


















Preview text:
TRƯỜNG ĐẠI HỌC BÁCH KHOA HÀ NỘI Bài Tập Dài
Hệ THỐNG ĐIỆN MẶT TRỜI ÁP MÁI
Trần Minh Quang quang.tm191601@sis.hust.edu.vn
Ngành Kỹ thuật điện
Chuyên ngành Hệ thống điện
Giảng viên HD: GV. Giáp Văn Nam Khoa : Điện
Trường : Điện – Điện tử HÀ NỘI, 7/2023 MỤC LỤC
DANH MỤC HÌNH VẼ..................................................................................3
DANH MỤC BẢNG BIỂU...........................................................................................4
CHƯƠNG 1 GIỚI THIỆU CHUNG..........................................................................6 1.
Đặt vấn đề...................................................................................6 2.
Những ưu điểm nổi trội của hệ thống điện mặt trời áp mái.............................7
CHƯƠNG 2 HỆ THỐNG NĂNG LƯỢNG ĐIỆN MẶT TRỜI...............................8 1.
Giới thiệu về hệ thống điện mặt trời..............................................................8 1.1
Tấm pin mặt trời.................................................................................8 1.2
Biến tần (inverter)...........................................................................14 1.3
Dây dẫn DC...................................................................................15 1.4
Các thiết bị bảo vệ quá dòng..............................................................16 1.5
Thiết bị chống sét...............................................................................16 1.6
Hệ thống nối đất.............................................................................18 2.
Các hệ thống điện mặt trời điển hình..........................................................18 3.
Tiêu chuẩn áp dụng đối với hệ thống điện mặt trời áp mái...........................20 3.1
Tiêu chuẩn IEC................................................................................20 3.2
Tiêu chuẩn Việt Nam...........................................................20
CHƯƠNG 3 GIỚI THIỆU VỀ DỰ ÁN...................................................................22 1.
Đánh giá tiềm năng khu vực lắp đặt........................................................22 2.
Các thông số cần thiết................................................................23 2.1
Yêu cầu và đặc trưng của tải tiêu thụ..................................................23 2.2
Đặc điểm vị trí lắp đặt........................................................................24 3.
Các bước thiết kế, tính toán..................................................................25 3.1
Lựa chọn sơ đồ khối.................................................................25 3.2
Tính toán, lựa chọn các thành phần trong hệ thống...........................27
KẾT LUẬN..............................................................................................................28
TÀI LIỆU THAM KHẢO.......................................................................................29 DANH MỤC HÌNH VẼ
Hình 1.1 Bản đồ bức xạ mặt trời trực tuyến do ngân hàng thế giới tài trợ................6
Hình 1.2 Công suất đặt và công suất phát lớn nhất của điện mặt trời trong năm 2019.....7
Hình 2.1. Quy trinh tạo module PV.............................................................................9
Hình 2.2. Bố trí các busbar trên tấm PV..................................................................10
Hình 2.3. Các lớp cấu thành tấm pin năng lượng mặt trời............................................11
Hình 2.4. Diode Bypass và sơ đồ nguyên lý của Diode Bypass.....................................11
Hình 2.5. Đầu nối MC4................................................................................................12
Hình 2.6. Nguyên lý hoạt động của module PV.................................13
Hình 2.7. Đường đặc tính I-V và I-P của tấm pin.......................................................14
Hình 2.8 Bộ Inverter kết nối với PV......................................................................15
Hình 2.9 Sơ đồ nguyên lý bảo vệ tấm pin.....................................................................16
Hình 2.10 Sét đánh lan truyền trong chuỗi pin.........................................................17
Hình 2.11 Hệ thống nối đất.....................................................................................18
Hình 2.12 Sơ đồ hệ thống điện mặt trời độc lập........................................................19
Hình 2.13 Sơ đồ nguyên lý hệ thống điện mặt trời áp mái nối lưới..........................19
Hình 2.14 Sơ đồ nguyên lý hệ thống điện mặt trời nối lưới có tích trữ...........................20
Hình 3.1 Dữ liệu phụ tải của từng tháng trong năm.................................................24
Hình 3.2 Dữ liệu về bức xạ mặt trời tại khu vực lắp đặt...........................................25
CHƯƠNG 1 GIỚI THIỆU CHUNG 1. Đặt vấn đề
Trong khi các dự án nguồn thủy điện lớn đã được khai thác tối đa, các dự án nhiệt
điện than phải đối mặt với áp lực về môi trường thì việc phát triển các nguồn năng
lượng tái tạo, trong đó có năng lượng mặt trời, đang là hướng đi mới tại Việt Nam.
