








Preview text:
lOMoAR cPSD| 45470709
ĐẠI HỌC Y DƯỢC TP. HCM
MÔN: THỰC TẬP VẬT LÝ – LÝ SINH
BÀI 3: Máy Quang Phổ
Ngày thực tập: 29/05/2023 CHỮ KÝ GVPT Ca thực tập: Ca 1 Lớp: YHDP22
Tên các thành viên và tổ: 02 + 03 Họ và Tên MSSV Tổ
Lê Huy Hoàng (Nhóm Trưởng) 411225026 2 Nguyễn Hoàng Minh Hạnh 411225017 2 Phạm Thị Mỹ Hạnh 411225018 2 Hoàng Nữ Minh Hậu 411225019 2 Vũ Hoàng Quốc Hiệp 411225022 2 Dương Minh Hoàng 411225025 2 Nguyễn Lê Hoàng 411225027 2 Nguyễn Thế Huân 411225029 3 Đoàn Đức Huy 411225031 3 Nguyễn Đặng Thiên Huy 411225032 3 Lê Bảo Huyền 411225033 3 I. Mục Đích
Máy quang phổ (spectrophotometer) là các thiết bị dùng để định tính và
định lượng các chất dựa trên nguyên lý hấp thụ hoặc phát xạ ánh sáng.
Trong phạm vi bài này ta chỉ xét các máy quang phổ hấp thụ mà thôi. II.
Các cơ sở lý thuyết 1.
Cấu tạo máy quang phổ
Các máy quang phổ đều có thành phần chính là: _Nguồn sáng _Bộ phận tán sắc
_Bộ phận ghi đo quang điện
Nguồn sáng là các đèn chiếu sáng có dải sóng tương đối rộng tùy theo
bước sóng của phép đo mà nguoif ta có thể sử dụng các loại nguồn khác. lOMoAR cPSD| 45470709
Thí dụ người ta thường dùng đèn tungstan cho vùng khả kiến, đèn thủy
ngân cho vùng tử ngoại v.v...
Bộ phận tán sắc là các lăng kính hoặc cách tử dùng để tạo ra các bước sóng
khác nhau. Đối với máy quang sắc bộ phận này thường là kính lọc.
Bộ phận ghi đo quang điện là các thiết bị có khả năng biến ánh sáng
thành điện và khuếch đại lên (nếu cần) và được dẫn qua đồng hồ (bằng
kim hoặc hiện số) từ đó xác định được nồng độ thông qua các biến đổi về
điện dựa trên cơ sở xác định độ hấp thụ ánh sáng. 2.
Định luật hấp thụ ánh sáng (Bougeur – lamber – Beer)
Đối với một chùm tia song song, đơn sắc khi đi qua một dung dịch có bề
dày 1, nồng độ C thì cường độ của nó bị giảm theo hàm số mũ của b, c
ứng với biểu thức sau: I=I010-lc I0 = cường độ tia tới I: cường độ tia ló C: Nồng độ dung dịch
l: bề dày dung dịch mà ánh sáng truyền qua
: Hệ số hấp thu phân tử nó phụ thuộc vào bước sóng ánh sáng tới,
bản chất và nhiệt độ môi trường. * Biểu thức trên chỉ chính xác khi nồng độ không qua cao. 3.
Mật dộ quang (O.D), độ truyền qua T:
Đại lượng D = .l.C được gọi là mật độ quang nó cho thấy mức độ hấp
thụ ánh sáng của dung dịch. Rõ ràng D càng lớn, dung dịch hấp thụ ánh sáng càng nhiều.
Người ta gọi tỷ số cường độ giữa tia ló và tia tới truyền qua T, ta có:T= I I0
Như vậy đại lượng T cho biết mức độ truyền ua của tia sáng đối với 1
dung dịch cho trước nào đó (tức là cho biết số phần trăm cường độ truyền qua).
Từ biểu thức của định luật Bouger – Lambert – Berr ta có thể rút ra 1
được liên hệ của D và T như sau: D =1gT 4.
Các phương pháp xác định nồng độ bằng máy quang phổ: a.
Phương pháp đo trực tiếp: lOMoAR cPSD| 45470709
Từ biểu thức D = .l.C ta thấy nếu xác định được 1 ta có thể tính được D C = .l
Bề dày l có thể xác định một cách gần đúng bằng cách đo bề dày
cuvet hiệu chính với bề dày thủy tinh.
Hệ số hấp thụ phân tử có được bằng cách tra bảng (kèm theo các
chuẩn về bước sóng, nhiệt độ, v.v…) đối với từng chất. Phương pháp
này rất ít được sử dụng vì nhiều sai số trong phép đo. b.
Phương pháp pha chuẩn so sánh:
Pha dung dịch chuẩn có nồng độ C0, đo mật độ quang D0 tương ứng,
sau đó đưa dung dịch chưa biết Cx vào đo Dx tương ứng. Từ đó tính theo Cx theo hệ thức: Dx C x C0
D =C =¿Cx= D0 Dx 0 0
* Phép này chỉ chính xác khi nồng độ các chất không cao lắm. c.
