
****
!"#$%
&'($)*+!,-,.*(/0122$34(#12,(512,*6$+#"7&1(8#9"(:,
"7;12";$<$="3'
Hà Nội, ngày 25 tháng 10 năm 2025
$>12+$?1(/012@A1% (BC?D*9>$
0E(F,E(G1% HI JKHL JLM
(N'"(:,($=1% (N'O

PQH
Lớp HP: 251_ECOM2011_03 Nhóm: 04 Điểm nhóm:#
R F+#"?1 SR< $)'"(>4T*U1 R<VW"?1
31 Vũ Thu Hà 23D190113
32 Nguyễn Thị Mỹ Hanh 23D190114
33 Cấn Minh Hằng 23D190115
34 Phan Trung Hiếu 23D190115
35 Phí Trung Hiếu 23D190159
36 Trần Đại Hiệp 23D190064
37 Khổng Tiến Hiệu 23D190116
38 Nguyễn Quý Hoàng 23D190065
39
Nguyễn Lam Hồng
(Nhóm trưởng)
23D190117
40 Trần Thị Thu Hồng 23D190066
Ngày 25 tháng 10 năm 2025
(N'"7/X12##
(Ký và ghi rõ họ tên)#
##Hồng
Nguyễn Lam Hồng

YZ[<\
R
F+#"?1 SR< ($='+] -1(2$-
31 Vũ Thu Hà 23D190113
-Làm nội dung phần 2.2.3.
Chia sẻ nguồn lực và 2.2.4.
Giao hàng xanh
-Thuyết trình
A
32
Nguyễn
Thị Mỹ
Hạnh
23D190114
-Làm nội dung phần 2.1.2.
Hoạt động giao hàng chặng
cuối tại Việt Nam
-Làm slide
A
33
Cấn Minh
Hằng
23D190115
-Làm nội dung phần 3.1. Thực
trạng các mô hình giao hàng
chặng cuối hiện nay
B
34
Phan
Trung Hiếu
23D190115
-Làm nội dung phần 1.1. Khái
niệm và đặc điểm giao hàng
chặng cuối
-Làm slide
A
35
Phí Trung
Hiếu
23D190159
-Làm nội dung phần 3.3.
Thách thức đối với doanh
nghiệp giao hàng
B
36
Trần Đại
Hiệp
23D190064
-Làm nội dung phần 1.2. Mô
hình giao hàng chặng cuối
-Thuyết trình
A
37
Khổng
Tiến Hiệu
23D190116
-Làm nội dung phần 3.4. Giải
pháp hoàn thiện xu hướng
giao hàng chặng cuối tại Việt
Nam
B
38
Nguyễn
Quý Hoàng
23D190065
-Làm nội dung phần 3.2. Đánh
giá thực trạng
B

39
Nguyễn
Lam Hồng
(Nhóm
trưởng)
23D190117
-Làm nội dung phần 2.2.1.
Giao hàng nhanh và 2.2.2. Áp
dụng công nghệ thông minh
trong giao hàng
-Tổng hợp word
A
40
Trần Thị
Thu Hồng
23D190066
-Làm nội dung phần 2.1.1. Thị
trường TMĐT tại Việt Nam
B
Ngày 06 tháng 10 năm 2025
(N'"7/X12##
(Ký và ghi rõ họ tên)#
Hồng
Nguyễn Lam Hồng

^_`a^bc<
d,TUEe:@4e;1(E(f,
Hà Nội, ngày 10 tháng 10 năm 2025
gQh
C(i12"$1,(*12%
1. Thời gian: 20h, 10/10/2025
2. Địa điểm: Online qua ứng dụng Google Meet
3. Nhóm thực hiện: Nhóm 4
4. Đề tài thảo luận đề tài 2: Tìm hiểu về các xu hướng giao hàng chặng cuối
và trình bày thực trạng tại Việt Nam
5. Thành viên tham gia: 10/10
Cd$@*12"(>4T*U1%
1. Nhóm trưởng đề xuất phân chia công việc theo nguyện vọng từng cá nhân,
tất cả đều tán thành.
2. Các ý kiến được thống nhất theo yêu cầu của đề tài thảo luận, chốt được
nhiệm vụ cụ thể của từng thành viên.
3. Cả nhóm thảo luận về những vấn đề trong từng câu hỏi được đảm nhận.
4. Nhóm trưởng thống nhất thời gian làm bài và hoàn thành.
Cj12Vk"%
1. Các thành viên tham gia đầy đủ và bàn bạc tích cực về đề tài được giao
2. Cuộc họp diễn ra suôn sẻ và kết thúc vào 20h30 ngày 10/10/2025
lllllllllllll (m"7&,*d,(FE
# (Nhóm trưởng)
#### # # # # Nguyễn Lam Hồng