Nước ta là một nước có tiềm năng rất lớn để phát triển năng lượng mặt trời. Mật độ
năng lượng mặt trời trung bình khoảng 4,6 kWh/m2/ngày, số ngày nắng trong năm
trung bình khoảng 2000 giờ. Từ khu vực Tây Nguyên trở vào Nam mật độ NLMT
tăng dần. Cường độ bức xạ mặt trời khu vực này trung bình đạt 4,9-5,7 kWh/m2/ngày.
Hình 1.1 Bản đồ bức xạ mặt trời trực tuyến do ngân hàng thế giới tài trợ
Với các chính sách ưu đãi của Chính phủ, điện mặt trời đã có sự phát triển bùng nổ
mạnh mẽ tại Việt Nam trong hai năm 2021,2022. Năm 2022 có hơn 80 nhà máy
được xây dựng và đưa vào đóng điện hòa vào lưới điện quốc gia với tổng công suất
điện mặt trời hơn 4.8GW và hơn 8.9 GW được phê duyệt 2.
Những ưu điểm nổi trội của hệ thống điện mặt trời áp mái. -
Đơn giản, hiệu suất cao 98%, độ bền cao nhất, có thể lên tới 30 năm không
cần thay thế thiết bị. -
Giảm tiền điện tối đa, giảm lượng điện mua từ lưới vào ban ngày có giá điện
cao hơn đêm, vào thời gian giờ cao điểm. -
Bảo vệ môi trường, không phát thải khí CO2 và không gây tiếng ồn. -
Giảm tải lưới điện mùa khô, giờ cao điểm. -
Tạo mỹ quan, hiện đại, bắt kịp xu thế của thế giới, và chủ trương khuyến
khích của Chính phủ Việt Nam hiện nay. -
Nâng cao hình ảnh doanh nghiệp, giá trị thương hiệu, nhà máy trong mắt đối
tác, khách hàng. Đặc biệt, nhà máy xuất khẩu vào các thị trường khó tính như Nhật Bản, EU, USA,
CHƯƠNG 2 HỆ THỐNG NĂNG LƯỢNG ĐIỆN MẶT TRỜI 1.
Giới thiệu về hệ thống điện mặt trời
Công nghệ quang điện mặt trời - photovoltaic (PV) là một phương pháp biến đổi
ánh sáng mặt trời trực tiếp thành điện bằng pin mặt trời. Hiệu ứng quang điện mặt
trời được quan sát lần đầu tiên bởi Becquerel vào năm 1839, khi ông hướng ánh
sáng mặt trời vào một trong những điện cực của một tế bào điện phân. Sau đó vào
năm 1954, Chaplin, Fuller và Pearson của phòng thí nghiệm Telephone Bell đã chế
tạo tế bào silicon kết tinh khuếch tán với hiệu suất 6% và Reynoldetal (1954) đã
chế tạo một thiết bị tương tự với Cadmium Sulphide. Ngay từ đầu, pin mặt trời đơn
tinh thể silicon đã thu hút nghiên cứu và phát triển đáng kể cho không gian bên
ngoài như với sự ra đời của thời đại vũ trụ vào những năm 1950, nhu cầu về một
nguồn năng lượng nhẹ và đáng tin cậy cho các vệ tinh đã được hiện thực hóa.
Hệ thống quang điện mặt trời bao gồm các thành phần chính: tấm pin mặt trời,
bộ điều khiển sạc, biến tần, thiết bị tích trữ kết nối với nhau để tạo ra điện năng,
hoạt động độc lập hoặc kết hợp với lưới điện (dự phòng lưới). Tầm quan trọng của
các hệ thống điện mặt trời đang ngày càng tăng nhờ các ưu thế của nó như không
có chi phí nhiên liệu, ít bảo trì, không có tiếng ồn và ít hao mòn do không có các
bộ phận chuyển động, v.v. Các đơn vị sản xuất điện của các nhà máy điện mặt trời
cỡ lớn đã được xây dựng, vận hành và giám sát trên toàn thế giới.
