



















Preview text:
Phương pháp nghiên cứu khoa học
Các phương pháp nghiên cứu định lượng Tran Nam Quoc, PhD
Nghiên cứu định lượng là gì?
► Nghiên cứu định lượng: Nghiên cứu sử dụng các phương pháp (thống kê) khác nhau
để lượng hóa, đo lường, phản ánh và diễn giải các mối quan hệ giữa các nhân tố/các biến với nhau.
► Nghiên cứu dựa vào đo lường số lượng.
► Thường gắn với việc kiểm định (lý thuyết) dựa vào quy trình diễn dịch/suy diễn. ► Ví dụ:
► Đo lường mức độ hài lòng của khách hàng đối với chất lượng dịch vụ.
► Đo lường mức độ trung thành của người lao động. ► Ví dụ khác? 2 / 74
Mục đích và ứng dụng của nghiên cứu định lượng
► Đo lường mức độ của các mối quan hệ.
► Mối quan hệ giữa giá thịt heo và giá thịt gà (co giãn trong vi mô).
► Mối quan hệ giữa giá xăng và tiền lương.
► Kiểm định các giả thuyết nghiên cứu có được từ lý thuyết.
► Kiểm định giả thuyết cho rằng tăng lương thì người lao động hài lòng hơn là giảm lương.
► Có nhiều ứng dụng trong thực tế và trong kinh doanh: đánh giá mức độ hài lòng, hành
vi, đánh giá năng lực lao động, … ► Làm luận văn. 3 / 74
Sự phổ biến của phương pháp phân tích định lượng
► Phương pháp định lượng phổ biến do:
► Sự nghi ngờ kết quả của các phương pháp định tính.
► Sự phát triển của các phương pháp thống kê.
► Sự hỗ trợ mạnh mẽ của các phần mềm máy tính: STATA, R, SPSS, …
► Các nhà nghiên cứu thường tin vào định lượng hơn là định tính.
► Đa số các bài báo khoa học quốc tế hiện nay trong lĩnh vực kinh tế đều
sử dụng phương pháp định lượng.
► Yêu cầu trong các đề cương nghiên cứu ở chương trình nghiên cứu sinh (ở VN). 4 / 74
Các phương pháp phân tích định lượng ► Thống kê mô tả
► Kiểm định sự tin cậy của thang đo (Cronbach Alpha test)
► Phân tích thành phần chính (CPA)
► Phân tích tương quan
► Phân tích hồi quy ► Hồi quy tuyến tính.
► Xác suất tuyến tính: Hồi quy logistics. 5 / 74
RECAP: Thống kê mô tả
► Trung bình và kỳ vọng ► Phương sai
► Độ lệch chuẩn
► Khoảng biến thiên, trung vị, mode
► Các loại thang đo (Xem bài tuần 4 – 5) 6 / 74
RECAP: Thống kê mô tả
► Mean (Trung bình): giá trị trung bình của một dãy số 𝒏 𝒙 𝒙 ഥ
𝒙 = 𝟏 + 𝒙𝟐 + … + 𝒙𝒏 = 𝒊 . 𝒏 𝒏 𝒊
► Expectation (Kỳ vọng): giá trị trung bình có trọng số của một biến ngẫu nhiên. 𝒏
𝑬 𝑿 = 𝒑𝒊𝒙𝒊. 𝒊
► Trong đó, 𝑝𝑖là xác suất xuất hiện phần tử 𝑥𝑖. 7 / 74
RECAP: Thống kê mô tả
► Tìm phân phối xác suất của biến ngẫu nhiên X. 8 / 74
RECAP: Thống kê mô tả
► Phương sai (Variance) được sử dụng
để đo lường độ phân tán của dữ liệu so với giá trị trung bình.
► Phương sai = Trung bình của bình
phương khoảng cách của mỗi điểm dữ
liệu tới giá trị trung bình.
► Phương sai càng lớn thì dữ liệu càng phân tán.