^_`a^bc<
d,TUEe:@4e;1(E(f,
Hà Nội, ngày 21 tháng 10 năm 2025
gQhH
C(i12"$1,(*12%
1. Thời gian: 20h, 21/10/2025
2. Địa điểm: Online qua ứng dụng Google Meet
3. Nhóm thực hiện: Nhóm 4
4. Đề tài thảo luận: đề tài 2: Tìm hiểu về các xu hướng giao hàng chặng
cuối và trình bày thực trạng tại Việt Nam
5. Thành viên tham gia: 10/10
Cd$@*12"(>4T*U1%
1. Nhóm trưởng họp bàn và phân công công việc lần 2.
2. Các ý kiến mới được thống nhất theo dàn ý bài làm đã có.
3. Cả nhóm thảo luận về những vấn đề trong từng câu hỏi được đảm nhận.
4. Nhóm trưởng thống nhất thời gian làm bài và hoàn thành mới.
Cj12Vk"%
1. Các thành viên tham gia gần đầy đủ và bàn bạc tích cực về đề tài được giao
2. Cuộc họp diễn ra suôn sẻ và kết thúc vào 21h ngày 21/10/2025
l
l lllllllllllll(m"7&,*d,(FE
# # # # # # # # # # # # # # # # # # # # (Nhóm trưởng)
# # # # # # # # Nguyễn Lam Hồng

\\
DANH MỤC HÌNH..........................................................................................1
LỜI MỞ ĐẦU....................................................................................................2
CHƯƠNG 1 CƠ SỞ LÝ THUYẾT....................................................................3
1.1 Khái niệm và đặc điểm của giao hàng chặng cuối....................................3
1.2. Mô hình giao hàng chặng cuối.................................................................6
1.2.1. Mô hình giao tận nơi..........................................................................6
1.2.2. Mô hình giao đến điểm chỉ định#.......................................................8
CHƯƠNG 2 XU HƯỚNG GIAO HÀNG CHẶNG CUỐI TẠI VIỆT NAM. .10
2.1. Tổng quan về thị trường TMĐT và giao hàng chặng cuối tại Việt Nam10
2.1.1 Thị trường TMĐT tại Việt Nam.......................................................10
2.1.2. Hoạt động giao hàng chặng cuối tại Việt Nam................................13
2.2. Các xu hướng giao hàng chặng cuối tại Việt Nam.................................17
2.2.1. Giao hàng nhanh#.............................................................................17
2.2.2. Áp dụng công nghệ thông minh trong giao hàng##...........................18
2.2.3. Chia sẻ nguồn lực............................................................................19
2.2.4. Giao hàng xanh................................................................................21
CHƯƠNG 3 THỰC TRẠNG XU HƯỚNG GIAO HÀNG CHẶNG CUỐI TẠI
VIỆT NAM VÀ GIẢI PHÁP......................................................................................23
3.1. Thực trạng xu hướng giao hàng chặng cuối hiện nay tại Việt Nam.......23
3.1.1. Mô hình giao hàng nhanh (Express / Same-Day & On-Demand
Delivery)..............................................................................................................23
3.1.2. Mô hình ứng dụng công nghệ thông minh trong giao hàng.............24
3.1.3. Mô hình chia sẻ nguồn lực & mạng lưới.........................................25
3.1.4. Mô hình giao hàng xanh..................................................................25
3.2. Đánh giá thực trạng................................................................................26

3.2.1. Ưu điểm...........................................................................................26
3.2.2. Nhược điểm.....................................................................................27
3.3. Thách thức đối với doanh nghiệp giao hàng..........................................28
3.4. Giải pháp hoàn thiện xu hướng giao hàng chặng cuối tại Việt Nam......29
3.4.1. Giải pháp đối với khách hàng..........................................................29
3.4.2. Giải pháp về quy trình hoạt động của doanh nghiệp........................30
3.4.3. Ứng dụng công nghệ để khắc phục thách thức................................31
3.4.4. Giải pháp vĩ mô và hợp tác ngành...................................................32
KẾT LUẬN......................................................................................................33
TÀI LIỆU THAM KHẢO...............................................................................34