Hệ thống điện mặt trời áp mái theo Quyết định 13 của Bộ Công Thương : hệ thống
điện mặt trời có các tấm quang điện được lắp đặt trên mái nhà của công trình xây
dựng và có công suất không quá 1 MW, đấu nối trực tiếp hoặc gián tiếp vào lưới
điện có cấp điện áp từ 35 kV trở xuống của lưới điện.
- Các thiết bị chính của hệ thống điện mặt trời:
1.1 Tấm pin mặt trời
a) Cấu tạo của pin mặt trời - Cel tấm pin:
Là tấm tinh thể silic được pha trộn với các hoạt chất để giúp tạo thành các tinh thể
bán dẫn. Một cell pin gồm 2 tinh thể bán dẫn là tinh thể bán dẫn loại p và tinh thể
bán dẫn loại n. Chất bán dẫn loại n (bán dẫn âm – Negative) có tạp chất là các
nguyên tố thuộc nhóm V, các nguyên tử này dùng 4 electron tạo liên kết và một
electron lớp ngoài liên kết yếu với nhân, đấy chính là các electron dẫn chính. Chất
bán dẫn loại p (bán dẫn dương – Positive) có tạp chất là các nguyên tố thuộc nhóm
III, dẫn điện chủ yếu bằng các lỗ trống. Cell loại p Cell loại n Nguyên Trộn Bo vào Wafer Trộn liệu Photpho vào Wafer Điện Mang điện tích dương Mang điện tích tích âm Hiệu
Giảm hiệu suất và độ tinh Không ảnh suất
khiết (do phản ứng giữa Bo hưởng và O2) Ảnh Bị ảnh hưởng bởi LID Không bị hưởng ảnh hưởng của LID LID Khả
Khả năng chịu bức xạ lớn Chịu bức năng xạ ở mức chịu tương đối bức xạ
Bảng 2.1. So sánh cell pin loại p và cell pin loại n
Hình 2.1. Quy trinh tạo module PV
Dựa trên công nghệ chế tạo cell pin mà nhà sản xuất tạo ra các dòng tấm pin có
công nghệ khác nhau, mỗi loại có những ưu thế khác nhau, đáp ứng yêu cầu của
người sử dụng, nổi bật trong đó là 2 loại Si-Mono (sử dụng silic đơn tinh thể) và
Si-Poly (sử dụng silic đa tinh thể) đang được sử dụng rộng rãi. Mono-Si Poly-Si Giá Giá khá cao (vì Quá trình sản xuất thành sử dụng loại đơn giản và ít tốn kém Silicon cao cấp, tinh khiết) Hiệu Hiệu quả hơn Kém hơn, từ 13-16% suất 16-20% Giảm Chỉ ở mức 30- Lên đến 50% hiệu 40% suất Có màu đen, Có màu xanh hoặc Màu giữa các tế bào xanh đậm sắc có khoảng trống màu trắng Vị trí - Khu vực ít - Khu vực sống lắp nắng và không nhiều nắng. đặt liên tục - Pin - Loại pin này vẫn sản xuất ra khi ở ngoài nắng có điện khi thời tiết khả năng giãn nở và ít nắng chịu nhiệt tốt hơn.
Bảng 2.2. So sánh công nghệ module Mono-si và Poly-si -
Busbar: Là hệ thống dây dẫn bản nhỏ hình chữ nhật mỏng, có diện tích
khoảng 10mm vuông, được đặt ở mặt trước và mặt sau tương ứng với 2 lớp bán
dẫn loại n và p của cell pin nhằm dẫn dòng điện trực tiếp mà cell pin tạo ra hay nói
cách khác đây chính là nơi các electron tự do tập trung lại.
Hình 2.2. Bố trí các busbar trên tấm PV
-Lớp nền Ethylene Vinyl Acetate (EVA):
Là lớp polymer được thiết kế có độ trong suốt cao dùng để đóng gói, cố định vị trí
cell pin và góp phần quan trọng bảo vệ hiệu suất tấm pin nhờ ngăn chặn được hơi
ẩm và bụi bẩn xâm nhập.
