Đề thi vào 10 môn Toán năm 2023-2024
Danh sách Tài liệu
-
Đề thi tuyển sinh lớp 10 THPT công lập năm học 2017 – 2018 môn Toán sở GD và ĐT Bến Tre
100 50 lượt tải 4 trangGiới thiệu đến quý thầy, cô và các bạn học sinh đề thi tuyển sinh lớp 10 THPT công lập năm học 2017 – 2018 môn Toán sở GD và ĐT Bến Tre gồm 4 bài toán tự luận, có lời giải chi tiết. Mời các bạn đón xem!
Môn: Môn ToánChủ đề: Đề thi vào 10 môn Toán năm 2023-2024Dạng: Đề thi, Tự luậnTác giả: VietJack1 năm trước -
Đề tuyển sinh vào 10 môn Toán năm 2017 – 2018 sở GD&ĐT Đồng Tháp
157 79 lượt tải 5 trangGiới thiệu đến quý thầy, cô giáo và các em học sinh đề thi tuyển sinh vào lớp 10 môn Toán năm học 2017 – 2018 sở Giáo dục và Đào tạo tỉnh Đồng Tháp; kỳ thi được diễn ra vào ngày 02 tháng 07 năm 2017; đề thi có đáp án, lời giải chi tiết và hướng dẫn chấm điểm. Mời các bạn đón xem!
Môn: Môn ToánChủ đề: Đề thi vào 10 môn Toán năm 2023-2024Dạng: Đề thi, Tự luậnTác giả: VietJack1 năm trước -
Đề thi tuyển sinh lớp 10 năm học 2017 – 2018 môn Toán trường THPT chuyên Quốc học – TT Huế (chuyên Tin)
105 53 lượt tải 5 trangGiới thiệu đến quý thầy, cô và các bạn học sinh đề thi tuyển sinh lớp 10 năm học 2017 – 2018 môn Toán trường THPT chuyên Quốc học – TT Huế (chuyên Tin) gồm 5 bài toán tự luận, có lời giải chi tiết. Mời các bạn đón xem!
Môn: Môn ToánChủ đề: Đề thi vào 10 môn Toán năm 2023-2024Dạng: Đề thi, Tự luậnTác giả: VietJack1 năm trước -
Đề thi tuyển sinh lớp 10 năm học 2017 – 2018 môn Toán trường THPT chuyên Quốc học – TT Huế (chuyên Toán)
103 52 lượt tải 5 trangGiới thiệu đến quý thầy, cô và các bạn học sinh Đề thi tuyển sinh lớp 10 năm học 2017 – 2018 môn Toán trường THPT chuyên Quốc học – TT Huế (chuyên Toán) gồm 5 bài toán tự luận, có lời giải chi tiết. Mời các bạn đón xem!
Môn: Môn ToánChủ đề: Đề thi vào 10 môn Toán năm 2023-2024Dạng: Đề thi, Tự luậnTác giả: VietJack1 năm trước -
Đề thi tuyển sinh lớp 10 năm học 2017 – 2018 môn Toán trường THPT Lạc Thủy – Hòa Bình (Ban A)
123 62 lượt tải 3 trangGiới thiệu đến quý thầy, cô và các bạn học sinh đề thi tuyển sinh lớp 10 năm học 2017 – 2018 môn Toán trường THPT Lạc Thủy – Hòa Bình (Ban A) gồm 25 bài toán theo hình thức điền kết quả. Mời các bạn đón xem!
Môn: Môn ToánChủ đề: Đề thi vào 10 môn Toán năm 2023-2024Dạng: Đề thi, Tự luậnTác giả: VietJack1 năm trước -
Đề thi tuyển sinh lớp 10 THPT chuyên năm học 2017 – 2018 môn Toán sở GD và ĐT An Giang
87 44 lượt tải 4 trangGiới thiệu đến quý thầy, cô và các bạn học sinh đề thi tuyển sinh lớp 10 THPT chuyên năm học 2017 – 2018 môn Toán sở GD và ĐT An Giang gồm 6 bài toán tự luận, có lời giải chi tiết. Mời các bạn đón xem!