1
D\n
Hình 1.1. Thành phần của chuỗi cung ứng......................................................3
Hình 1.2 Mô hình giao tận nơi có người nhậnE................................................6
Hình 2.1. doanh thu và tỷ lệ tăng trưởng thương mại điện tử B2C tại Việt
Nam giai đoạn 2018–2023..........................................................................................11
Hình 2.2. Thay đổi số lượng shop phát sinh đơn hàng và tốc độ tăng trưởng
doanh số theo quy mô cửa hàng trong quý I năm 2025.............................................12
Hình 2.3. So sánh doanh số của 4 sàn thương mại điện tử trong 6 tháng đầu
năm 2025 và cùng kỳ năm 2024.................................................................................12
EEHình 2.5. GHN áp dụng công nghệ thông minh trong giao hàng chặng cuối
.....................................................................................................................................19

2
oh
Trong những năm gần đây, sự bùng nổ của thương mại điện tử (TMĐT) tại Việt
Nam đã kéo theo nhu cầu giao nhận hàng hóa tăng trưởng nhanh chóng, đặc biệt là ở
khâu giao hàng chặng cuối – giai đoạn tiếp xúc trực tiếp giữa doanh nghiệp và khách
hàng. Khi hành vi tiêu dùng thay đổi theo hướng ưu tiên sự tiện lợi, tốc độ và trải
nghiệm mua sắm trọn vẹn, hoạt động giao hàng không còn đơn thuần là một khâu hậu
cần, mà trở thành yếu tố quyết định năng lực cạnh tranh của doanh nghiệp. Các sàn
TMĐT như Shopee, Lazada, Tiki hay các đơn vị logistics như Giao Hàng Nhanh,
Viettel Post, J&T Express đều đang đầu tư mạnh mẽ để rút ngắn thời gian giao nhận,
tối ưu chi phí và gia tăng sự hài lòng của người tiêu dùng.
Từ thực tế đó, đề tài “Tìm hiểu về các xu hướng giao hàng chặng cuối và trình
bày thực trạng tại Việt Nam” được lựa chọn nhằm làm rõ những thay đổi nổi bật trong
lĩnh vực logistics hiện nay. Nghiên cứu tập trung vào việc hệ thống hóa khái niệm và
mô hình giao hàng chặng cuối, phân tích các xu hướng chủ đạo như giao hàng nhanh,
ứng dụng công nghệ thông minh, chia sẻ nguồn lực và giao hàng xanh. Qua đó, đề tài
hướng đến việc nhận diện thực trạng triển khai tại Việt Nam, đánh giá những thách
thức còn tồn tại và đề xuất các giải pháp nhằm nâng cao hiệu quả, tính bền vững của
hoạt động giao hàng trong tương lai.

3
Ropq
C (-$1$='+#r5,r$)',m32$34(#12,(512,*6$
Khái niệm giao hàng chặng cuối
Giao hàng chặng cuối (tiếng anh là Last mile delivery) là một khái niệm đã xuất
hiện từ lâu và ngày càng trở nên thiết yếu trong bối cảnh công nghệ 4.0 phát triển
mạnh mẽ. Hiện nay, chủ đề này thu hút sự quan tâm đáng kể từ các nhà nghiên cứu,
yêu cầu những đánh giá và phân tích chuyên sâu. Ban đầu, thuật ngữ “chặng cuối”
được sử dụng trong ngành viễn thông để chỉ giai đoạn cuối của mạng lưới, nơi kết nối
trực tiếp khách hàng với mạng. Điểm đặc trưng của kết nối này là mỗi đoạn “chặng
cuối” chỉ phục vụ một khách hàng duy nhất.#
Theo thời gian, khái niệm này đã được mở rộng và áp dụng vào nhiều lĩnh vực
khác nhau, đặc biệt là trong vận chuyển và phân phối. Trong lĩnh vực logistics,
(Lindner, 2011) định nghĩa giao hàng chặng cuối là “giai đoạn cuối cùng của quá trình
giao hàng”, bao gồm tất cả các hoạt động và quy trình cần thiết để vận chuyển hàng
hóa từ điểm chuyển tải cuối đến điểm giao cuối cùng. Đối với mô hình B2C, (Gevaers
và cộng sự, 2009) nhấn mạnh rằng giao hàng chặng cuối không chỉ là một chuỗi các
hoạt động và quy trình, mà còn mang lại giá trị quan trọng cho tất cả các bên liên quan
trong chuỗi giao hàng.#
Hình 1.1. Thành phần của chuỗi cung ứng
Một cách ngắn gọn, giao hàng chặng cuối (GHCC) là phần kết của quá trình
giao hàng, nơi các gói hàng được vận chuyển từ trung tâm phân phối (distribution
center), trung tâm fulfillment, các nhà kho thực hiện hoặc trung tâm địa phương đến
tận tay khách hàng. Đây là giai đoạn quan trọng và đầy thách thức nhất, vì nó ảnh