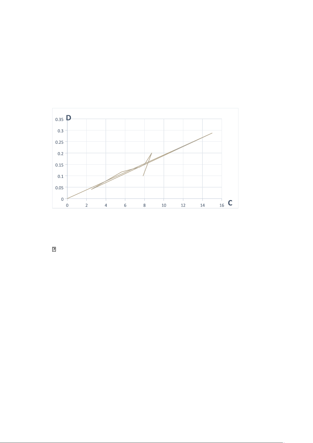
Phương pháp lập đường chuẩn:
Pha các dung dịch đã biết trước nồng độ C1, C2, C3 ……Cn và đo các
mật độ quang tương ứng D1, D2, D3 ……Dn. Vẽ hệ thống trục tọa độ
gồm trục D và trục C như hình vẽ, từ đó dựng các điểm (D1, C1), (Dn,
Cn) tương ứng, nối các điểm này lại ta được đường chuẩn.
Sau khi dựng đường chuẩn, đưa dung dịch Cx vào đo Dx chiếu lên
đường chuẩn rồi chiếu xuống trục C ta tìm được Cx. Mỗi điểm phải đo
nhiều lần để vẽ ô sai sai số. III. Thực hành
1. Vẽ phổ hấp thụ và xác định bước sóng thấp hấp thụ cực đại: a.
Thiết bị và dụng cụ
_Máy quang phổ (chọn máy A) _Bộ Cuvet
_Lọ đựng dung dịch chuẩn S lOMoAR cPSD| 45470709 Ống số S 1 2 3 4 6 (X) Nước cất 0 10 10 10 10 0 DD S (ml) 10 2 6 10 14 DD X (ml) 10 b.
Các bước tiến hành
1/ Mở công tắc nguồn, mở công tắc máy
2/ Cho dung dịch chuẩn S, dung môi (ở đây là nước cất) vào các Cuvet
3/ Chọn bước sóng λ = 450nm 4/ Chọn chế độ đo T
5/ Đưa Cuvet dung môi (nước cất) vào lỗ để Cuvet
6/ Nhấn phím T 100%, màn hình hiển thị trị số 100
7/ Đưa Cuvet dung dịch chuẩn S vào
8/ Đọc và ghi lại trị số TS1
9/ Chọn bước sóng λ = 490nm lặp lại thao tác 4 đến thao tác 7 (đọc trị số TS2
tương ứng) Sau đó lần lượt chọn các bước sóng λ = 4909nm, λ = 500nm,…λ =
550nm, đọc và ghi lại các trị số TS3, TS4, TS5, TS6… tương ứng. 2.Xác định
nồng độ bằng phương pháp pha chuẩn so sánh a.
Thiết bị và dụng cụ _Máy quang phổ _Bộ Cuvet
_Các lọ dung dịch chuẩn S, dung dịch X. b.
Các bước tiến hành:
1/ Cho dung môi (ở đây là nước cất), dung dịch chuẩn S, dung dịch X vào các Cuvet
2/ Chọn bước sóng λmax (đã làm ở phần trên) 3/ Chọn chế độ đo T
4/ Đưa Cuvet dung môi (nước cất) vào lỗ để Cuvet
5/ Nhấn T 100%, màn hình hiển thị trị số là 100
6/ Đưa Cuvet dung dịch chuẩn S vào
7/ Đọc và ghi lại trị số T0
8/ Đưa Cuvet dung dịch X vào
9/ Đọc và ghi lại trị số Tx 3.
Xác định nồng độ bằng phương pháp lập đường chuẩn: a.
Thiết bị và dụng cụ: _Máy quang phổ _Bộ Cuvet
_Các lọ đựng dung dịch chuẩn S, dung dịch X b.
Các bước tiến hành:
1/ Pha dung dịch S thành các dung dịch có nồng độ khác nhau trong 6 ống
nghiệm như sau: Cs = 15mg/l lOMoAR cPSD| 45470709
2/ Đổ dung dịch X trong bình vào ống X (không được thêm nước cất vào ống X).
3/ Mở công tắc máy quang phổ.
4/ Chọn bước sóng λ max tìm được ở thí nghiệm trên.
5/ Lần lượt đổ nước cất vào Cuvet nước cất (tức ống B) và các dung dịch C1,
C2…, C6, Cx vào Cuvet chứa dung dịch, rồi đưa vào lổ để Cuvet (lưu ý để vạch
khắc trên Cuvet trùng với vạch khắc trên máy) để đo T theo hướng dẫn.