Hình 2.3. Các lớp cấu thành tấm pin năng lượng mặt trời - Junctionbox:
Là hộp điện cỡ nhỏ được gắn vào mặt sau của tấm pin năng lượng mặt trời kèm
theo dây kết nối giúp cố định dây cáp DC. Bên trong Junctionbox chứa các Diode
Bypass nhằm tránh hiện tượng trả ngược dòng điện về lại cell tấm pin (hay còn gọi
là hiện tượng phủ bóng) gây ngắn mạch dẫn đến cháy nổ, hư hỏng tấm pin. Khi
một hoặc nhiều cell pin bị che bóng, Diode Bypass sẽ điều hướng để đưa các
electron di chuyển sang dãy cell khác, tránh đổ về điểm che bóng.
Hình 2.4. Diode Bypass và sơ đồ nguyên lý của Diode Bypass - Đầu nối MC4:
Là mối nối chuyên dụng cho việc kết nối chuỗi pin giúp tránh nảy sinh hồ quang,
đặc biệt là hồ quang điện một chiều (cho phép làm việc với điện áp 1500 VDC). Hình 2.5. : Đầu nối MC4
b) Nguyên lý hoạt động của tấm pin mặt trời.
Ánh sáng mặt trời bao gồm các hạt rất nhỏ gọi là photon được tỏa ra từ mặt trời.
Khi va chạm với các nguyên tử silic của pin năng lượng mặt trời, những hạt photon
truyền năng lượng của chúng tới các electron rời rạc, kích thích làm cho electron
đang liên kết với nguyên tử bị bật ra khỏi nguyên tử, đồng thời ở nguyên tử xuất
hiện chỗ trống vì thiếu electron.
Tiếp đó, để dồn các electron rải rác này vào một dòng điện một chiều cần tạo sự
mất cân bằng các electron, sự mất cân bằng này có thể được tạo ra bởi tổ chức bên
trong của silic bằng cách ép một số lượng nhỏ các nguyên tố khác vào cấu trúc này.
Đó chính là công dụng của các lớp bán dẫn loại n và loại p.
Khi hai loại bán dẫn này được đặt cạnh nhau trên một tấm pin, electron dẫn chính
của loại n sẽ nhảy qua để lấp đầy những khoảng trống của loại p. Điều này có
nghĩa là tấm loại n tích điện dương và loại p được tích điện âm, tạo ra một điện
trường. Vì silic là một chất bán dẫn nên có thể hoạt động như một chất cách điện
và duy trì sự mất cân bằng này.
Khi làm cho electron đang liên kết với nguyên tử bị bật ra khỏi nguyên tử electron
sẽ tập trung tại 2 hệ thống thanh busbar, một cell có khả năng tạo ra điện áp trong
khoảng 0,5V đến 2V, do đó để sử dụng được năng lượng tạo ra từ các cell pin
chúng được ghép nối tiếp với nhau tạo thành các tấm pin với điện áp từ 30V đến
45V sau đó được đưa về junctionbox. Các tấm pin sau đó được mắc nối tiếp hoặc
song song với nhau tạo thành các mảng pin thông qua các junctionbox và cổng
MC4 đưa dòng một chiều về inverter.
Hình 2.6. Nguyên lý hoạt động của module PV
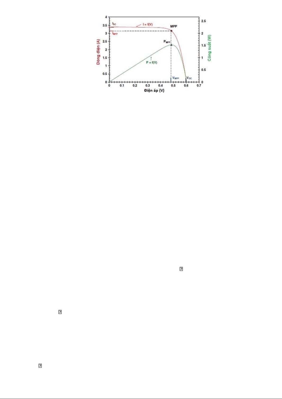
c) Các thông số kỹ thuật chính của tấm pin mặt trời. - Công suất đỉnh:
Công suất đỉnh là công suất phát lớn nhất của tấm pin tại điều kiện thử nghiệm tiêu
chuẩn (Standard Test Conditions – STC) khi nhiệt độ của tấm pin là 250C với áp
suất 1.5 AM và cường độ bức xạ của mặt trời là 1000 W/m2. Công suất đỉnh có đơn
vị là Wat peak ký hiêụ Wp. -
Hiệu suất biến đổi quang điện:
Hiệu suất biến đổi quang điện của pin Mặt Trời là tỷ số giữa công suất điện đỉnh và
tổng năng lượng bức xạ tới pin Mặt Trời ở một nhiệt độ cho trước. η = 𝑃 𝐺∗ 𝐴𝛴 Trong đó: + η
: Hiệu suất biến đổi quang điện (%).
