báu để giúp các doanh nghiệp
Việt Nam tự tin hơn trên con đường hội nhập và chinh phục thị trường quốc tế. B. NỘI DUNG
I. Cơ sở lý luận và các khái niệm liên quan đến doanh nghiệp đầu tư quốc tế
1.1. Khái niệm về đầu tư quốc tế
Cùng với sự phát triển chung của thương mại quốc tế, hoạt động đầu tư quốc tế là dòng chính
trong xu hướng có tính quy luật của liên kết kinh tế toàn cầu. Xuất khẩu hàng hóa và xuất khẩu
lượng tài sản nhất định như vốn, công nghệ, … luôn luôn bổ sung và hỗ trợ cho nhau. Các nhà đầu
tư nước ngoài thực hiện việc xuất khẩu hàng hóa nhằm thâm nhập tìm hiểu thị trường, luật lệ của
nước sở tại để đưa ra các quyết định đầu tư. Đồng thời với xuất khẩu là việc thành lập các doanh
nghiệp đầu tư, liên doanh nhằm xuất khẩu máy móc, thiết bị, vật tư sang nước tiếp nhận đầu tư và
khai thác nguồn nhân lực của nước chủ nhà.
Theo Quỹ Tiền tệ quốc tế (IMF) thì đầu tư quốc tế là “một hoạt động đầu tư xuyên biên giới
được thực hiện nhằm đạt được những lợi ích lâu dài trong một doanh nghiệp hoạt động trên lãnh
thổ của một nền kinh tế khác nền kinh tế nước chủ đầu tư, mục đích của chủ đầu tư là giành quyền
quản lý thực sự doanh nghiệp”. Tổ chức Hợp tác và phát triển kinh tế (OECD) thì cho rằng đầu tư
quốc tế là “việc doanh nghiệp đầu tư của nước chủ đầu tư tìm kiếm được lợi nhuận lâu dài thông
qua hoạt động đầu tư trực tiếp được đặt tại nước được lựa chọn để đầu tư”. Tổ chức Thương mại
thế giới (WTO) thì định nghĩa đầu tư quốc tế xảy ra khi một nhà đầu tư từ một nước (nước chủ đầu
tư) có được một tài sản ở một nước khác (nước thu hút đầu tư) cùng với quyền quản lý tài sản đó.
Luật Đầu tư của Việt Nam ban hành năm 2005 quy định: “Đầu tư nước ngoài là việc nhà đầu tư
nước ngoài đưa vào Việt Nam vốn bằng tiền và các tài sản hợp pháp khác để tiến hành hoạt động
đầu tư tại Việt Nam”, tuy nhiên, Luật Đầu tư năm 2014 đã không còn quy định nội dung này.
Như vậy, có nhiều khái niệm khác nhau về đầu tư quốc tế, nhưng chúng ta có thể rút ra định
nghĩa một cách khái quát về hoạt động này như sau:
Đầu tư quốc tế là việc các nhà đầu tư của một nước (pháp nhân hoặc cá nhân) đưa vốn hoặc
bất kì hình thức giá trị nào sang một nước khác để thực hiện các hoạt động sản xuất kinh doanh
hoặc các hoạt động nhằm thu lợi nhuận hoặc đạt các hiệu quả xã hội. Hay nói cách khác: đó là một lOMoAR cPSD| 58702377
quá trình trong đó có sự di chuyển vốn từ quốc gia này sang quốc gia khác để thực hiện các dự án
đầu tư nhằm đưa lại lợi ích cho các bên tham gia.
1.2. Nguyên nhân các doanh nghiệp cần đầu tư quốc tế
Đầu tư quốc tế là một tất yếu khách quan do sự khác nhau về nhu cầu và khả năng tích lũy vốn
của các quốc gia. Các nguyên nhân của đầu tư quốc tế có thể nhóm thành những vấn đề chính sau:
Mở rộng thị trường
Nhu cầu mở rộng thị trường là động lực hàng đầu thúc đẩy các doanh nghiệp đầu tư quốc tế.
Khi thị trường trong nước bão hòa hoặc có dấu hiệu suy giảm, việc tìm kiếm cơ hội tăng trưởng ở
nước ngoài trở nên cấp thiết. Đầu tư quốc tế cho phép doanh nghiệp tiếp cận một lượng lớn khách
hàng tiềm năng mới, từ đó gia tăng doanh thu và lợi nhuận.
Theo lý thuyết vòng đời sản phẩm quốc tế (International Product Life Cycle) vào những năm
1960 của Raymond Vernon - một giáo sư của Trường Kinh doanh Harvard, khi sản phẩm đạt đến
giai đoạn trưởng thành và bão hòa ở thị trường nội địa, doanh nghiệp sẽ tìm kiếm thị trường mới ở
nước ngoài để kéo dài vòng đời sản phẩm.
Ví dụ, Samsung hiện đang là nhà đầu tư trực tiếp nước ngoài lớn nhất ở Việt Nam với các dự
án lớn tại Bắc Ninh, Thái Nguyên và Thành phố Hồ Chí Minh, với tổng vốn đầu tư lên đến 22,4 tỷ
USD. Năm 2023, doanh thu và xuất khẩu của Samsung đạt tương ứng 65 tỷ USD và 55,7 tỷ USD.
Dự kiến năm 2024 xuất khẩu của Samsung sẽ tăng trưởng hơn 10% so với năm 2023. Sản lượng
sản xuất điện thoại di động của Samsung tại Việt Nam chiếm trên 50% sản lượng của Samsung trên toàn cầu.
Đa dạng hóa rủi ro
Đầu tư quốc tế có thể giúp doanh nghiệp phân tán rủi ro, giảm sự phụ thuộc vào một nền kinh
tế duy nhất. Khi đầu tư vào nhiều thị trường khác nhau, nếu một thị trường gặp khủng hoảng, các
thị trường khác vẫn có thể bù đắp được sự thiệt hại đó.
Lý thuyết danh mục1(Portfolio) - phát triển bởi Harry Markowitz vào năm 1952 trong lĩnh vực
đầu tư quốc tế cho thấy việc đa dạng hóa đầu tư vào nhiều quốc gia giúp giảm rủi ro phi hệ thống,
là một phương pháp toán học giúp nhà đầu tư lựa chọn và quản lý các danh mục đầu tư để tối ưu
hóa lợi nhuận và giảm thiểu rủi ro.
Ví dụ, một công ty đa quốc gia có thể đầu tư vào cả thị trường Mỹ, châu Âu và châu Á. Nếu
kinh tế Mỹ suy thoái, các thị trường khác vẫn có thể mang lại lợi nhuận.
1 Lê Trương Niệm (Trường Đại học Công nghiệp Thực phẩm Tp.HCM), Ứng dụng Lý thuyết Danh mục giải thich đa
dạng hoá công ty tại Việt Nam, Tạp chí Quản lý và Kinh tế quốc tế, số 137 (05, 2021). Kết quả nghiên cứu cho thấy
Lý thuyết Danh mục có thể được ứng dụng để giải thích sự đa dạng hóa công ty trong trường hợp công ty đa dạng hóa
khu vực địa lý, cả trong bối cảnh đầu tư quốc tế. Bằng cách phân tán rủi ro và tận dụng cơ hội tăng trưởng, đa dạng
hóa giúp tối ưu hóa hiệu quả hoạt động và giảm thiểu rủi ro cho cả công ty và nhà đầu tư. lOMoAR cPSD| 58702377
Tiếp cận nguồn lực, tối ưu hóa chi phí sản xuất
Đầu tư quốc tế có thể giúp doanh nghiệp tiếp cận các nguồn lực mà trong nước không có hoặc
có chi phí cao. Đó có thể là nguồn nguyên liệu thô, lao động giá rẻ, công nghệ tiên tiến hoặc nguồn vốn dồi dào.
