Report tài liệu
Chia sẻ tài liệu
XSTK - Tóm Tắt Công Thức Xác Suất Thống Kê và Ứng Dụng. Môn Xác suất thống kê | Đại học Công nghệ Thành phố Hồ Chí Minh.
XSTK - Tóm Tắt Công Thức Xác Suất Thống Kê và Ứng Dụng. Môn Xác suất thống kê | Đại học Công nghệ Thành phố Hồ Chí Minh. Tài liệu gồm 7 trang giúp bạn tham khảo, củng cố kiến thức và ôn tập đạt kết quả cao trong kỳ thi sắp tới. Mời bạn đọc đón xem!
Môn: Xác suất thống kê (411058) 7 tài liệu
Trường: Đại học Công nghệ Thành phố Hồ Chí Minh 141 tài liệu
Tác giả:







Tài liệu khác của Đại học Công nghệ Thành phố Hồ Chí Minh
Preview text:
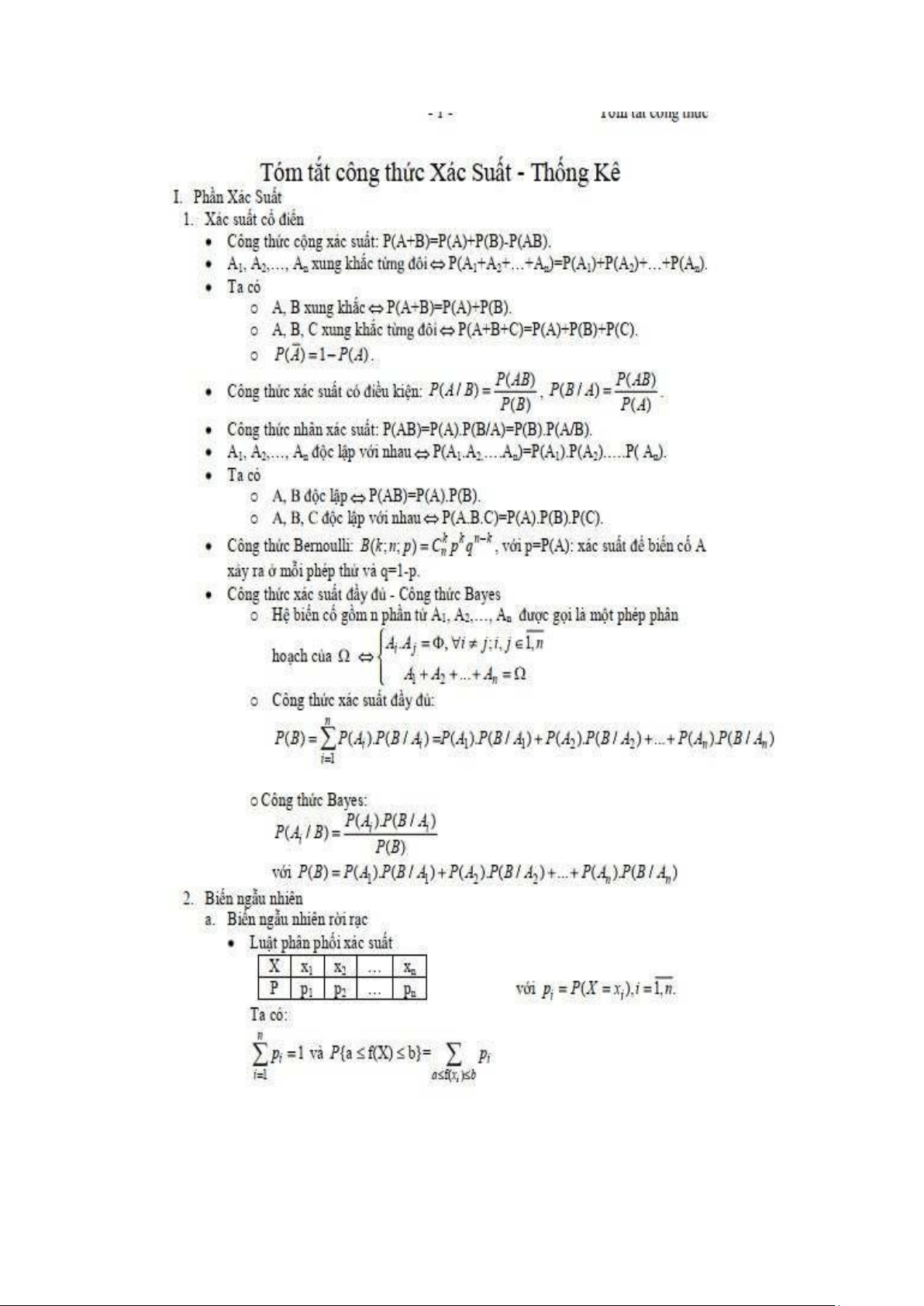
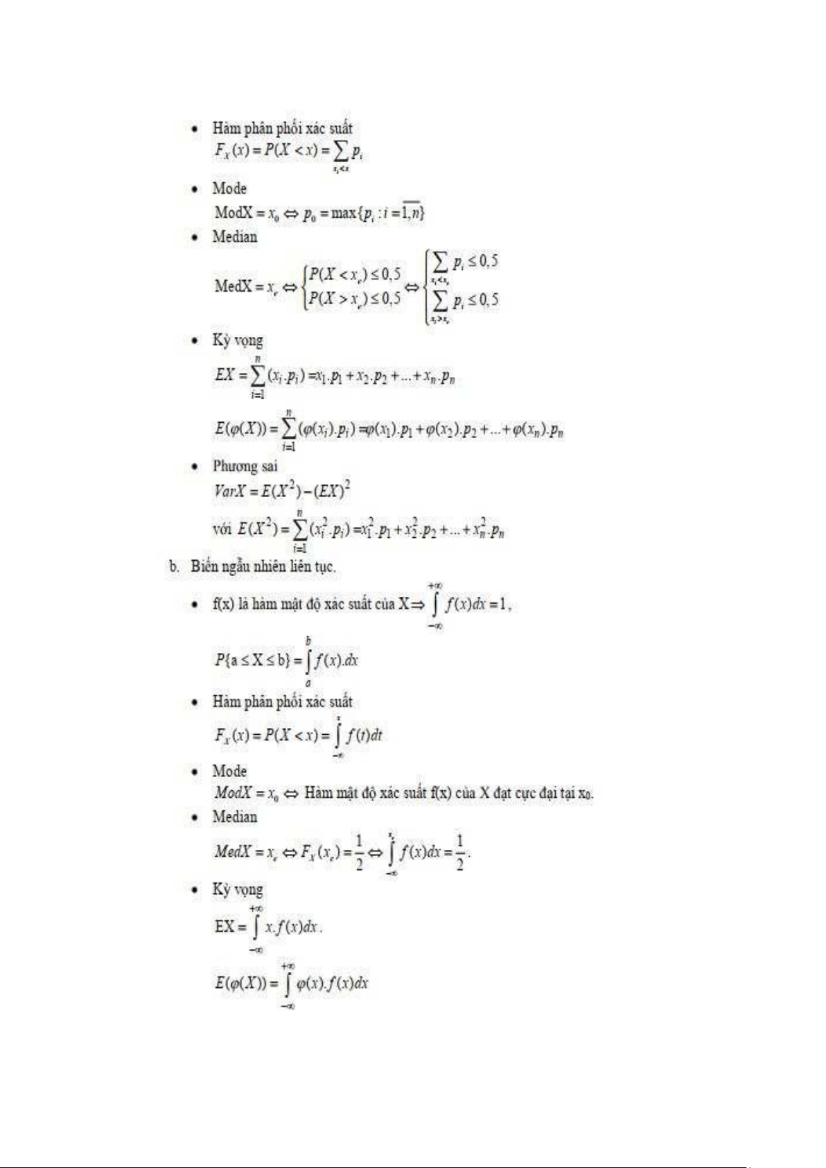
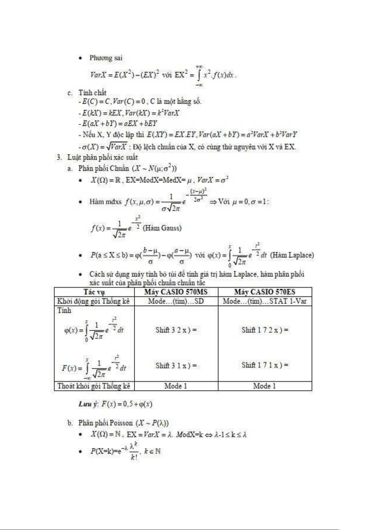
lOMoAR cPSD| 59220306 lOMoAR cPSD| 59220306 lOMoAR cPSD| 59220306 lOMoAR cPSD| 59220306 lOMoAR cPSD| 59220306 lOMoAR cPSD| 59220306 lOMoAR cPSD| 59220306
Tài liệu liên quan:
- 
                                                
                                                    Bài Tập 23-02 - Ghi Chú Học Tập. Môn Xác suất thống kê | Đại học Công nghệ Thành phố Hồ Chí Minh.90 45
- 
                                                
                                                    BÀI TẬP XÁC SUẤT CÓ ĐIỀU KIỆN - SÁCH BÀI TẬP CTST. Môn Xác suất thống kê | Đại học Công nghệ Thành phố Hồ Chí Minh.76 38
- 
                                                
                                                    Bài Tập Xác Suất Thống Kê - Buổi 1 - Fuivkv. Môn Xác suất thống kê | Đại học Công nghệ Thành phố Hồ Chí Minh.70 35
- 
                                                
                                                    Hướng Dẫn Thống Kê - ThS. Nguyễn Minh Hải - Mẫu và Ước Lượng. Môn Xác suất thống kê | Đại học Công nghệ Thành phố Hồ Chí Minh.76 38