► Phương sai thực chất là giá trị bình
phương của độ lệch chuẩn. 9 / 74
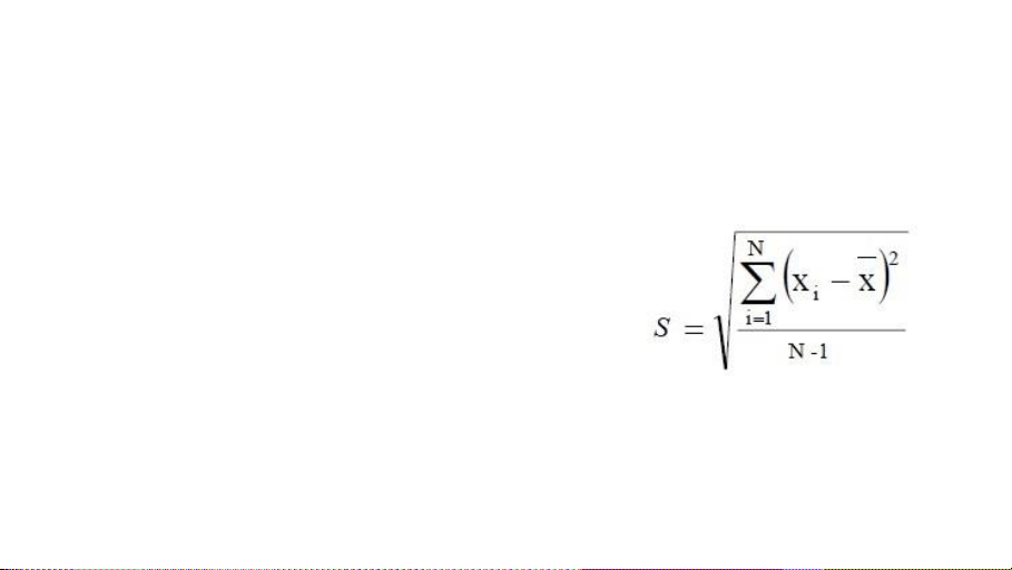
RECAP: Thống kê mô tả
► Phụ thuộc vào Mẫu hay Tổng thể, ta có Công thức để tính Phương sai như sau
► Phương sai Tổng thể (Population variance):
𝜎2 = σ𝑁 (𝑥𝑖−𝜇)2 𝑖=1
, N là kích thước của population. 𝑁
► Phương sai Mẫu (Sample variance):
𝑠2 = 𝑉(𝑋) = σ𝑁 (𝑥𝑖− ҧ𝑥)2 𝑖=1
, N là kích thước của sample. 𝑁−1 10 / 74 10 / 82
RECAP: Thống kê mô tả 11 / 74 11 / 82
RECAP: Thống kê mô tả
► Độ lệch chuẩn (Standard deviation) được sử dụng để
đo lường giá trị chênh lệch trong tập dữ liệu so với giá trị trung bình.
► Nói cách khác là độ biến thiên của tất cả các quan sát so với giá trị trung bình.
► Thông thường để tính độ lệch chuẩn, ta chỉ cần lấy giá
trị căn bậc 2 của Phương sai. 12 / 74 12 / 82
RECAP: Thống kê mô tả
► Hình bên trái thể hiện sự khác nhau hình dáng
phân phối xác suất của 2 Mẫu:
► Có giá trị trung bình như nhau
► Độ lệch chuẩn khác nhau.
► Độ lệch chuẩn thấp hơn cho thấy mức độ biến
thiên của dữ liệu thấp hơn. Điều này cũng
đồng nghĩa là dữ liệu mang tính đồng đều hơn.
► Độ lệch chuẩn lớn hơn thì dữ liệu trải rộng và
nằm xa giá trị trung bình và ngược lại. 13 / 74 13 / 82
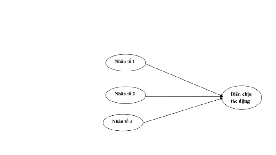
Mô hình nghiên cứu và biến nghiên cứu
► Mô hình nghiên cứu: chỉ mối quan hệ giữa các nhân tố (biến nghiên cứu độc lập) với
một yếu tố chịu tác động nào đó (biến nghiên cứu phụ thuộc).
