



Preview text:
Ý nghĩa hình học:
Một thùng đựng bia hơi (có dạng khối tròn xoay như hình vẽ) có đường kính đáy là 30 cm , đường kính lớn nhất của thân thùng là 60 cm , các cạnh bên hông của thùng có hình dạng của một parabol. Tính thể tích của thùng bia hơi biết rằng độ dày của thùng là không đáng kể?

Lời giải:
Chọn hệ trục Oxy như hình vẽ.
Ta có phương trình parabol phía trên trục hoành đi qua các điểm ( 30;15); (30;15); (0; 20) là:
Thể tích thùng bằng thể tích khối tròn xoay tạo thành khi quay quanh trục hoành hình phẳng giới hạn bởi các đường:
,
Vậy V= = 20300(cm3)
Ý nghĩa kinh tế:
Ông An muốn làm cửa rào sắt có hình dạng và kích thước như hình vẽ bên, biết đường cong phía trên là một Parabol. Giá 1 (m2) của rào sắt là 700.000 đồng. Hỏi ông An phải trả bao nhiêu tiền để làm cái cửa sắt như vậy
Lời giải:
Chọn hệ trục tọa độ như hình vẽ. Trong đó A(-2,5; 1,5), B(2,5; 1,5), C(0; 2).
Giả sử đường cong trên là một Parabol có dạng y = ax2 + bx + c, với a, b, c ∈ R
Do Parabol đi qua các điểm đó A(-2,5; 1,5), B(2,5; 1,5), C(0; 2) nên ta có hệ phương trình:
Khi đó phương trình Parabol là
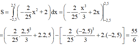
Diện tích S của cửa rào sắt là diện tích phần hình phẳng giới bởi đồ thị hàm số trục hoành và hai đường thẳng x = -2,5; x = 2,5.
Ta có :

Vậy ông An phải trả số tiền để làm cái cửa sắt là 