IV. Kết quả thí nghiệm:
1. Vẽ phổ hấp thụ và xác định bước sóng hấp thụ cực đại _Tính mật
độ quang D của dung dịch S theo từng bước sóng khác nhau trong phần thực hành λ (nm) 1
Δ = logT (%) 490 0,1958 500 0,2441 510 0,266 520 0,2856 530 0,2724 540 0,2146 550 0,1420 _Lập bảng biến thiên: λ (nm)
-∞ 520 +∞ Δ 0,2856 -∞
-∞ Giá trị λmax = 520 nm
2. Xác định nồng độ bằng phương pháp pha chuẩn so sánh:
1/ Tính các giá trị mật độ quang D của các dung dịch S, X: T = 49,5 % → S DS = 1TS = 0,3 T = 78,3 % → X DX = 1TX = 0,1
2/ Từ đó tính CX bằng phương pháp pha chuẩn so sánh: CS = C0 = 15 mg/l lOMoAR cPSD| 45470709
C0 15 x 0,1=5mg/l CX = D0 x Dx = 0,3
3. Xác định nồng độ bằng phương pháp lập đường chuẩn: Ống S 1 2 3 4 (X) Lần 1 51,7 91,1 76,3 72,6 63,2 79,3 2 52,4 91,2 76,6 73,1 63,2 79,8 3 51,8 91,1 76,3 72,5 62,8 79,6
3/ Tính các giá trị mật độ quang D của các dung dịch S3, C1, C2...C6, X: Ống S 1 2 3 4 (X) Lần 1 0,2865
0,0405 0,1175 0,1391 0,199 0,1007 3 2 0,2807
0,0400 0,1158 0,1361 0,199 0,0980 3 3 0,2957
0,0405 0,1175 0,1397 0,202 0,0991
4/ Lần lượt tính các C1, C2…. C6, trong 6 ống. Ghi cụ thể: CS∗V S(i) Ta có Ci =
V S(i)+V nước Cs = 15 mg/l C 15∗6∗10−3 C2 = 6∗10−3+0,01 = 5,625 C3 = 015,01∗+00,01,01= 7,5 C4 = 1415∗∗1014 = 8,75 −∗3+100,−013 lOMoAR cPSD| 45470709
C6 = Cx = 150,2299∗0,1203 = 7,85
5/ Tính sai số ΔC1 trong ống I (i/l 6) theo công thức sau: ΔC = + i ΔMMi ΔVV i CI
Mi: số gam dung dịch CuSO4 khi pha vào ống thứ I (với giả
thuyết là dung dịch đổ hết vào ống nghiệm). Vi: Thể tích dung
dịch trong ống thứ i. ΔM: Sai số phép cân ΔV: Sai số thể tích.
Cho ΔM = 0,1 mg; ΔV = 0,01 lit
(Tự chọn: Mi = 10, Vi = 100) ΔCC = + = S ΔMMS ΔVV S 010,1+10010 S ΔCs= 0,11*Cs=1,65
ΔCC 1 = ΔMM + ΔVV => ΔC 1 1= 0,11* C1 = 0,275 1 1
ΔCC 2 = ΔMM + ΔVV => ΔC 2 2= 0,11* C2 = 0,61875 2 2
ΔCC 3 = ΔMM + ΔVV => ΔC 3 3= 0,11* C3 = 0,825 3 3 ΔCC 4 => ΔC
4 = ΔMM + ΔVV 4 4= 0,11* C4 = 0,9625 4 ΔC6(X) ΔM ΔV C => ΔC
6(X) = M6(X) + V6(X) 6(X)= 0,11* C6(X) = 0,8635
6/¿ Tính mật độ quang trung bình Di trong ống I, sau đó tính sai số tuyệt
đối ΔDi của mỗi ống theo công thức:
DS = DS1+DS2+DS3 = 0,2876 3
D1 = D11+D12+D13 = 0,0403 3
D2 = D21+D22+D23 = 0,1169 3 lOMoAR cPSD| 45470709
D3 = D31+D32+D33 = 0,1383 3
D4 = D41+D42+D43 = 0,2002 3
DX = DX 1+DX2+DX 3 = 0,0993 3
ΔDS1 = DS1−DS = -6,67*10-5 3
ΔDS2 = DS2−DS = -2,3*10-3 3
ΔDS3 = DS3−DS = -2,7*10-3 3
ΔD11 = D11−D1 = -6,67*10-5 3
ΔD12 = D12−D1 = -1*10-4 3
ΔD13 = D11−D1 = -6,67*10-5 3
ΔD21 = D21−D2 = 2*10-4 3
ΔD22 = D22−D2 = -3,67*10-4 3
ΔD23 = D23−D2 = 2*10-4 3
ΔD31 = D31−D3 = 2,67*10-4 3
ΔD32 = D32−D3 = -7,3*10-4 3
ΔD33 = D33−D3 = 4,67*10-4 3
ΔD41 = D41−D4 = 0,1332 3
ΔD42 = D42−D4 = 0,1332 3 lOMoAR cPSD| 45470709
ΔD43 = D43−D4 = 0,1340 3
ΔDX1 = DX 1−DX = 0,067 3
ΔDX2 = DX 2−DX = 0,066 3
ΔDX3 = DX 3−DX = 0,066 3
7/ Vẽ đồ thị của D theo C dựa trên các số liệu đã đo được :
8/ Tính Cx bằng phương pháp lập đường chuẩn:
Chọn giá trị của D là 0.15 thì chiếu xuống trục C ta nhận được giá trị C là 8