Đề thi Toán 8
Danh sách Tài liệu
-
Đề thi học sinh giỏi cấp tỉnh Toán 8 năm 2020 – 2021 sở GD&ĐT Bắc Ninh
255 128 lượt tải 1 trangĐề thi học sinh giỏi cấp tỉnh Toán 8 năm học 2020 – 2021 sở GD&ĐT Bắc Ninh gồm 01 trang với 05 bài toán dạng tự luận, thời gian học sinh làm bài thi là 150 phút, kỳ thi được tổ chức ngày 18 tháng 03 năm 2021.
Môn: Toán 8Chủ đề: Đề thi Toán 8Dạng: Đề thiTác giả: Mai Nguyệt1 năm trước -
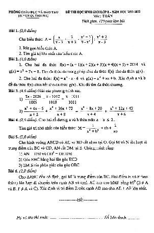
Đề thi HSG huyện Toán 8 năm 2020 – 2021 phòng GD&ĐT Kỳ Anh – Hà Tĩnh
114 57 lượt tải 1 trangĐề thi HSG huyện Toán 8 năm 2020 – 2021 phòng GD&ĐT Kỳ Anh – Hà Tĩnh gồm 01 trang với 13 bài toán dạng tự luận, thời gian học sinh làm bài thi là 120 phút.
Môn: Toán 8Chủ đề: Đề thi Toán 8Dạng: Đề thiTác giả: Mai Nguyệt1 năm trước -
Đề thi Olimpic Toán 8 năm 2020 – 2021 phòng GD&ĐT Quốc Oai – Hà Nội
112 56 lượt tải 7 trangXin giới thiệu đến quý thầy, cô giáo và các em học sinh lớp 8 đề thi Olimpic Toán 8 năm 2020 – 2021 phòng GD&ĐT Quốc Oai – Hà Nội.
Trích dẫn đề thi Olimpic Toán 8 năm 2020 – 2021 phòng GD&ĐT Quốc Oai – Hà Nội:
+ Cho a, b là bình phương của 2 số nguyên lẻ liên tiếp. Chứng minh: ab – a – b + 1 chia hết cho 48.
+ Một mảnh đất hình thang ABCD có AB//CD, AB = BC = AD = a, CD = 2a.
a/ Tính các góc của hình thang ABCD.
b/ Tính diện tích của hình thang ABCD theo a.
c/ Hãy chia mảnh đất ABCD thành 4 mảnh đất hình thang giống hệt nhau bằng nhau.
+ Cho tam giác ABC. Trên cạnh AB lấy D, trên cạnh AC lấy E sao cho AD = AB, CE = 1/3.AC, CD và BE cắt nhau tại I. Tính các tỷ số.Môn: Toán 8Chủ đề: Đề thi Toán 8Dạng: Đề thiTác giả: Mai Nguyệt1 năm trước -
Đề thi HSG Toán 8 năm 2020 – 2021 trường THCS Trung Nguyên – Vĩnh Phúc
122 61 lượt tải 4 trangĐề thi HSG Toán 8 năm 2020 – 2021 trường THCS Trung Nguyên – Vĩnh Phúc gồm 01 trang với 05 bài toán dạng tự luận, thời gian làm bài 120 phút, đề thi có đáp án và lời giải chi tiết.
Môn: Toán 8Chủ đề: Đề thi Toán 8Dạng: Đề thiTác giả: Mai Nguyệt1 năm trước -
Đề thi HSG Toán 8 năm 2020 – 2021 phòng GD&ĐT thành phố Vinh – Nghệ An
158 79 lượt tải 1 trangĐề thi HSG Toán 8 năm 2020 – 2021 phòng GD&ĐT thành phố Vinh – Nghệ An gồm 01 trang với 05 bài toán dạng tự luận, thời gian học sinh làm bài thi là 120 phút.
Trích dẫn đề thi HSG Toán 8 năm 2020 – 2021 phòng GD&ĐT thành phố Vinh – Nghệ An:
+ Chứng minh rằng: 11^100 – 1 chia hết cho 1000.
+ Biết đa thức f(x) chia cho đa thức x – 2 dư 7, chia cho đa thức x^2 + 1 dư 3x + 5. Tìm dư trong phép chia đa thức f(x) cho đa thức (x2 + 1)(x – 2).
+ Cho tam giác ABC vuông tại A (AB < AC), đường cao AH (H thuộc BC). Trên tia HC lấy điểm D sao cho HD = HA. Đường vuông góc với BC tại D cắt AC ở E.
a. Chứng minh rằng tam giác BEC đồng dạng với tam giác ADC.
b. Gọi M là trung điểm của BE. Chứng minh rằng BM.BE = BC.BH. Tính số đo góc AHM.
c. Tia AM cắt BC tại G. Chứng minh rằng GB.AH + GB.HC = BC.HD.Môn: Toán 8Chủ đề: Đề thi Toán 8Dạng: Đề thiTác giả: Mai Nguyệt1 năm trước -
Đề thi HSG huyện Toán 8 năm 2020 – 2021 phòng GD&ĐT Hà Trung – Thanh Hóa
153 77 lượt tải 1 trangĐề thi HSG huyện Toán 8 năm 2020 – 2021 phòng GD&ĐT Hà Trung – Thanh Hóa gồm 01 trang với 06 bài toán dạng tự luận, thời gian học sinh làm bài thi là 150 phút.