Lý thuyết lợi thế so sánh (Comparative Advantage) của David Ricardo - đại biểu xuất sắc của
kinh tế chính trị tư sản cổ điển Anh, cho thấy mỗi quốc gia có lợi thế riêng về nguồn lực và chi phí
sản xuất. Doanh nghiệp có thể tận dụng lợi thế này bằng cách đầu tư vào các quốc gia có nguồn lực phù hợp.
Ví dụ, theo báo cáo của Chương trình Môi trường Liên hợp quốc (UNEP) tháng 3/2023; vì để
giữ chi phí sản xuất ở mức thấp2, các sản phẩm thời trang nhanh thường được làm từ chất liệu
polyester - một loại sợi tổng hợp rẻ mất khoảng 200 năm để phân hủy và phụ thuộc rất nhiều vào
nguồn lao động giá rẻ. Theo số liệu từ Đại học George Washington3 (Mỹ), hiện có khoảng 75 triệu
công nhân may mặc trên khắp thế giới nhưng chỉ 2% trong số đó có mức lương đủ sống. Các công
ty may mặc có xu hướng chuyển nhà máy sản xuất sang các quốc gia như Ấn Độ, Bangladesh và
Pakistan vì nguồn lao động rẻ và dồi dào.
Nâng cao lợi thế cạnh tranh, xây dựng thương hiệu toàn cầu
Đầu tư quốc tế giúp doanh nghiệp xây dựng thương hiệu toàn cầu, nâng cao vị thế cạnh tranh
trên thị trường quốc tế. Việc có mặt ở nhiều thị trường giúp doanh nghiệp tiếp cận công nghệ mới,
học hỏi kinh nghiệm quản lý tiên tiến và xây dựng mạng lưới đối tác rộng khắp.
Theo Michael Porter - một doanh nhân người Mỹ và là giáo sư tại Trường Kinh doanh Harvard,
cha đẻ của học thuyết Chiến lược cạnh tranh (Competitive Strategy), để đạt được lợi thế cạnh tranh
bền vững, doanh nghiệp cần xây dựng lợi thế chi phí thấp hoặc lợi thế khác biệt hóa. Đầu tư quốc
tế có thể giúp doanh nghiệp đạt được cả hai lợi thế này.
Ví dụ, theo báo cáo năm 2023 của Kantar Worldpanel4, Coca-Cola là thương hiệu đồ uống phổ
biến nhất tại Việt Nam, được lựa chọn nhiều nhất ở cả khu vực Thành thị 4 và Nông thôn, đạt được
thành tích đáng chú ý khi thu hút được hơn 1 triệu hộ gia đình mua hàng mới. CocaCola đã duy trì
vị trí của mình là một trong những thương hiệu nước giải khát hàng đầu tại Việt Nam nhờ khả năng
xây dựng hình ảnh thương hiệu tích cực cho mỗi phân khúc và các chiến lược marketing đánh vào tâm lý khách hàng.
2 Sustainability and Circularity in the Text tile Value Chain (2023), UNEP,
https://www.oneplanetnetwork.org/sites/default/files/2023-10/Full%20Report%20-%20UNEP%20Sustainability
3 Nhật Trịnh (2023), Công nghiệp thời trang nhanh và những ảnh hưởng đến môi trường, Tạp chí Điện tử Môi
trường & Cuộc sống, https://moitruong.net.vn/cong-nghiep-thoi-trang-nhanh-va-nhung-anh-huong-den-moi-
truong68509.html truy cập lần cuối ngày 19.03.25.
4 Reveal Vietnam's most chosen FMCG brands 2023, Kantar Worldpanel VietNam,
https://www.kantarworldpanel.com/vn/news/vietnam-brand-footprint-2023 truy cập lần cuối ngày 19.03.25. lOMoAR cPSD| 58702377
%20and%20Circularity%20in%20the%20Textile%20Value%20Chain%20A%20Global%20Roadmap.pdf truy cập lần cuối 19.03.25.
Bảng 1: Báo cáo thị phần các hãng nước ngọt năm 2023 của Kantar Worldpanel tại Việt Nam
1.3. Các vấn đề doanh nghiệp có thể gặp phải khi đầu tư quốc tế
Đầu tư quốc tế mở ra cánh cửa tăng trưởng và phát triển cho các doanh nghiệp, nhưng đồng
thời cũng đặt ra nhiều thách thức và rủi ro. Các doanh nghiệp khi bước chân ra thị trường quốc tế
phải đối mặt với một môi trường kinh doanh phức tạp và đa dạng, đòi hỏi sự chuẩn bị kỹ lưỡng và
khả năng thích ứng linh hoạt. Dưới đây là một số vấn đề chính mà doanh nghiệp có thể gặp phải khi đầu tư quốc tế.
Rủi ro chính trị và pháp lý
Về rủi ro chính trị, sự bất ổn định là yếu tố hàng đầu. Thay đổi chính phủ đột ngột, đảo chính
quân sự, xung đột vũ trang hoặc các cuộc biểu tình quy mô lớn đều có thể làm gián đoạn hoặc thậm
chí chấm dứt hoạt động kinh doanh. Các chính sách của chính phủ, từ thuế quan, quy định về môi
trường, đến luật lao động, có thể thay đổi bất ngờ, tạo ra những chi phí phát sinh hoặc hạn chế khả
năng sinh lời. Nguy cơ quốc hữu hóa, mặc dù hiếm gặp, vẫn luôn tiềm ẩn, đặc biệt ở các quốc gia
có lịch sử can thiệp mạnh mẽ vào nền kinh tế. Xung đột chính trị và ngoại giao giữa quốc gia sở
tại của doanh nghiệp và quốc gia đầu tư có thể dẫn đến các biện pháp trừng phạt, hạn chế thương
mại, hoặc tệ hơn là tịch thu tài sản. Ngoài ra, các hành động khủng bố, dù không thường xuyên,
cũng là một mối đe dọa không thể bỏ qua, đặc biệt đối với các doanh nghiệp hoạt động trong các
ngành nhạy cảm hoặc tại các khu vực bất ổn.
Về rủi ro pháp lý, sự không chắc chắn và thiếu minh bạch là những thách thức lớn. Hệ thống
pháp luật không ổn định, thường xuyên thay đổi hoặc không được thực thi một cách nhất quán,
khiến doanh nghiệp khó lòng dự đoán và tuân thủ. Tranh chấp hợp đồng với các đối tác địa phương
có thể kéo dài và tốn kém, do sự khác biệt về luật lệ, văn hóa và ngôn ngữ. Việc bảo vệ quyền sở lOMoAR cPSD| 58702377
hữu trí tuệ, đặc biệt là ở các quốc gia có luật pháp lỏng lẻo, đòi hỏi các biện pháp phòng ngừa
nghiêm ngặt. Luật lao động và môi trường, vốn khác biệt đáng kể giữa các quốc gia, cũng đặt ra
những yêu cầu khắt khe về tuân thủ và trách nhiệm xã hội.
