Đề thi Toán 8
Danh sách Tài liệu
-
Đề thi học sinh giỏi Toán 8 năm 2021 – 2022 phòng GD&ĐT Thiệu Hóa – Thanh Hóa
83 42 lượt tải 5 trangXin giới thiệu đến quý thầy, cô giáo và các em học sinh lớp 8 đề thi chọn học sinh giỏi môn Toán 8 năm học 2021 – 2022 phòng Giáo dục và Đào tạo huyện Thiệu Hóa, tỉnh Thanh Hóa; kỳ thi được diễn ra vào ngày 28 tháng 03 năm 2022.
Môn: Toán 8Chủ đề: Đề thi Toán 8Dạng: Đề thiTác giả: Mai Nguyệt1 năm trước -
Đề thi học sinh giỏi Toán 8 năm 2021 – 2022 phòng GD&ĐT Hương Trà – TT Huế
176 88 lượt tải 1 trangXin giới thiệu đến quý thầy, cô giáo và các em học sinh lớp 8 đề thi chọn học sinh giỏi cấp thị xã môn Toán 8 năm học 2021 – 2022 phòng Giáo dục và Đào tạo Hương Trà, tỉnh Thừa Thiên Huế.
Trích dẫn đề thi học sinh giỏi Toán 8 năm 2021 – 2022 phòng GD&ĐT Hương Trà – TT Huế:
+ Tìm giá trị của m để cho phương trình 6x – 5m = 3 + 3mx có nghiệm số gấp ba nghiệm số của phương trình.
+ Cho P = n4 + 4. Tìm tất cả các số tự nhiên n để P là số nguyên tố.
+ Cho tam giác ABC nhọn. Các đường cao AA’, BB’, CC’; H là trực tâm. a) Tính tổng b) Gọi AI là phân giác của tam giác ABC; IM, IN thứ tự là phân giác của AIC và AIB. Chứng minh rằng: AN.BI.CM = BN.IC.AM. c) Chứng minh.Môn: Toán 8Chủ đề: Đề thi Toán 8Dạng: Đề thiTác giả: Mai Nguyệt1 năm trước -
Đề học sinh giỏi Toán 8 năm 2021 – 2022 phòng GD&ĐT thành phố Ninh Bình
96 48 lượt tải 1 trangXin giới thiệu đến quý thầy, cô giáo và các em học sinh lớp 8 đề thi chọn học sinh giỏi môn Toán 8 THCS năm học 2021 – 2022 phòng Giáo dục và Đào tạo thành phố Ninh Bình, tỉnh Ninh Bình. Mời các bạn đón đọc!
Môn: Toán 8Chủ đề: Đề thi Toán 8Dạng: Đề thiTác giả: Mai Nguyệt1 năm trước -
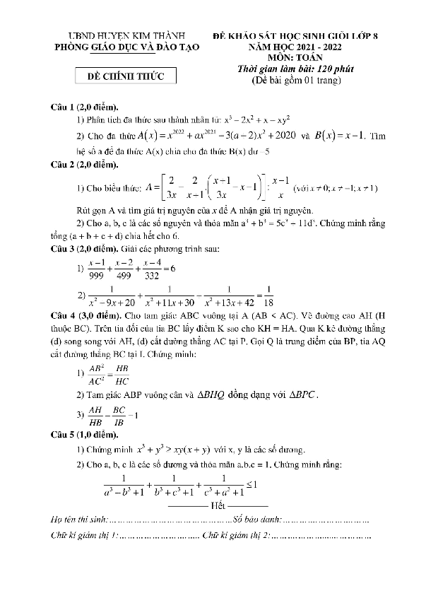
Đề học sinh giỏi Toán 8 năm 2021 – 2022 phòng GD&ĐT Kim Thành – Hải Dương
100 50 lượt tải 5 trangXin giới thiệu đến quý thầy, cô giáo và các em học sinh lớp 8 đề khảo sát học sinh giỏi môn Toán 8 năm học 2021 – 2022 phòng Giáo dục và Đào tạo UBND huyện Kim Thành, tỉnh Hải Dương.
Môn: Toán 8Chủ đề: Đề thi Toán 8Dạng: Đề thiTác giả: Mai Nguyệt1 năm trước -
Đề kiểm định chất lượng Toán 8 năm 2021 – 2022 phòng GD&ĐT Nghi Lộc – Nghệ An
130 65 lượt tải 1 trangXin giới thiệu đến quý thầy, cô giáo và các em học sinh lớp 8 đề kiểm định chất lượng môn Toán 8 năm học 2021 – 2022 phòng Giáo dục và Đào tạo huyện Nghi Lộc, tỉnh Nghệ An.
Trích dẫn đề kiểm định chất lượng Toán 8 năm 2021 – 2022 phòng GD&ĐT Nghi Lộc – Nghệ An:
+ Chứng minh rằng với mọi n thuộc số tự nhiên thì biểu thức M chia hết cho 21.
+ Tìm số tự nhiên gồm 4 chữ số thỏa mãn đồng thời hai tính chất: a) Khi chia số đó cho 100 ta được số dư là 6 b) Khi chia số đó cho 51 ta được số dư là 17.