4
hưởng trực tiếp đến sự hài lòng và đóng vai trò quan trong trong việc giữ chân khách
hàng.#
Đối với khách hàng, GHCC là phần hữu hình nhất trong trải nghiệm mua sắm
trực tuyến của họ. Họ mong đợi giao hàng nhanh chóng, đáng tin cậy và thuận tiện,
đưa sản phẩm của họ đến tận tay họ một cách nhanh chóng và dễ dàng. Bằng cách tối
ưu hóa giao hàng cuối cùng, các doanh nghiệp có thể cung cấp trải nghiệm mua sắm
liền mạch, giảm thiểu sự ngắt quãng trong quá trình mua hàng của người mua hàng.
Từ đó khách hàng sẽ dần trở thành khách hàng trung thành.#
Những đặc điểm của giao hàng chặng cuối:
Thứ nhất là chi phí cao, giao hàng chặng cuối thường có chi phí cao nhất trong
toàn bộ chuỗi cung ứng. Những chi phí này bao gồm chi phí vận chuyển nội đô, chi
phí kho bãi và chi phí cho các đơn hàng nhỏ lẻ, phân tán. Trong các đô thị lớn, việc
vận chuyển qua các tuyến đường đông đúc, giao thông tắc nghẽn, và thời của giao
hàng tới từng địa chỉ cụ thể của khách hàng khiến cho chi phí vận chuyển gia tăng
đáng kể. Ngoài ra, các đơn hàng có giá trị thấp, đa dạng, dẫn đến việc chi phí vận
chuyển không tỷ lệ thuận với giá trị hàng hóa.
Thứ hai là ô nhiễm môi trường và sự không hiệu quả, giao hàng chặng cuối
cũng góp phần gây ô nhiễm không khí và tiếng ồn, đặc biệt khi các phương tiện vận
chuyển cũ và không tối ưu. Tình trạng các thành phố đông đúc, việc lưu thông qua các
tuyến đường nhỏ hẹp hoặc kẹt nghẽn không chỉ làm tăng chi phí vận hành mà còn làm
giảm hiệu quả giao hàng. Mặc dù có nhiều công nghệ hỗ trợ giúp giảm thiểu các vấn
đề này, nhưng vấn đề ô nhiễm và sự thiếu hiệu quả vẫn là thách thức lớn đối với ngành
logistics.
Thứ ba là yêu cầu giao hàng nhanh chóng. Ngày nay, với sự phát triển mạnh
mẽ của thương mại điện tử, khách hàng yêu cầu giao hàng ngày càng nhanh chóng
hơn. Đặc biệt là trong các dịch vụ thương mại điện tử B2C (Business to Customer),
người tiêu dùng kỳ vọng nhận được hàng hóa trong thời gian ngắn nhất, thậm chí là
ngay trong ngày hoặc theo yêu cầu. Điều này gây áp lực cho các doanh nghiệp
logistics, yêu cầu họ phải có khả năng cung cấp dịch vụ giao hàng nhanh chóng và
đúng hẹn.