Để giảm thiểu những rủi ro này, doanh nghiệp cần tiến hành nghiên cứu kỹ lưỡng về môi
trường chính trị và pháp lý của quốc gia đầu tư, xây dựng mối quan hệ chặt chẽ với các cơ quan
chính phủ và đối tác địa phương, mua bảo hiểm rủi ro chính trị và pháp lý, sử dụng các điều khoản
hợp đồng rõ ràng và chi tiết, đồng thời đa dạng hóa danh mục đầu tư để giảm thiểu rủi ro tập trung.
Việc chủ động đánh giá và quản trị rủi ro một cách toàn diện là yếu tố then chốt để đảm bảo sự
thành công và bền vững của các hoạt động đầu tư quốc tế.
Khác biệt về văn hóa và xã hội
Lý thuyết Chiều văn hoá năm 1980 của Geert Hofstede - nhà Tâm lý học xã hội người Hà Lan,
cho thấy các quốc gia có sự khác biệt về văn hóa trên nhiều khía cạnh như quyền lực, chủ nghĩa cá
nhân, nam tính, sự né tránh rủi ro, ...
Rào cản ngôn ngữ là một trong những khó khăn đầu tiên, không chỉ giới hạn ở việc dịch thuật,
mà còn bao gồm sự khác biệt trong cách diễn đạt và ngôn ngữ cơ thể, có thể dẫn đến hiểu lầm và xung đột.
Hơn nữa, sự khác biệt về giá trị và niềm tin ảnh hưởng đến cách thức kinh doanh, quản lý nhân
sự và tương tác với khách hàng, đòi hỏi doanh nghiệp phải thích nghi và tôn trọng các giá trị địa phương.
Tập quán kinh doanh cũng khác nhau, từ cách thức đàm phán đến quy trình ra quyết định, đòi
hỏi doanh nghiệp phải tìm hiểu kỹ lưỡng để tránh những sai lầm không đáng có.
Cuối cùng, sự khác biệt về văn hóa tiêu dùng đòi hỏi doanh nghiệp phải nghiên cứu thị trường
kỹ lưỡng để hiểu rõ nhu cầu và sở thích của khách hàng địa phương, từ đó điều chỉnh sản phẩm và dịch vụ cho phù hợp.
Để vượt qua những khó khăn này, doanh nghiệp cần đầu tư vào việc nghiên cứu văn hóa, tuyển
dụng nhân sự địa phương, xây dựng mối quan hệ đối tác, và điều chỉnh chiến lược kinh doanh một cách linh hoạt.
Rủi ro tài chính và tỷ giá
Rủi ro tỷ giá hối đoái, bao gồm rủi ro giao dịch, chuyển đổi và kinh tế, có thể làm biến động
giá trị của các giao dịch, báo cáo tài chính và khả năng cạnh tranh của doanh nghiệp. Bên cạnh đó,
các rủi ro tài chính khác như lạm phát, lãi suất, chính trị và kinh tế, tín dụng và chuyển giao vốn
cũng có thể gây ra những thách thức lớn. lOMoAR cPSD| 58702377
Lý thuyết ngang bằng lãi suất5 (Interest Rate Parity) cho thấy sự chênh lệch lãi suất giữa các
quốc gia có thể dẫn đến biến động tỷ giá hối đoái. Doanh nghiệp cần có các biện pháp phòng ngừa
rủi ro tỷ giá như sử dụng các công cụ tài chính phái sinh hoặc đa dạng hóa nguồn ngoại tệ.
Để giảm thiểu những rủi ro này, doanh nghiệp cần xây dựng chiến lược quản lý rủi ro tỷ giá
hiệu quả, theo dõi chặt chẽ tình hình kinh tế và chính trị, đa dạng hóa hoạt động kinh doanh, sử
dụng các công cụ tài chính phái sinh và thực hiện thẩm định tài chính kỹ lưỡng trước khi đầu tư.
Thách thức về nhân lực
Việc tìm kiếm và tuyển dụng nhân tài địa phương, người có chuyên môn và hiểu biết văn hóa,
là một khó khăn đáng kể. Quản lý sự khác biệt văn hóa đòi hỏi doanh nghiệp phải xây dựng môi
trường làm việc đa dạng và tôn trọng. Đào tạo và phát triển nhân viên để đáp ứng yêu cầu công
việc và thích nghi với môi trường mới cũng là một thách thức. Quản lý nhân viên quốc tế, đặc biệt
là những người làm việc dài hạn ở nước ngoài, cần chính sách và quy trình phù hợp. Vấn đề luật
lao động địa phương và sự thiếu hụt nhân tài có kỹ năng chuyên môn có thể cũng là những rào cản.
Để vượt qua những thách thức này, doanh nghiệp cần xây dựng chiến lược nhân sự quốc tế
hiệu quả, đầu tư vào nghiên cứu thị trường lao động, hợp tác với công ty tuyển dụng địa phương,
tạo môi trường làm việc hấp dẫn và đầu tư vào đào tạo nhân viên.
Khác biệt về công nghệ
Khoảng cách công nghệ giữa các quốc gia có thể gây khó khăn trong việc chuyển giao công
nghệ và tạo ra sự cạnh tranh không cân bằng. Sự khác biệt về tiêu chuẩn kỹ thuật đòi hỏi doanh
nghiệp phải điều chỉnh sản phẩm và dịch vụ cho phù hợp với thị trường địa phương. Bảo vệ quyền
sở hữu trí tuệ trở nên phức tạp hơn ở một số quốc gia, đòi hỏi doanh nghiệp phải có biện pháp bảo
vệ hiệu quả. Khả năng tiếp cận cơ sở hạ tầng công nghệ và sự thích ứng với công nghệ địa phương
cũng là những yếu tố cần được xem xét kỹ lưỡng.
Để vượt qua những thách thức này, doanh nghiệp cần lựa chọn công nghệ phù hợp với điều
kiện kinh tế, xã hội và trình độ phát triển của quốc gia mục tiêu. Họ cũng cần đảm bảo rằng công
nghệ được chuyển giao và sử dụng hiệu quả. Các doanh nghiệp cần có chiến lược chuyển giao công
nghệ phù hợp để đảm bảo rằng công nghệ được tiếp nhận và sử dụng hiệu quả.
Cạnh tranh từ doanh nghiệp nội địa
Các doanh nghiệp nội địa thường có lợi thế về hiểu biết thị trường, văn hóa và mối quan hệ
với chính quyền địa phương.
Lý thuyết lợi thế cạnh tranh quốc gia (National Competitive Advantage) vào những năm 1990
của Michael Porter cho thấy các quốc gia có lợi thế cạnh tranh khác nhau trong các ngành công
nghiệp khác nhau. Mục đích của lí thuyết này là giải thích tại sao một số quốc gia lại có được vị trí
dẫn đầu trong việc sản xuất một số sản phẩm, hay nói cách khác đi tại sao lại có những quốc gia có
5 Lí thuyết ngang bằng lãi suất (IRP) là một lí thuyết trong đó chênh lệch lãi suất giữa hai quốc gia bằng với chênh
lệch giữa tỉ giá hối đoái kì hạn và tỉ giá giao ngay. Lí thuyết ngang bằng lãi suất đóng một vai trò thiết yếu trong thị
trường ngoại hối kết nối lãi suất, tỉ giá giao ngay và tỉ giá hối đoái. lOMoAR cPSD| 58702377
lợi thế cạnh tranh về một số sản phẩm. Doanh nghiệp cần phải hiểu rõ lợi thế cạnh tranh của quốc
gia mục tiêu để xây dựng được những chiến lược cạnh tranh phù hợp.