+ Chứng minh rằng với mọi a thuộc Z thì N là một số chính phương.Môn: Toán 8Chủ đề: Đề thi Toán 8Dạng: Đề thiTác giả: Mai Nguyệt1 năm trước -
Đề học sinh giỏi Toán 8 năm 2021 – 2022 phòng GD&ĐT Hà Đông – Hà Nội
130 65 lượt tải 1 trangXin giới thiệu đến quý thầy, cô giáo và các em học sinh lớp 8 đề thi giao lưu học sinh giỏi môn Toán 8 năm học 2021 – 2022 phòng Giáo dục và Đào tạo quận Hà Đông, thành phố Hà Nội.
Trích dẫn đề học sinh giỏi Toán 8 năm 2021 – 2022 phòng GD&ĐT Hà Đông – Hà Nội:
+ Cho các số dương a, b, c thỏa mãn a + b + c = 2022. Tìm giá trị lớn nhất của biểu thức P.
+ Cho tam giác ABC vuông tại A (AC > AB). Vẽ đường cao AH (H thuộc BC). Trên tia đối của tia BC lấy điểm K sao cho KH = HA. Qua K kẻ đường thắng song song với AH, cắt đường thẳng AC tại P. 1) Chứng minh AKC đồng dạng BPC. 2) Gọi Q là trung điểm của BP. Chứng minh BP ВС. 3) Tia AQ cắt BC tại I. Chứng minh: HB АН ВС IB.
+ Có 5 điểm nằm trong một hình vuông cạnh a = 36,7 (đơn vị dài). Chứng minh rằng tồn tại một điểm nằm trong hình vuông mà khoảng cách từ điểm đó đến 5 điểm nói trên đều lớn hơn 10.Môn: Toán 8Chủ đề: Đề thi Toán 8Dạng: Đề thiTác giả: Mai Nguyệt1 năm trước -
Đề thi Olympic Toán 8 năm 2021 – 2022 trường THCS Tây Sơn – Hà Nội
98 49 lượt tải 1 trangXin giới thiệu đến quý thầy, cô giáo và các em học sinh lớp 8 đề thi Olympic môn Toán 8 năm học 2021 – 2022 trường THCS Tây Sơn, quận Hai Bà Trưng, thành phố Hà Nội.
Trích dẫn đề thi Olympic Toán 8 năm 2021 – 2022 trường THCS Tây Sơn – Hà Nội:
+ Cho tam giác ABC vuông tại A (AB < AC) và đường cao AH. a) Chứng minh: AC2 = BC.HC. b) Lấy điểm I thuộc AH. Kẻ đường thẳng đi qua B và vuông góc với CI tại K. Chứng minh rằng CH.CB = CI.CK. c) Tia BK cắt tia HA tại D. Chứng minh rằng BHK = BDC. d) Trên tia đối của tia KC lấy điểm M sao cho BM = BA. Chứng minh BMD = 90°.
+ Cho hai biểu thức a) Tính P = AB. b) Tìm các giá trị nguyên của x để P là số tự nhiên. c) Tìm tất cả các giá trị của m để phương trình P = m có nghiệm dương duy nhất.
+ Tìm giá trị lớn nhất của biểu thức A = 8 – x4 + 2×2.Môn: Toán 8Chủ đề: Đề thi Toán 8Dạng: Đề thiTác giả: Mai Nguyệt1 năm trước -
Đề học sinh giỏi Toán 8 năm 2021 – 2022 phòng GD&ĐT Hương Khê – Hà Tĩnh
184 92 lượt tải 3 trangXin giới thiệu đến quý thầy, cô giáo và các em học sinh lớp 8 đề thi chọn học sinh giỏi cấp huyện môn Toán 8 năm học 2021 – 2022 phòng Giáo dục và Đào tạo huyện Hương Khê, tỉnh Hà Tĩnh; đề thi có đáp án, lời giải chi tiết và hướng dẫn chấm điểm.
Môn: Toán 8Chủ đề: Đề thi Toán 8Dạng: Đề thiTác giả: Mai Nguyệt1 năm trước -
Tuyển tập 50 đề ôn thi chọn học sinh giỏi môn Toán lớp 8 có lời giải
224 112 lượt tải 354 trangTài liệu gồm 354 trang, tuyển tập 50 đề ôn thi chọn học sinh giỏi môn Toán lớp 8 có đáp án và lời giải chi tiết, giúp học sinh lớp 8 ôn tập để chuẩn bị cho kỳ thi chọn HSG Toán 8 cấp trường, cấp quận / huyện, cấp tỉnh / thành phố.
Môn: Toán 8Chủ đề: Đề thi Toán 8Dạng: Đề thiTác giả: Mai Nguyệt1 năm trước -
Đề chọn đội tuyển Toán 8 năm 2022 – 2023 hệ thống GD Archimedes School – Hà Nội
136 68 lượt tải 1 trangXin giới thiệu đến quý thầy, cô giáo và các em học sinh lớp 8 đề thi chọn đội tuyển học sinh giỏi môn Toán 8 năm học 2022 – 2023 hệ thống giáo dục Archimedes School, thành phố Hà Nội; đề thi gồm 01 trang với 08 bài toán dạng tự luận, thời gian học sinh làm bài thi là 135 phút.
Môn: Toán 8Chủ đề: Đề thi Toán 8Dạng: Đề thiTác giả: Mai Nguyệt1 năm trước