► Biến độc lập: biến nghiên
cứu không chịu tác động của các biến khác. ► Giải thích cho biến phụ thuộc.
► Biến phụ thuộc: biến nghiên
cứu chịu sự tác động của biến khác.
► Thường được thiết lập thông qua các lý thuyết. 14 / 74
Mô hình nghiên cứu và biến nghiên cứu
► Biến tiềm ẩn: biến không thể trực tiếp đánh giá mà phải thông qua nhiều khía cạnh khác nhau.
► Để xác định độ tin cậy của sản phẩm thì cần thông qua
► Sản phẩm đáp ứng được kỳ vọng về độ bền
► Uy tín của công ty trên thị trường ► Hành vi của nhân viên ► …
► Biến quan sát: các khía cạnh có thể khảo sát đối tượng điều tra được.
► Có thể quan sát thông qua các câu hỏi trong bảng hỏi.
► Trong nghiên cứu hành vi, các nhân tố chính đa số là các biến tiềm ẩn. 15 / 74
Xây dựng biến nghiên cứu
► Các nhà nghiên cứu cần xác định được mục tiêu nghiên cứu rõ ràng.
► Khi xây dựng biến cần tham khảo các nghiên cứu trước đó (đã công bố khoa học).
► Có thể kế thừa bộ câu hỏi đã được sử dụng trước đó và điều chỉnh cho phù hợp
với nghiên cứu của mình.
► Đối với biến mới không kế thừa từ nghiên cứu khác nó phải được xây dựng thông qua một
chu trình mang tính khoa học.
► Một số quy tắc kinh nghiệm:
► Một nhân tố (biến tiềm ẩn) phải được xây dựng dựa vào tối thiểu 3 biến quan sát.
► Một biến quan sát chỉ thể hiện một khía cạnh duy nhất (tránh lưỡng lự khi trả lời). 16 / 74
Kiểm định sự tin cậy thang đo
► Khi một biến tiềm ẩn được xây dựng từ một nhóm biến quan sát.
► Sẽ có những biến không cần thiết.
► Chúng ta cần kiểm tra sự tin cậy.
► Hai chỉ số thống kê thường được sử dụng: ► Cronbach Alpha
► Hệ số tương quan biến tổng. 17 / 74
Hệ số Cronbach Alpha
► Cronbach Alpha: hệ số cho phép đánh giá xem các biến quan sát nào thuộc về một biến
tiềm ẩn có phù hợp hay không.
► Quy tắc đánh giá: Nếu Alpha ► < 0.6:
Thang đo nhân tố không phù hợp. ► 0.6 – 0.7:
Chấp nhận được với các nghiên cứu mới. ► 0.7 – 0.8: Chấp nhận được. ► 0.8 – 0.95: Tốt. ► >=0.95:
Chấp nhân được, nhưng không tốt nên xem xét các biến quan
sát có hiện tượng trùng biến hay không. 18 / 74
Hệ số tương quan biến tổng
► Hệ số tương quan biến tổng (Corrected Item - Total Correlation): hệ số cho biết mức
độ liên kết giữa một biến quan sát và các biến còn lại.
► Phản ánh mức độ đóng góp vào giá trị khái niệm của nhân tố vủa một biến quan sát cụ thể.
► Chỉ số này càng cao, nghĩa là biến quan sát tương quan càng mạnh với các biến còn lại.
► Quy tắc đánh giá: nếu hệ số tương quan biến tổng nhỏ hơn 0.3 thì phải loại bỏ khỏi nhân tố đánh giá. 19 / 74
Phân tích thành phần chính
► Phân tích thành phần chính (PCA –
Principal Component Analysis): phương
pháp được sử dụng để giảm chiều dữ liệu.
► PCA là phương pháp biến đổi giúp giảm số
lượng lớn các biến có tương quan với nhau
thành tập ít các biến sao cho các biến mới
tạo ra là tổ hợp tuyến tính của những biến cũ
không có tương quan lẫn nhau. 20 / 74