Vấn đề về môi trường
Sự khác biệt về quy định môi trường giữa các quốc gia có thể gây khó khăn cho việc tuân thủ
và đôi khi dẫn đến việc doanh nghiệp tận dụng các quy định lỏng lẻo hơn. Bên cạnh đó, vấn đề
quản lý chất thải và ô nhiễm, cũng như ứng phó với biến đổi khí hậu là những thách thức toàn cầu
mà bất kì doanh nghiệp nào cũng không thể bỏ qua.
Để giải quyết những vấn đề này, doanh nghiệp cần nghiên cứu kỹ lưỡng quy định địa phương,
thực hiện đánh giá tác động môi trường, xây dựng hệ thống quản lý môi trường hiệu quả, hợp tác
với các tổ chức môi trường và thực hiện các hoạt động kinh doanh bền vững. Các doanh nghiệp
cần tuân thủ các quy định về bảo vệ môi trường của quốc gia mục tiêu và thực hiện các hoạt động
kinh doanh có trách nhiệm với môi trường.
II. Phân tích case study về các vấn đề doanh nghiệp khi đầu tư quốc tế thường gặp phải và
bài học rút ra cho các doanh nghiệp
2.1. Vấn đề rủi ro chính trị và pháp lý: “Case Study: McDonald’s rút khỏi Nga (2022)”
Tóm tắt case study
Giới thiệu về McDonald's: McDonald's là một thương hiệu fast food toàn cầu nổi tiếng với
khoai tây chiên, hamburger, milkshake và các món ăn nhanh khác. Với hơn 30.000 nhà hàng trên
199 quốc gia, McDonald's đã có mặt tại Nga suốt 32 năm, kể từ khi mở cửa hàng đầu tiên tại
Moscow. McDonald's không chỉ đơn thuần là một chuỗi cửa hàng fast food mà còn là biểu tượng
của sự hiện diện phương Tây tại Nga. Việc mở cửa hàng đầu tiên đã mang lại sự đổi mới về văn
hóa, đặc biệt là việc thuê nhân viên chỉ để cười, điều này khác biệt so với văn hóa Xô Viết. Darra
Goldstein, một chuyên gia về Nga tại Đại học Williams, nhận xét rằng sự xuất hiện của McDonald's
ở Moscow không chỉ là về Big Macs và khoai tây chiên. Đó còn là một ví dụ nổi bật về nỗ lực của
Tổng thống Liên Xô Mikhail Gorbechev trong việc mở cửa đất nước Nga ra thế giới bên ngoài.
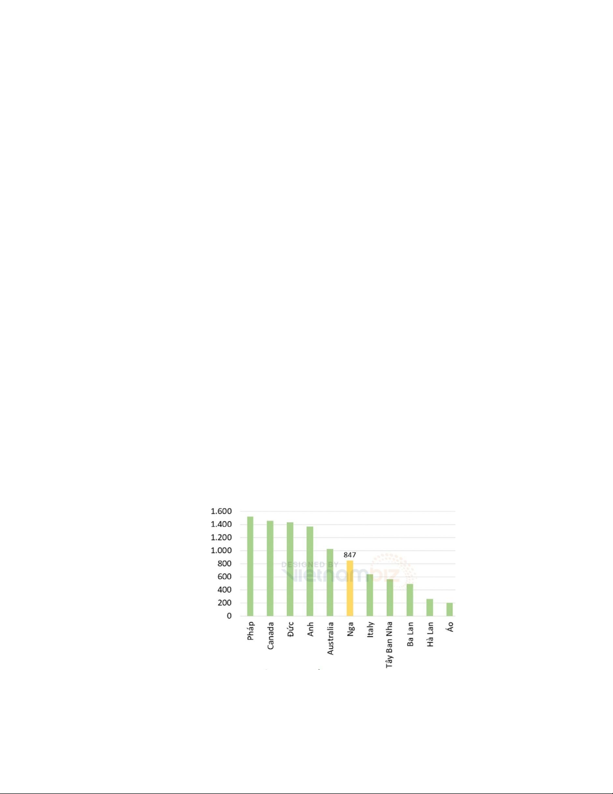
Bảng 2: Thống kê các thị trường quốc tế lớn nhất về số lượng cửa hàng của McDonald’s
bởi Bloomberg, Statista (2022) lOMoAR cPSD| 58702377
Bối cảnh: McDonald's đã tuyên bố rằng họ sẽ bán lại phần kinh doanh của mình tại Nga và
loại bỏ các yếu tố thương hiệu quen thuộc như tên thương hiệu, logo và thực đơn độc quyền của
McDonald's. Quyết định này đến sau cuộc khủng hoảng nhân đạo do cuộc xung đột ở Ukraine,
khiến phương Tây áp đặt các biện pháp trừng phạt kinh tế lên Nga. Môi trường kinh doanh không
ổn định đã khiến McDonald's không thể tiếp tục hoạt động tại Nga, vì không nhất quán với giá trị
kinh doanh của họ. Tháng 3/2022, McDonald's đã tuyên bố tạm ngừng hoạt động tại Nga và từ
ngày 16/05/2022, họ đã bắt đầu quá trình bán tài sản của mình tại đất nước này.
Kết quả: Tháng 5/2022, McDonald’s chính thức bán toàn bộ chuỗi cửa hàng của mình tại Nga
cho doanh nhân địa phương, chịu lỗ 127 triệu USD, trong đó gần 27 triệu USD đến từ chi phí nhân
viên, thanh toán tiền thuê mặt bằng và vật tư, 100 triệu USD khác chi phí cho thực phẩm và các mặt hàng khác.
Phân tích nguyên nhân rủi ro chính trị & pháp lý
Lệnh trừng phạt kinh tế & áp lực từ chính phủ phương Tây: Khi chiến tranh Nga – Ukraine
bùng nổ vào tháng 2 năm 2022; Mỹ, EU và các nước đồng minh áp đặt các lệnh trừng phạt kinh tế
nặng nề lên Nga, nhằm gây áp lực buộc Nga phải chấm dứt hành động quân sự ... Theo Tổng thống
Nga Vladimir Putin, có tổng cộng 28.5956 lệnh trừng phạt đã được áp dụng đối với các công ty và
cá nhân Nga trong những năm gần đây, nhiều hơn tất cả các lệnh trừng phạt nhằm vào các quốc gia
khác cộng lại. Các lệnh trừng phạt gây gián đoạn chuỗi cung ứng, khiến việc nhập khẩu nguyên
liệu và duy trì hoạt động kinh doanh trở nên khó khăn. Các công ty phương Tây, đặc biệt là những
thương hiệu lớn như McDonald’s, chịu áp lực từ chính phủ và dư luận phải rút khỏi thị trường Nga
=> Tác động: McDonald’s buộc phải đóng cửa hơn 850 cửa hàng tại Nga, mất đi một thị
trường quan trọng mà họ đã hoạt động từ năm 1990. Từ khi xảy ra xung đột, cổ phiếu của
McDonald's đã giảm mạnh, giảm xuống mức thấp nhất 222 đô la mỗi cổ phiếu vào ngày 10 tháng
3 sau khi công ty công bố rút lui khỏi Nga.