5
Thứ tư là hạ tầng logistics còn thiếu thốn. Một trong những yếu tố gây khó
khăn trong giao hàng chặng cuối là hạ tầng và giao thông tại các khu vực đô thị. Nhiều
thành phố lớn và khu vực nông thôn có hệ thống đường xá, giao thông tắc nghẽn, và
kém hiệu quả, dẫn đến quá trình giao hàng khó tìm địa chỉ và tốn thời gian. Điều này
không chỉ làm tăng thời gian giao hàng mà còn làm tăng chi phí do cần phải sử dụng
phương tiện vận chuyển đặc biệt hoặc làm việc với các đối tác giao hàng địa phương.
Thứ năm là phương tiện vận tải lạc hậu. Phương tiện vận tải trong quá trình
giao hàng chặng cuối vẫn còn lạc hậu ở nhiều khu vực. Các xe tải nhỏ, xe máy hoặc
phương tiện giao hàng thủ công có thể không đáp ứng được yêu cầu về thời gian hay
hiệu quả. Việc cải tiến phương tiện vận tải theo hướng hiện đại hoặc sử dụng phương
tiện tự động là một giải pháp tiềm năng để tăng năng suất giao hàng, hiệu quả, hiện tại,
việc áp dụng những phương tiện hiện đại vẫn gặp khó khăn về chi phí và cơ sở hạ
tầng.
Thứ sáu là vấn đề liên quan khác đến khách hàng. Khách hàng có thể gây ra
nhiều khó khăn đối với khâu cung cấp dịch vụ khi cung cấp địa chỉ không chính xác
hoặc không rõ ràng trong thông tin. Thêm vào đó, việc khách hàng thay đổi thời gian
nhận hàng hoặc không có mặt khi giao hàng đến khiến cho quá trình giao hàng bị gián
đoạn và tốn kém. Ngoài ra, sự không hài lòng của khách hàng do thời gian giao hàng
chậm hoặc hàng hóa bị hư hỏng cũng ảnh hưởng đến hướng đi của quá trình giao hàng
và mối quan hệ giữa khách hàng với doanh nghiệp.
Tùy vào phương thức giao cụ thể, chi phí chặng cuối chiếm từ 13–75% chi phí
chuỗi cung ứng vì vậy cần quản lý để giảm lãng phí tiền bạc, thời gian và nguồn lực,
tăng chất lượng dịch vụ và tính cạnh tranh của logistics và doanh nghiệp TMĐT.
Tầm quan trọng của giao hàng chặng cuối
Giao hàng chặng cuối là điểm chạm trực tiếp của doanh nghiệp với khách hàng
trong TMĐT, bao gồm: phương tiện vận chuyển và vị trí phân phối. Chính vì vậy:
Giao hàng chặng cuối mang tính quyết định tới sự hài lòng của khách hàng khi
họ tiếp nhận sản phẩm trong lần đầu tiên. Khi mà nhu cầu tăng cao, sự kỳ vọng của
khách hàng càng lớn thì việc tối ưu hóa hiệu quả của giao hàng chặng cuối chính là
yếu tố tiên quyết và có sự ảnh hưởng lớn tới các chiến lược dịch vụ khách hàng của bất
kỳ doanh nghiệp logistics nào hiện nay.

6
Giao hàng chặng cuối có ý nghĩa quan trọng và mang tính tiên quyết đối với sự
thành công và sự ủng hộ của khách hàng dành cho dịch vụ của các công ty logistics
hiện nay. Vì thế mà các doanh nghiệp cần có sự tính toán để quá trình giao hàng chặng
cuối được thực hiện một cách nhanh chóng nhất nhưng vẫn đảm bảo quy trình được tối
ưu và tiết kiệm chi phí để mang lại sự hiệu quả cao hơn.
CHCi(&1(2$34(#12,(512,*6$
1.2.1. Mô hình giao tận nơi
Mô hình giao tận nơi có người nhận
Hình 1.2 Mô hình giao tận nơi có người nhậnE
Giao hàng tận nơi có người nhận là phương thức vận chuyển hàng hóa trực tiếp
từ điểm xử lý đơn hàng (kho hoặc cửa hàng) đến địa chỉ cụ thể do khách hàng chỉ
định, ví dụ như nhà riêng hoặc nơi làm việc.
Phương thức này mang lại trải nghiệm dịch vụ khách hàng tốt, do người tiêu
dùng không cần di chuyển, giúp họ tiết kiệm thời gian, công sức và tận hưởng sự tiện
lợi tối đa.
Tuy nhiên, mô hình này tồn tại một số hạn chế. Nếu khách hàng vắng mặt tại
thời điểm giao hàng, đơn vị vận chuyển phải thực hiện giao lại nhiều lần, dẫn đến tăng
tỷ lệ giao hàng thất bại trong lần đầu tiên (first-attempt delivery failure). Thêm vào đó,
tỷ lệ lấp đầy phương tiện vận chuyển (vehicle fill rate) thường thấp do hàng hóa được
đóng gói theo từng đơn hàng riêng lẻ với kích thước không đồng đều. Việc tối ưu hóa
tuyến đường (route optimization) cũng trở nên phức tạp hơn do các đơn hàng thường