Trích dẫn đề thi HSG huyện Toán 8 năm 2020 – 2021 phòng GD&ĐT Hà Trung – Thanh Hóa:
+ Cho tam giác đều ABC. Gọi O là trung điểm của BC. Trên cạnh AB và AC lần lượt lấy các điểm di động M và N sao cho MON = 600. Chứng minh rằng:
1) OMB đồng dạng với ONC từ đó suy ra tích BM.CN không đổi.
2) Các tia MO, NO lần lượt là tia phân giác của góc BMN và CNM.
3) Chu vi tam giác AMN không đổi.
+ Xác định đa thức f(x) biết: f(x) chia cho x – 1 dư 4; chia cho x + 2 dư 1 và chia cho x2 + x – 2 được thương là 5x.
+ Tìm số tự nhiên k để 4 7 2 2 2 k là số chính phương.Môn: Toán 8Chủ đề: Đề thi Toán 8Dạng: Đề thiTác giả: Mai Nguyệt1 năm trước -
Đề học sinh giỏi Toán 8 năm 2020 – 2021 phòng GD&ĐT Cao Lộc – Lạng Sơn
104 52 lượt tải 1 trangĐề học sinh giỏi Toán 8 năm 2020 – 2021 phòng GD&ĐT Cao Lộc – Lạng Sơn gồm 01 trang với 04 bài toán dạng tự luận, thời gian làm bài 150 phút.
Môn: Toán 8Chủ đề: Đề thi Toán 8Dạng: Đề thiTác giả: Mai Nguyệt1 năm trước -
Đề thi Olympic Toán 8 năm 2020 – 2021 phòng GD&ĐT Gia Lâm – Hà Nội
104 52 lượt tải 1 trangĐề thi Olympic Toán 8 năm 2020 – 2021 phòng GD&ĐT Gia Lâm – Hà Nội gồm 01 trang với 04 bài toán dạng tự luận, thời gian làm bài 90 phút; kỳ thi được diễn ra vào ngày 09 tháng 04 năm 2021.
Môn: Toán 8Chủ đề: Đề thi Toán 8Dạng: Đề thiTác giả: Mai Nguyệt1 năm trước -
Đề thi Olympic Toán 8 cấp huyện năm 2020 – 2021 phòng GD&ĐT Ba Vì – Hà Nội
111 56 lượt tải 1 trangĐề thi Olympic Toán 8 cấp huyện năm 2020 – 2021 phòng GD&ĐT Ba Vì – Hà Nội gồm 01 trang với 05 bài toán dạng tự luận, thời gian làm bài 120 phút.
Trích dẫn đề thi Olympic Toán 8 cấp huyện năm 2020 – 2021 phòng GD&ĐT Ba Vì – Hà Nội:
+ Tìm các số nguyên x, y thỏa mãn: xy – 4 = 2x + 3y.
+ Tìm các số nguyên x sao cho A = x(x – 1)(x – 7)(x – 8) là một số chính phương.
+ Cho hình thoi ABCD có BAD = 60°. Qua C vẽ đường thẳng d bất kì không cắt cạnh của hình thoi ABCD, nhưng d cắt tia AB tại E và cắt tia AD tại F.
a) Chứng minh BCE đồng dạng DFC.
b) Chứng minh BD2 = BE.DF.
c) Gọi I là giao điểm của BF và DE. Tính số đo góc EIF.Môn: Toán 8Chủ đề: Đề thi Toán 8Dạng: Đề thiTác giả: Mai Nguyệt1 năm trước -
Đề thi HSG Olympic Toán 8 năm 2020 – 2021 phòng GD&ĐT Quỳnh Lưu – Nghệ An
111 56 lượt tải 1 trangĐề thi HSG Olympic Toán 8 năm 2020 – 2021 phòng GD&ĐT Quỳnh Lưu – Nghệ An gồm 01 trang với 04 bài toán dạng tự luận, thời gian học sinh làm bài thi là 120 phút.
Trích dẫn đề thi HSG Olympic Toán 8 năm 2020 – 2021 phòng GD&ĐT Quỳnh Lưu – Nghệ An:
+ Tìm cặp số nguyên x, y thỏa mãn.
+ Hai bạn Lan và Hoa vào cửa hàng sách, Lan mua một số quyển vở, Hoa không những mua gấp đôi số quyển vở của Lan mua mà còn nhiều hơn một quyển nữa. Tính số quyển vở mỗi bạn mua. Biết rằng số quyển vở Lan mua là một số nguyên tố, số quyển vở Hoa mua là lập phương của một số tự nhiên.
+ Một tam giác có độ dài ba cạnh là a, b, c và chu vi là 2. Chứng minh rằng: a2 + b2 + c2 + 2abc < 2.Môn: Toán 8Chủ đề: Đề thi Toán 8Dạng: Đề thiTác giả: Mai Nguyệt1 năm trước