6 Minh Hạnh (2025), Tổng thống Putin: Phương Tây dùng lệnh trừng phạt để gây 'áp lực chiến lược' lên Nga, Nhật
báo Tiên Phong – Cơ quan Trung ương của đoàn TNCS HCM, https://tienphong.vn/tong-thong-putin-phuong-
taydung-lenh-trung-phat-de-gay-ap-luc-chien-luoc-len-nga-post1726111.tpo truy cập lần cuối ngày 19.03.25. lOMoAR cPSD| 58702377
Bảng 3: Thống kê giá cổ phiếu McDonald’s trong năm 2022 bởi TradingView.com
Rủi ro pháp lý tại Nga: Chính phủ Nga có các động thái nhằm bảo vệ nền kinh tế nội địa, bao
gồm việc cho phép tịch thu và tiếp quản tài sản của các công ty nước ngoài rời đi. Để tránh bị quốc
hữu hóa hoặc chịu tổn thất lớn hơn, McDonald’s chủ động bán lại toàn bộ chuỗi cửa hàng cho
doanh nhân Nga Alexander Govor. Logo của thương hiệu McDonald mới cũng được thay đổi, từ
biểu tượng chữ M quen thuộc thành biểu tượng hình tròn đỏ với hai đường chéo song song màu da
cam, tượng trưng cho chiếc bánh hamburger và khoai tây chiên quen thuộc.
=> Tác động: Chuỗi cửa hàng này được đổi tên thành "Vkusno & Tochka" dịch ra là “Ngon!
Thế thôi”7 ra mắt 12/06/2022 với thực đơn gần như giữ nguyên, giá rẻ hơn thị trường nhưng không
còn thương hiệu McDonald’s.
Tác động & tổn thất đối với McDonald's
Thiệt hại tài chính: McDonald's ghi nhận khoản lỗ hơn 1,2 tỷ USD do phải đóng cửa toàn bộ hoạt động tại Nga.
Mất thị phần: Cùng với 108 cửa hàng ở Ukraine, doanh thu từ hoạt động kinh doanh tại Nga
và Ukraine chiếm khoảng 9% tổng doanh thu năm 2021 của McDonald's. Sự ra đi này ảnh hưởng
đáng kể đến tăng trưởng doanh thu.
7 TTXVN (2022), "McDonald's rời nước Nga, 'Ngon, thế thôi!' xuất hiện, Báo Tuổi trẻ Online,
https://tuoitre.vn/mcdonalds-roi-nuoc-nga-ngon-the-thoi-xuat-hien-20220612174216107.htm truy cập lần cuối ngày 19.03.25. lOMoAR cPSD| 58702377
Mất thương hiệu & ảnh hưởng đến chuỗi cung ứng: Việc bán lại cho doanh nhân Nga giúp hệ
thống cửa hàng tiếp tục hoạt động, nhưng McDonald's không còn kiểm soát thương hiệu tại thị
trường này nữa. Tuy nhiên, ngay cả khi Vkusno—i Tochka thay thế McDonald’s thì họ vẫn phải
bám víu vào danh tiếng của đế chế cũ với khẩu hiệu: “Đổi tên, không đổi hương vị” để không làm
mất đi nguồn khách hàng cũ.
Bài học rút ra cho các doanh nghiệp
Xây dựng chiến lược rút lui rõ ràng và linh hoạt: McDonald's đã lựa chọn bán lại tài sản cho
một doanh nhân địa phương thay vì để tài sản bị chính phủ Nga tịch thu hoặc kiểm soát. Điều này
cho thấy tầm quan trọng của việc có một chiến lược rút lui được chuẩn bị kỹ lưỡng. Sự linh hoạt
trong chiến lược là rất quan trọng để có thể thích ứng với các tình huống thay đổi nhanh chóng.
Đánh giá và quản trị rủi ro chính trị một cách toàn diện: McDonald's đã hoạt động tại Nga
hơn 30 năm, nhưng một cuộc khủng hoảng chính trị đã buộc họ phải rời đi trong một thời gian
ngắn. Điều này nhấn mạnh rằng rủi ro chính trị có thể xuất hiện bất ngờ và gây ra những hậu quả
nghiêm trọng. Doanh nghiệp cần tiến hành đánh giá rủi ro chính trị một cách kỹ lưỡng trước khi
đầu tư vào một quốc gia, bao gồm việc phân tích sự ổn định của chính phủ, các mối quan hệ quốc
tế, các quy định pháp luật liên quan đến đầu tư nước ngoài, và các yếu tố xã hội có thể gây bất ổn.
Việc theo dõi sát sao tình hình chính trị và các thay đổi trong chính sách của chính phủ sở tại là rất
quan trọng. Đồng thời, doanh nghiệp cần xây dựng các kế hoạch dự phòng để giảm thiểu tác động
tiêu cực của các rủi ro chính trị.
Đa dạng hóa thị trường và chuỗi cung ứng: Sau khi rút khỏi Nga, McDonald's đã tập trung
vào việc mở rộng sang các thị trường khác để bù đắp tổn thất, đặc biệt là các thị trường ở châu Á
và Trung Đông.Việc đa dạng hóa thị trường giúp doanh nghiệp giảm sự phụ thuộc vào một hoặc
một vài thị trường cụ thể, từ đó giảm thiểu rủi ro khi một thị trường gặp vấn đề. Tương tự, đa dạng
hóa chuỗi cung ứng giúp doanh nghiệp đảm bảo nguồn cung ổn định và giảm thiểu tác động của
các gián đoạn có thể xảy ra ở một khu vực. Các doanh nghiệp nên tích cực tìm kiếm các cơ hội đầu
tư ở các thị trường mới nổi và có tiềm năng tăng trưởng cao, đồng thời xây dựng mối quan hệ với
nhiều nhà cung cấp ở các quốc gia khác nhau.
2.2. Vấn đề rủi ro về nhân lực và khác biệt văn hoá xã hội: “Case study: Apple tại Trung Quốc”
Khó khăn về nguồn nhân lực là một trong những thách thức lớn đối với các doanh nghiệp khi
muốn đầu tư quốc tế. Những khó khăn này ảnh hưởng đến cả quá trình tuyển dụng và quản lý nhân
sự, đồng thời gây ra những vấn đề liên quan đến khác biệt văn hóa.
Khó khăn về nguồn nhân lực trong tuyển dụng: Thiếu hụt lao động có kỹ năng chuyên môn,
chất lượng đào tạo chưa đáp ứng yêu cầu, cạnh tranh gay gắt trong tuyển dụng hay khó khăn trong
việc tìm kiếm lao động có trình độ ngoại ngữ, …
Khác biệt về văn hóa: Khác biệt trong phong cách làm việc, trong các giá trị và quan niệm hay
rào cản về ngôn ngữ, … lOMoAR cPSD| 58702377
Case study: Apple tại Trung Quốc Tóm tắt case study
Giới thiệu về Apple: Apple là một trong các công ty công nghệ lớn nhất trên toàn cầu. Tập
đoàn này được biết đến qua việc tạo ra nhiều thiết bị tiên tiến như iPhone, iPad, MacBook cùng
với loạt phần mềm và dịch vụ khác. Theo báo cáo mới nhất từ Canalys, Apple tiếp tục giữ vững
ngôi vương trên thị trường smartphone toàn cầu trong quý 4/2024, bất chấp sự tăng trưởng chung
của toàn thị trường chậm lại. Ước tính có khoảng 330 triệu smartphone được xuất xưởng trong quý
4/2024, tăng 3% so với quý trước và tăng 7% so với cùng kỳ năm ngoái. Tổng số smartphone xuất
xưởng trong cả năm 2024 đạt 1,22 tỷ chiếc. Apple dẫn đầu thị trường với 23% thị phần.