7
nhỏ lẻ và phân tán về mặt địa lý, dẫn đến tổng thời gian giao hàng kéo dài. Ngoài ra,
tình trạng ùn tắc giao thông tại các đô thị lớn có thể gây chậm trễ, tác động tiêu cực
đến chất lượng dịch vụ.
Đây vẫn là phương thức phổ biến toàn cầu, chiếm 99,4% ở Mỹ Latinh và 98,3%
ở Châu Phi. Mô hình này chiếm hơn 95% tổng giao dịch thương mại điện tử B2C
(TMĐT B2C), đặc biệt phổ biến với hình thức Giao hàng thu tiền hộ (COD).
Tuy nhiên, tại Việt Nam, việc thiếu hệ thống mã bưu chính (Postal Code) chuẩn
hóa, kết hợp với các địa chỉ không rõ ràng (như ấp, làng, xã) hoặc thiếu thông tin số
nhà, số điện thoại, khiến việc giao hàng gặp nhiều khó khăn. Thực trạng này dẫn đến
tỷ lệ giao hàng thành công thấp, do khách hàng đặt nhiều đơn nhưng không nhận hàng
hoặc đơn vị vận chuyển không thể liên lạc để giao hàng
Mô hình giao tận nơi không có người nhận
Đây là phương thức cho phép giao hàng đến địa điểm chỉ định mà không yêu
cầu người nhận phải có mặt tại thời điểm đó. Các hình thức phổ biến bao gồm:
sEE(tE+#41(#u1(4'v3,,vBBw% Nhân viên giao hàng được ủy quyền truy
cập và để hàng bên trong gara, nhà kho hoặc tòa nhà của người nhận. Phương thức này
đòi hỏi mức độ tin cậy và bảo mật cao giữa khách hàng và đơn vị vận chuyển, do đó
hiện chỉ phổ biến ở một số khu vực giới hạn tại Mỹ.
dE1(U1(#12uDvT$+v7984.vBw% Các hộp này được lắp đặt cố định bên ngoài
nhà riêng hoặc khu căn hộ, nhân viên giao hàng sử dụng chìa khóa hoặc mã để mở.
Giải pháp này đảm bảo an toàn cho hàng hóa, tăng tỷ lệ giao hàng thành công. Tuy
nhiên, nó đòi hỏi chi phí đầu tư ban đầu lớn và bị giới hạn bởi kích thước của hàng
hóa. Dịch vụ này được sử dụng rộng rãi tại Mỹ và Trung Quốc, dẫn đầu bởi các nhà
bán lẻ lớn như Amazon, Walmart, Alibaba và JD.com.
dE2$34(#12,xrd12u48$Tv@vT$+v7984.vBw% Các hộp này thuộc sở hữu
của doanh nghiệp vận chuyển. Khách hàng sử dụng mã hoặc chìa khóa để nhận hàng,
và hộp sẽ được thu hồi sau đó. Mặc dù chi phí đầu tư thấp hơn (so với hộp cố định) và
giúp tăng tỷ lệ giao hàng thành công, doanh nghiệp phải xây dựng quy trình thu hồi
hộp hiệu quả. Phương thức này phổ biến trong lĩnh vực giao thực phẩm và đồ ăn
nhanh, thường tích hợp các tính năng an toàn như khóa chống trộm và cơ chế giữ
nhiệt.

8
Các phương thức giao hàng không cần người nhận đang ngày càng trở nên phổ
biến, đặc biệt tại các quốc gia phát triển và đang phát triển.
1.2.2. Mô hình giao đến điểm chỉ địnhE
Mô hình giao đến điểm chỉ định – Giao đến cửa hàngl
Hình 1.3. Mô hình Giao đến điểm chỉ định – Giao đến cửa hàngE
Dịch vụ giao hàng đến cửa hàng (thường gọi là "Click-and-Collect") cho phép
khách hàng đặt hàng trực tuyến (online) và đến nhận hàng trực tiếp tại một cửa hàng
bán lẻ hoặc cửa hàng đối tác.
Hình thức này đặc biệt phù hợp với các mặt hàng tiêu dùng nhanh (FMCG) và
hàng tạp hóa, là những sản phẩm có thể đã có sẵn tại cửa hàng hoặc được chuyển đến
từ các trung tâm thực hiện đơn hàng (fulfillment centers). Khách hàng sẽ nhận được
thông báo khi đơn hàng sẵn sàng để họ chủ động đến cửa hàng nhận hàng.
Ưu điểm của mô hình này là khách hàng có thể chủ động thời gian nhận hàng,
tiết kiệm thời gian mua sắm. Về phía doanh nghiệp, phương thức này giúp thu hút
khách hàng đến cửa hàng, tạo cơ hội bán thêm (upsell/cross-sell). Đồng thời, nó cho
phép vận chuyển hàng hóa với khối lượng lớn và đạt tỷ lệ lấp đầy phương tiện cao (do
gom hàng đến một điểm).
Hạn chế chính là khách hàng phải tự di chuyển đến cửa hàng để lấy hàng. Về
phía cửa hàng, cần phải bố trí thêm không gian lưu trữ và nhân sự để xử lý (pick-and-
pack) các đơn hàng trực tuyến.
Mô hình giao đến điểm chỉ định - Giao đến điểm lấy hàng