Môn: Môn ToánChủ đề: Đề thi vào 10 môn Toán năm 2023-2024Dạng: Đề thi, Tự luậnTác giả: VietJack1 năm trước -
Đề minh họa kỳ thi tuyển sinh lớp 10 THPT năm học 2018 – 2019 môn Toán sở GD và ĐT TP. HCM
139 70 lượt tải 6 trangGiới thiệu đến quý thầy, cô và các bạn học sinh đề minh họa kỳ thi tuyển sinh lớp 10 THPT năm học 2018 – 2019 môn Toán sở Giáo dục và Đào tạo thành phố Hồ Chí Minh gồm 10 bài toán tự luận, thời gian làm bài 120 phút. Đề thi có lời giải chi tiết. Mời các bạn đón xem!
Môn: Môn ToánChủ đề: Đề thi vào 10 môn Toán năm 2023-2024Dạng: Đề thi, Tự luậnTác giả: VietJack1 năm trước -
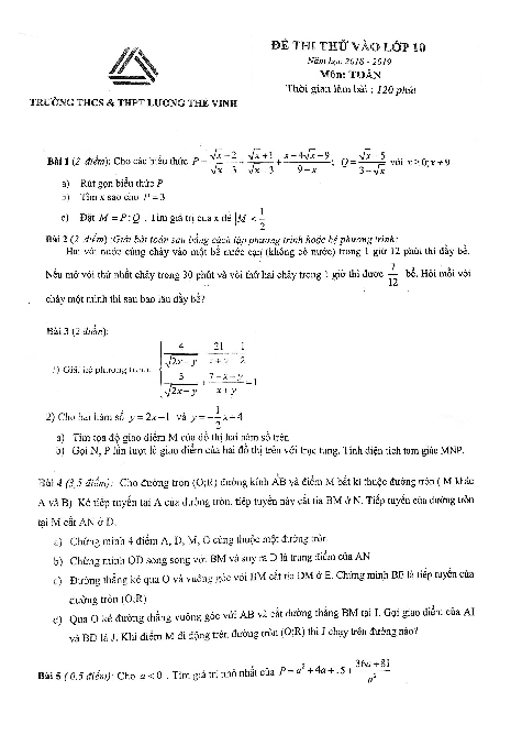
Đề thi thử vào lớp 10 môn Toán năm học 2018 – 2019 trường Lương Thế Vinh – Hà Nội
144 72 lượt tải 1 trangGiới thiệu đến quý thầy, cô và các bạn học sinh Đề thi thử vào lớp 10 môn Toán năm học 2018 – 2019 trường Lương Thế Vinh – Hà Nội gồm trang với 5 bài toán tự luận, kỳ thi diễn ra vào ngày 14/01/2018. Mời các bạn đón xem!
Môn: Môn ToánChủ đề: Đề thi vào 10 môn Toán năm 2023-2024Dạng: Đề thi, Tự luậnTác giả: VietJack1 năm trước -
Đề thi thử tuyển sinh vào lớp 10 môn Toán đợt 1 trường Thăng Long – Hà Nội
117 59 lượt tải 6 trangGiới thiệu đến quý thầy, cô và các bạn học sinh đề thi thử tuyển sinh vào lớp 10 môn Toán đợt 1 trường Thăng Long – Hà Nội gồm 1 trang với 5 bài toán tự luận, thời gian làm bài 120 phút( không kể thời gian giao đề), kỳ thi được tổ chức vào ngày 25 tháng 02 năm 2018, đề thi thử có lời giải chi tiết. Mời các bạn đón xem!
Môn: Môn ToánChủ đề: Đề thi vào 10 môn Toán năm 2023-2024Dạng: Đề thi, Tự luậnTác giả: VietJack1 năm trước -
Đề thi thử vào lớp 10 môn Toán năm 2018 trường Phan Huy Chú – Hà Nội
117 59 lượt tải 5 trangGiới thiệu đến quý thầy, cô và các bạn học sinh Đề thi thử vào lớp 10 môn Toán năm 2018 trường Phan Huy Chú – Hà Nội được biên soạn nhằm giúp các em nắm được cấu trúc, độ khó của đề thi và làm quen với hình thức thi để có sự chuẩn bị tốt cho kỳ thi vào lớp 10 môn Toán, đề gồm 1 trang với 5 bài toán tự luận, thời gian làm bài 120 phút, không tính thời gian phát đề, đề thi có lời giải chi tiết và thang điểm. Mời các bạn đón xem!
Môn: Môn ToánChủ đề: Đề thi vào 10 môn Toán năm 2023-2024Dạng: Đề thi, Tự luậnTác giả: VietJack1 năm trước