Bảng 4: Thị phần các hãng smartphone theo thống kê của Canalys từ Q4/2023 đến Q4/2024
Bối cảnh: Vào đầu thế kỷ 21, Apple quyết định gia tăng sản xuất của mình tại Trung Quốc để
giảm chi phí sản xuất và tận dụng nguồn lao động giá rẻ. Trong quá trình mở rộng này, Apple đã
hợp tác chặt chẽ với đối tác Foxconn, một trong những nhà sản xuất linh kiện điện tử lớn nhất của
Trung Quốc, để sản xuất các sản phẩm chủ lực như iPhone, iPad, và MacBook.
Phân tích nguyên nhân các vấn đề nhân lực Apple gặp phải
Chất lượng lao động và điều kiện làm việc: Mặc dù lao động tại Trung Quốc rẻ, nhưng điều
kiện làm việc tại các nhà máy của Foxconn, nơi sản xuất sản phẩm cho Apple, đã gặp phải nhiều
chỉ trích. Các báo cáo về việc làm việc quá giờ, môi trường làm việc khắc nghiệt, và các vụ tự tử
trong các nhà máy Foxconn đã gây ra sự chỉ trích mạnh mẽ từ công chúng và các tổ chức bảo vệ
quyền lao động quốc tế.
Vấn đề văn hóa và giao tiếp: Apple là một công ty Mỹ, trong khi Foxconn và các đối tác sản
xuất khác lại hoạt động trong môi trường văn hóa hoàn toàn khác biệt. Việc thiếu hiểu biết về phong
cách quản lý và văn hóa làm việc đã dẫn đến một số vấn đề trong giao tiếp và quản lý nhân viên.
Các yêu cầu và chỉ đạo từ Apple đôi khi không được truyền đạt hoặc thực hiện hiệu quả. lOMoAR cPSD| 58702377
Vấn đề quản lý chuỗi cung ứng và nhân lực: Với một chuỗi cung ứng toàn cầu khổng lồ, Apple
phải đối mặt với vấn đề quản lý nhân sự và hiệu quả sản xuất ở nhiều quốc gia. Điều này tạo ra sự
phức tạp trong việc duy trì sự nhất quán về chất lượng sản phẩm và hiệu suất làm việc giữa các quốc gia.
Giải pháp của Apple
Apple đã bị buộc phải thực hiện các cải cách trong chính sách lao động của mình. Họ đã hợp
tác với Foxconn để cải thiện điều kiện làm việc, bao gồm việc tăng lương, giảm giờ làm việc và
đảm bảo các quy định về an toàn lao động.
Để giải quyết vấn đề này, Apple đã triển khai các chương trình đào tạo về văn hóa và giao tiếp
cho các nhân viên của mình tại Trung Quốc và các đối tác như Foxconn. Họ cũng đã cử nhiều đội
ngũ giám sát người Mỹ đến Trung Quốc để quản lý trực tiếp các hoạt động sản xuất và đảm bảo
các quy trình được tuân thủ.
Apple đã xây dựng một hệ thống giám sát chặt chẽ đối với các đối tác sản xuất và các nhà máy
tại Trung Quốc. Công ty cũng đầu tư mạnh vào việc phát triển phần mềm và công nghệ quản lý
chuỗi cung ứng để đảm bảo các yếu tố nhân lực và sản xuất luôn đạt tiêu chuẩn cao nhất.
Bài học rút ra cho các doanh nghiệp
Đầu tư vào điều kiện làm việc: Doanh nghiệp khi mở rộng ra quốc tế cần phải đảm bảo điều
kiện làm việc công bằng và an toàn cho người lao động tại các quốc gia sản xuất. Điều này không
chỉ giúp cải thiện năng suất mà còn giảm thiểu rủi ro pháp lý và bảo vệ danh tiếng công ty. Ngoài
ra, doanh nghiệp cũng cần có chính sách đãi ngộ hợp lí dành cho lao động để có thể thu hút và giữ chân lao động.
Hiểu rõ văn hóa địa phương: Nghiên cứu kỹ lưỡng thị trường và văn hóa địa phương là yếu
tố then chốt để thành công khi thâm nhập thị trường quốc tế. Các doanh nghiệp cần phải hiểu và
tôn trọng các yếu tố văn hóa của các quốc gia mà họ đầu tư để đảm bảo giao tiếp và quản lý hiệu
quả, đồng thời tạo ra một môi trường làm việc hòa hợp. Cần có sự linh hoạt và khả năng thích ứng
với những thay đổi của thị trường. Cần tôn trọng và thích nghi với văn hóa địa phương, tránh áp
đặt mô hình kinh doanh từ các thị trường khác.
Quản lý chuỗi cung ứng: Các công ty phải đầu tư vào các công cụ và phần mềm quản lý chuỗi
cung ứng để theo dõi hiệu quả làm việc và năng suất tại các nhà máy sản xuất ở các quốc gia khác nhau.
2.3. Vấn đề rủi ro về tài chính: “Case study: Toyota tại Thái Lan năm 1997”
Rủi ro tài chính là một trong những yếu tố quan trọng nhất ảnh hưởng đến các doanh nghiệp
đầu tư quốc tế. Những biến động về tỷ giá, lạm phát và chính sách tiền tệ có thể tác động mạnh mẽ
đến chi phí đầu tư, lợi nhuận và khả năng cạnh tranh của doanh nghiệp.
Ảnh hưởng của các yếu tố tài chính:
- Biến động tỷ giá lOMoAR cPSD| 58702377 - Lạm phát
- Chính sách tiền tệ
Case study: Toyota tại Thái Lan năm 1997
Về Toyota: Tập đoàn xe hơi Toyota là một nhà sản xuất ô tô đa quốc gia của Nhật Bản có trụ
sở tại Toyota, Aichi, Nhật Bản. Trong năm 2017, cơ cấu doanh nghiệp của Toyota bao gồm 364.445
nhân viên trên toàn thế giới. Tính đến tháng 9 năm 2018, đây là công ty lớn thứ sáu trên thế giới
tính theo doanh thu.Toyota là công ty dẫn đầu thị trường thế giới về doanh số bán xe điện hybrid
và là một trong những công ty lớn nhất khuyến khích áp dụng thị trường xe hybrid trên toàn cầu.
Toyota cũng là công ty dẫn đầu thị trường về xe chạy bằng pin nhiên liệu hydro. Công ty được
thành lập bởi Toyoda Kiichiro vào năm 1937, như một công ty con của công ty Toyota Industries
của cha mình để tạo ra ô tô.