9
Hình 1.4. Mô hình Giao đến điểm chỉ định – Giao đến điểm lấy hàngE
Giao hàng đến điểm lấy hàng (Collection and Delivery Points - CDP, hay
PUDO - Pick-Up Drop-Off) là dịch vụ vận chuyển hàng hóa đến các địa điểm trung
gian thuận tiện như cửa hàng tiện lợi, bưu cục, hoặc trạm xăng.
Các điểm này thường có giờ hoạt động linh hoạt (kéo dài), cho phép khách
hàng chủ động đến nhận hàng vào thời điểm phù hợp với họ. CDP có thể hoạt động
dưới dạng tủ khóa thông minh (smart lockers) tự động hoặc các điểm dịch vụ có nhân
viên hỗ trợ.
Phương thức này phù hợp với các mặt hàng tiêu dùng phổ thông như sách, đồ
điện tử. Khách hàng sẽ nhận thông báo khi hàng đến và tự di chuyển đến điểm CDP để
nhận hàng.
Ưu điểm chính là sự tiện lợi và linh hoạt; khách hàng không cần phải có mặt tại
nhà để nhận hàng và có thể chọn các điểm lấy hàng gần nơi ở hoặc nơi làm việc. Tuy
nhiên, nhược điểm là tỷ lệ lấp đầy phương tiện vẫn có thể thấp (so với việc gom hàng
số lượng lớn đến kho), do hàng hóa vẫn được đóng gói riêng lẻ. Tần suất và khối
lượng giao hàng đến các điểm CDP thường không đồng đều, khiến tuyến đường vận
chuyển kém ổn định.
Tại Việt Nam, một số đơn vị vận chuyển đã áp dụng mô hình CDP, tận dụng
các cửa hàng tiện lợi (như Shop & Go, Circle K, Vinmart) làm điểm thu tiền và
giao/nhận hàng.

10
H`yz{<
HC Cj12|*31+!"(}"7/~12+#2$34(#12,(512,*6$";$<$="3'
2.1.1 Thị trường TMĐT tại Việt Nam
Trong những năm gần đây, thương mại điện tử (TMĐT) tại Việt Nam đã có
những bước phát triển mạnh mẽ, trở thành một trong những thị trường tăng trưởng
nhanh nhất khu vực Đông Nam Á. Sự bùng nổ của công nghệ số, mạng xã hội và xu
hướng tiêu dùng trực tuyến đã góp phần định hình một hệ sinh thái TMĐT năng động
và cạnh tranh cao.
Theo số liệu của Statista, năm 2022 tỷ lệ thâm nhập của người dùng mạng xã
hội tại Việt Nam ước đạt khoảng 75,57% trên tổng dân số; đến năm 2030, tỷ lệ này sẽ
đạt mức 85,74%. Đặc biệt, Statista nhận định: livestream sẽ là một phần không thể
thiếu trong chiến lược thương mại xã hội của nhiều doanh nghiệp tại Việt Nam và sẽ
trở thành xu hướng trong thời gian tới, vì nó vẫn đang trong giai đoạn tăng trưởng,
đánh bại các danh mục nội dung phổ biến khác, bao gồm cả giải trí. Kéo theo đó,
thanh toán điện tử tại Việt Nam sẽ tăng trưởng nhanh chóng trong thời gian tới. Thực
tế cho thấy, thanh toán điện tử tại Việt Nam sẽ tăng trưởng nhanh chóng trong thời
gian tới. Việt Nam đứng thứ 2 khu vực Đông Nam Á sau Indonesia (83 tỷ USD), Việt
Nam (29 tỷ USD) và đứng trước Thái Lan (24 tỷ USD). Với chỉ 30% người trưởng
thành sử dụng dịch vụ ngân hàng kỹ thuật số, Việt Nam còn nhiều tiềm năng để tăng
trưởng thanh toán điện tử. Báo cáo “Kinh tế khu vực Đông Nam Á năm 2022” của
Google, Temasek và Bain & Company cho thấy, quy mô kinh tế số Việt Nam có thể
đạt 50 tỷ USD vào năm 2050, trong đó TMĐT sẽ là lĩnh vực đóng góp quan trọng
nhất. Dự báo giá trị mua sắm trực tuyến trung bình của người tiêu dùng trực tuyến sẽ
tiếp tục tăng mạnh mẽ, từ mức 381 USD/người năm 2021 lên 671 USD/người vào năm
2025

11
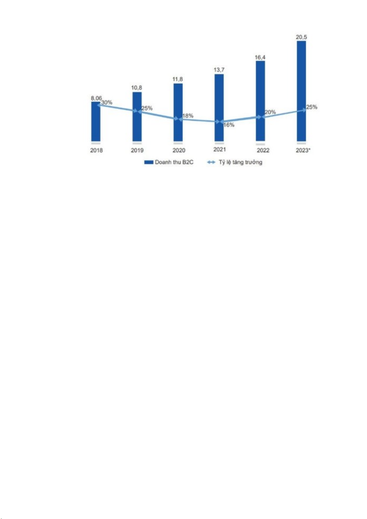
Hình 2.1. doanh thu và tỷ lệ tăng trưởng thương mại điện tử B2C tại Việt
Nam giai đoạn 2018–2023
Số liệu Hình cho thấy, nếu như năm 2018, doanh thu TMĐT B2C Việt Nam
mới chỉ đạt khoảng 8 tỷ USD, thì đến năm 2019, đã vượt mốc 10 tỷ USD (đạt 10,8 tỷ
USD). Doanh thu tiếp tục tăng lên 11,8 tỷ USD vào năm 2020, và 16,4 tỷ USD năm
2022. Với doanh thu đạt tới 20,5 tỷ USD trong năm 2023, tỷ trọng doanh thu TMĐT
B2C chiếm khoảng 7,8- 8% so với tổng mức bán lẻ hàng hóa và doanh thu dịch vụ tiêu
dùng cả nước. Báo cáo của Bộ Công Thương cho thấy, năm 2024, quy mô thị trường
đạt trên 25 tỷ USD, tăng 20% so với năm 2023, chiếm khoảng 9% tổng mức bán lẻ
hàng hóa và doanh thu dịch vụ tiêu dùng cả nước. Có thể thấy, người tiêu dùng ngày
càng ưa chuộng các phương thức mua sắm trực tuyến.
Theo thống kê của Metric, trong quý I/2025, tổng doanh số toàn thị trường
TMĐT Việt Nam đạt 101,4 nghìn tỷ đồng, tăng 42,29% so với cùng kỳ năm 2024. Sản
lượng hàng hóa tiêu thụ đạt 950,7 triệu sản phẩm, tăng 24% so với quý I năm ngoái.
Tuy vậy, số lượng nhà bán có phát sinh đơn hàng lại ghi nhận mức giảm đáng kể, chỉ
còn 472,5 nghìn shop, giảm 7,45%, tương đương hơn 38.000 shop rời khỏi cuộc chơi
so với cùng kỳ (quý I/2025, số liệu chỉ thống kê trên 4 sàn Shopee, Lazada, Tiki,
Tiktok Shop)
Tuy nhiên, nhóm nhà bán có doanh số cao lại ghi nhận mức tăng trưởng vượt
trội. Đặc biệt, số lượng shop đạt doanh số từ 50 tỷ đồng trở lên đã tăng gần gấp đôi
(+95%) so với quý I/2024. Điều này phản ánh sự phân hóa rõ rệt trong thị trường:

12
Trong khi các nhà bán nhỏ lẻ rút lui dần, thì các nhà bán lớn với năng lực vận hành bài
bản đang khẳng định vị thế dẫn đầu.
Hình 2.2. Thay đổi số lượng shop phát sinh đơn hàng và tốc độ tăng trưởng
doanh số theo quy mô cửa hàng trong quý I năm 2025
Riêng quý II/2025, doanh số đạt gần 101.000 tỷ đồng với gần một tỷ sản phẩm
được tiêu thụ. Tuy nhiên, đằng sau bức tranh rực rỡ về doanh số lại tồn tại một nghịch
lý: số lượng nhà bán hàng giảm mạnh.
Hình 2.3. So sánh doanh số của 4 sàn thương mại điện tử trong 6 tháng đầu
năm 2025 và cùng kỳ năm 2024
Báo cáo cho thấy, đến cuối quý II/2025, trên bốn sàn TMĐT chỉ còn khoảng
537.900 shop hoạt động, giảm 6,25% so với cùng kỳ năm 2024. Tính từ đầu năm đến
Bấm Tải xuống để xem toàn bộ.