Bối cảnh: Năm 1997, Thái Lan và khu vực Đông Nam Á trải qua cuộc khủng hoảng tài chính
châu Á. Cuộc khủng hoảng này đã gây ra sự mất giá mạnh của đồng baht Thái, khiến cho chi phí
nhập khẩu linh kiện và sản xuất ô tô tăng vọt. Đồng thời, lạm phát tăng cao cũng làm tăng chi phí
sản xuất và chi phí lao động. Những yếu tố này đã làm giảm lợi nhuận của Toyota tại Thái Lan và
gây ra những khó khăn cho hoạt động kinh doanh của công ty.
Kết quả: Trước khủng hoảng, Toyota bán khoảng 200.000 xe/năm tại Thái Lan. Tuy nhiên,
vào năm 1997-1998, doanh số giảm hơn 50% do người dân mất khả năng mua sắm ô tô. Nhiều
khách hàng không thể trả nợ vay mua xe, dẫn đến tình trạng xe bị thu hồi hàng loạt. Toyota buộc
phải cắt giảm sản lượng tại các nhà máy ở Thái Lan do nhu cầu giảm sút. Một số nhà máy hoạt
động dưới công suất, gây ra thiệt hại lớn về chi phí vận hành.
Đồng baht Thái mất giá hơn 50% so với USD, làm cho chi phí nhập khẩu linh kiện và nguyên
vật liệu tăng mạnh. Để đối phó, Toyota buộc phải tăng giá xe, nhưng điều này lại càng làm giảm
sức mua. Toyota và nhiều hãng ô tô khác phải giảm nhân sự hoặc cho công nhân nghỉ tạm thời do
sản xuất bị đình trệ. Hàng nghìn lao động trong ngành công nghiệp ô tô bị ảnh hưởng.
=> Toyota đã phải tái cơ cấu sản xuất, thay đổi các nhà cung cấp, để giảm tối thiểu ảnh hưởng
của khủng hoảng tài chính.
Bài học rút ra cho các doanh nghiệp
Một là, theo dõi chặt chẽ các biến động về tỷ giá, lạm phát và chính sách tiền tệ.
Hai là, sử dụng các công cụ tài chính để phòng ngừa rủi ro, chẳng hạn như hợp đồng kỳ hạn
và hợp đồng hoán đổi.
Ba là, đa dạng hóa các khoản đầu tư và thị trường hoạt động.
Bốn là, xây dựng các kế hoạch tài chính linh hoạt để ứng phó với các biến động bất ngờ.
Bằng cách đó, các doanh nghiệp có thể giảm thiểu tác động tiêu cực của rủi ro tài chính và
đảm bảo sự ổn định và phát triển bền vững. lOMoAR cPSD| 58702377
2.4. Vấn đề cạnh tranh với các doanh nghiệp nội địa: “Case Study: Vinfast tại Hoa Kỳ”
Các doanh nghiệp nội địa luôn có những ưu thế cạnh tranh trước những doanh nghiệp nước ngoài như:
- Lợi thế về hiểu biết thị trường.
- Hỗ trợ từ chính phủ và cộng đồng.
- Mạng lưới quan hệ rộng rãi.
- Linh hoạt trong kinh doanh.
- Tâm lý "chống doanh nghiệp nước ngoài".
Case Study: Vinfast tại Hoa Kỳ Tóm tắt case study
Về Vingroup: Một trong những tập đoàn lớn nhất Việt Nam, đã bước vào lĩnh vực sản xuất ô
tô với thương hiệu VinFast và mở rộng đầu tư quốc tế. Đặc biệt sau khi VinFast ra mắt trên Nasdaq
Global Select Market, chính thức trở thành công ty niêm yết đại chúng có tầm vóc toàn cầu ngày
15/8/2023, Vinfast đã tiến sâu hơn tại thị trường Mỹ và tạo bàn đạp để mở rộng thị trường toàn cầu.
Tuy nhiên, cạnh tranh trong ngành công nghiệp ô tô điện tại Mỹ vô cùng gay gắt. Tesla, Ford, BYD,
... là những cái tên lão làng, đã xây dựng được lòng tin vững chắc từ khách hàng. VinFast sẽ cần
phải chứng minh được chất lượng sản phẩm của mình trước khi có thể hy vọng giành được thị phần.
Bảng 5: Giá cổ phiếu VFS Vinfast trên Nasdaq Global Select Market 15.08.2023.
Về lợi thế của các ông lớn tại thị trường Mỹ:
- Tesla có 17.711 Supercharger, chiếm khoảng 60% tổng số bộ sạc nhanh của nước Mỹ, có
thể tăng thêm hàng trăm km phạm vi lái xe trong một giờ hoặc ít hơn. Ngoài ra còn có gần 10.000
bộ sạc "đích" với phích cắm Tesla có thể sạc lại xe qua đêm. lOMoAR cPSD| 58702377
- Tesla đã cho phép xe điện của các công ty khác sử dụng trụ sạc của hãng ở châu Âu từ nhiều
tháng nay, và giờ đây sẽ áp dụng tương tự ở Mỹ. Đây là một phần trong kế hoạch trị giá 7,5 tỷ USD
của chính quyền Tổng thống Biden nhằm tăng sự lựa chọn sạc xe điện cho người dân Mỹ, từ đó
tăng tỷ lệ sở hữu ô tô điện.
- Tuy nhiên thao tác sạc xe của các hãng khác phức tạp hơn so với các chủ xe Tesla. Họ chỉ
cần dừng xe và cắm sạc. Cổng sạc trên xe thậm chí tự động bật mở khi đến gần trụ sạc Supercharger.
Các chủ xe không phải Tesla có thể thanh toán theo từng lần sạc, hoặc đăng ký thành viên với mức
phí 12,99 USD/tháng (308.000 đồng) để được giảm giá cho mỗi lần sạc. Xe của các hãng khác sẽ
bị tính phí sạc cao hơn xe Tesla.
=> Đây là một khó khăn lớn đối với các hãng khác đặc biệt là cái tên mới như vinfast về mặt
nhận diện thương hiệu, mọi người sẽ nhắc đến tesla đầu tiên khi mua xe.
Các dự án đầu tư tại Mỹ: Vào 7/2023 Vinfast khởi động dự án nhà máy sản xuất xe điện của
đặt tại hạt Chatham, Bắc Carolina. Nhà máy có tổng mức đầu tư giai đoạn 1 là 2 tỷ USD, quy mô
733 ha, gồm 5 phân khu, xưởng sản xuất chính: hàn thân vỏ, lắp ráp, xưởng dập, xưởng sơn và trung tâm năng lượng. Kết quả:
- Doanh thu 2023: Thị trường Mỹ chỉ mang lại doanh thu 159 tỷ đồng cho VinFast trong năm 2023.
- Trong quý 1 2024 doanh số của vinfast chỉ đứng thứ 23 trong các thương hiệu xe điện ở
Mỹ với 927 xe trên tổng số 268.909 xe điện mới được bán ra.
Giải pháp của Vinfast và bài học rút ra
Đối mặt với các thách thức từ các doanh nghiệp nội địa tại Hoa Kỳ, Vinfast đã có những giải pháp sau:
Củng cố thị phần tại Việt Nam trước khi mở rộng ra quốc tế: VinFast có lợi thế về nhận diện
thương hiệu và sự hậu thuẫn mạnh mẽ từ Vingroup tại Việt Nam. Hãng cần tập trung phát triển
mạnh mẽ thị trường nội địa, tạo nền tảng vững chắc trước khi mở rộng quốc tế. Bên cạnh đó, tiếp
tục tối ưu chi phí sản xuất, nâng cao chất lượng sản phẩm để cạnh tranh với xe điện Trung Quốc
đang tràn vào Đông Nam Á.
Đẩy mạnh hệ sinh thái xe điện: Mở rộng mạng lưới trạm sạc nhanh tại Việt Nam để giúp người
tiêu dùng dễ dàng tiếp cận xe điện hơn. Bên cạnh đó, cung cấp các gói ưu đãi hấp dẫn như miễn
phí sạc trong thời gian đầu, hỗ trợ đổi pin, hoặc các chương trình trợ giá.
Tập trung cải thiện chất lượng xe, đặc biệt là khả năng vận hành, độ bền, và công nghệ phần
mềm: để có thể cạnh tranh với các đối thủ lớn như Tesla, BYD. Xây dựng hệ thống chăm sóc khách
hàng tốt hơn, đảm bảo dịch vụ hậu mãi và bảo hành thuận tiện.
Điều chỉnh chiến lược mở rộng quốc tế: Tập trung vào Đông Nam Á thay vì Mỹ. Mặc dù thị
trường Mỹ là mục tiêu lớn, nhưng mức độ cạnh tranh quá khốc liệt, trong khi Đông Nam Á đang lOMoAR cPSD| 58702377
là thị trường tiềm năng với sự phát triển nhanh của xe điện. Tận dụng lợi thế sản xuất xe tại
Indonesia và mở rộng sang các nước lân cận như Thái Lan, Malaysia, Philippines. Bên cạnh đó,
hãng cũng có thể hợp tác với các công ty năng lượng để mở rộng hệ thống trạm sạc tại các thị
trường mục tiêu và kết hợp với các hãng taxi, công ty vận tải để tăng lượng xe điện lưu thông, từ
đó thúc đẩy nhận diện thương hiệu.
Tăng cường năng lực tài chính và tối ưu chi phí: Giảm lỗ, tăng hiệu quả vận hành. Cắt giảm
các khoản đầu tư chưa cần thiết, tối ưu hóa chi phí sản xuất và vận hành để giảm lỗ. Sử dụng vốn
đầu tư hiệu quả hơn, tập trung vào các thị trường có tiềm năng tăng trưởng tốt. Tận dụng sự hỗ trợ
từ Vingroup. Tiếp tục tận dụng nguồn lực tài chính từ Vingroup để vượt qua giai đoạn khó khăn và
đầu tư vào công nghệ lõi. Tận dụng hệ sinh thái của Vingroup (VinHomes, Vincom, Vinpearl…)
để mở rộng kênh phân phối và mạng lưới trạm sạc.
2.5. Vấn đề rủi ro về công nghệ: “Case study: Jumia - "Amazon của Châu Phi””
Sự khác biệt về cơ sở hạ tầng công nghệ ảnh hưởng đến hoạt động đầu tư quốc tế tại các thị trường mới:
- Mức độ phát triển cơ sở hạ tầng công nghệ (internet, điện, viễn thông) không đồng đều giữa các quốc gia.
- Doanh nghiệp có thể gặp khó khăn trong việc triển khai công nghệ, vận hành hệ thống, và
kết nối với đối tác/khách hàng.
Case study: Jumia - "Amazon của Châu Phi" Tóm tắt case study
Giới thiệu về Jumia: Iumia có trụ sở chính tại Nigeria, được mệnh danh là "Amazon của Châu
Phi", là một nền tảng thương mại điện tử hàng đầu hoạt động trên khắp lục địa đen. Công ty cung
cấp một loạt các sản phẩm và dịch vụ, bao gồm hàng điện tử, thời trang, hàng tiêu dùng, thực phẩm
và dịch vụ tài chính. Jumia được thành lập vào năm 2012 với sứ mệnh mang thương mại điện tử
đến với người tiêu dùng Châu Phi, nơi mà cơ sở hạ tầng bán lẻ truyền thống còn hạn chế, là công
ty châu Phi đầu tiên giành được giải thưởng bán lẻ thế giới năm 2013. Thị trường thương mại điện
tử trực tuyến kết nối trực tiếp các công ty châu Phi địa phương với người tiêu dùng, cho phép họ
thanh toán cho thực phẩm, du lịch, chuyến bay và thậm chí là bất động sản thông qua nền tảng
thanh toán an toàn. Họ cung cấp cho 4 triệu người đăng ký quyền truy cập vào hơn 6.000.000 sản
phẩm từ 13 quốc gia châu Phi và 50.000 thương hiệu quốc gia và quốc tế. lOMoAR cPSD| 58702377
Bảng 6: Minh hoạ trang thương mại trực tuyến của Jumia (Nguồn: Jumia.com)
Bối cảnh: Jumia hoạt động trong một môi trường kinh doanh đầy thách thức với nhiều rủi ro
chính trị và pháp lý. Châu Phi là một lục địa đa dạng với nhiều quốc gia có hệ thống chính trị và
pháp lý khác nhau. Một số thách thức chính mà Jumia phải đối mặt bao gồm: hạ tầng internet yếu,
tỷ lệ sử dụng smartphone thấp, và hệ thống thanh toán chưa phát triển.
Kết quả: Mặc dù phải đối mặt với nhiều thách thức, Jumia đã đạt được những thành công đáng
kể. Công ty đã xây dựng được một mạng lưới rộng khắp các quốc gia Châu Phi, thu hút hàng triệu
khách hàng và đối tác. Jumia cũng đã niêm yết cổ phiếu trên sàn chứng khoán New York (NYSE)
vào năm 2019, đánh dấu một cột mốc quan trọng trong sự phát triển của công ty. Tuy nhiên, Jumia
cũng phải đối mặt với những khó khăn và thách thức. Công ty vẫn chưa đạt được lợi nhuận và phải
tiếp tục đầu tư mạnh mẽ vào cơ sở hạ tầng, công nghệ và marketing.
Jumia cũng phải cạnh tranh với các đối thủ trong nước và quốc tế, bao gồm cả các công ty Trung
Quốc đang mở rộng hoạt động tại Châu Phi.
Giải pháp của Jumia và bài học rút ra cho các doanh nghiệp
Một là, xây dựng mạng lưới logistics riêng: Jumia đầu tư vào việc xây dựng hệ thống kho bãi
và vận chuyển riêng để vượt qua những hạn chế về cơ sở hạ tầng. Doanh nghiệp cần nghiên cứu
kỹ lưỡng cơ sở hạ tầng công nghệ của thị trường mục tiêu.
Hai là, phát triển ứng dụng "Jumia Lite": Ứng dụng này được tối ưu hóa cho điện thoại cơ bản
và kết nối internet chậm.
Ba là, đa dạng hóa phương thức thanh toán: Jumia cung cấp nhiều lựa chọn thanh toán, bao
gồm cả tiền mặt khi nhận hàng (COD), thanh toán qua ví điện tử di động (mobile money), và hợp
tác với các ngân hàng địa phương. Các doanh nghiệp nên hợp tác với các đối tác địa phương có thể lOMoAR cPSD| 58702377
giúp vượt qua những hạn chế về cơ sở hạ tầng. Cần có kế hoạch đầu tư và điều chỉnh công nghệ
phù hợp với điều kiện thực tế.