+𝐴𝛴: Diện tích bề mặt pin Mặt Trời được chiếu sáng (m2) .
+ G : Cường độ bức xạ tới.
Đối với pin Mặt Trời tinh thể thương mại, η thường vào khoảng từ 15 – 20 %.
Trong phòng thí nghiệm, η đã có thể đạt đến 25 - 30%. -
Điểm công suất cực đại MPP:
Là điểm mà công suất của hệ thống sinh ra lớn nhất dưới điều kiện bức xạ và nhiệt
độ nhất định. Tại điểm này ta có được các giá trị điện áp làm việc tại công suất cực đại
(Vmpp) và dòng điện làm việc tại công suất cực đại (Impp). - Điện áp hở mạch VOC:
Là điện áp đo được khi mạch hở mạch ngoài của pin mặt trời trong các điều kiện
thử nghiệm, từ điện áp hở mạch ta xác định được số tấm pin tối đa có thể ghép nối tiếp. -
Dòng điện ngắn mạch ISC:
Là dòng điện trong mạch của tấm pin khi chập các cực (+) và (-) với nhau, ISC cũng
là dòng điện lớn nhất mà tấm pin có thể sản xuất trong điều kiện tiêu chuẩn, lúc đó
hiệu điện thế mạch ngoài của pin bằng 0.
Hình 2.7. Đường đặc tính I-V và I-P của tấm pin
1.2 Biến tần (inverter) a) Chức năng -
Bộ inverter biến đổi dòng điện 1 chiều đầu vào (DC) từ module PV thành
dòng điện xoay chiều đầu ra có tần số 50 Hz và điện áp theo yêu cầu. -
Có chức năng tìm điểm công suất cực đại, đảm bảo PV sản suất ra công suất
lớn nhất dưới các điều kiện thay đổi. -
Giám sát đầu ra của PV và đảm bảo an toàn điện b) Các yêu cầu đối với inverter - Hiệu suất làm việc cao -
Trang bị các tính năng đặc biệt như phát hiện tách đảo chủ động - Hạn chế sóng hài -
Các yêu cầu liên quan đến nhiễu điện từ lên các thiết bị lân cận -
Có thể làm việc ở môi trường có nhiệt độ cao -
Vận hành 10-25 năm trong điều kiện khắc nghiệt - Vận hành êm -
Có khả năng giám sát hệ thống PV c) Phân loại Theo số pha -
Inverter 1 pha: biến đổi 1 pha DC sang AC cung cấp cho tải hoặc bơm vào lưới (công suất nhỏ) -
Inverter 3 pha: biến đổi dòng DC thành AC 3 pha của điện lưới (công suất lớn) Theo cấu trúc: -
Module invreter: thiết bị kết nối trực tiếp với Inverter (300W) -
String Inverter: thiết bị kết nối với 1 hoặc vài dãy Inverter -
Centralized Inverter: thiết bị sử dụng cho cánh đồng PV lớn với công suất cỡ MW Theo chức năng: - Các bộ biến đổi DC-DC - Các bộ biến đổi DC-AC -
Các bộ điều khiển sạc
Hình 2.8 Bộ Inverter kết nối với PV 1.3 Dây dẫn DC
Các tấm pin trong cùng một chuỗi sẽ được mắc nối tiếp với nhau bằng chính sợi
dây của tấm pin. Mỗi tấm pin có đầu ra 2 dây (+) và (-), mỗi sợi có chiều dài 1 m.
Từ các đầu chuỗi, các dây dẫn sẽ kết nối các chuỗi với nhau và đưa vào bộ biến
đổi. Việc tính toán lựa chọn dây dẫn phụ thuộc vào 2 yếu tố: + Dòng điện cho phép + Sụt áp cho phép
Điều kiện mang tải tối đa, dòng điện lâu dài tính toán để lựa chọn dây dẫn như sau :
𝐼𝑚𝑎𝑥 = 1,25. 𝐼𝑠𝑐
𝐼𝑡𝑡 = 1,25. 𝐼𝑚𝑎𝑥
𝐼𝑡𝑡 = 1,25. 𝐼𝑠𝑐 Itt
: là dòng điện tính toán của dây dẫn 𝐼𝑠𝑐
: là dòng điện ngắn mạch của chuỗi pin
Điều kiện sụt áp cho phép: độ sụt áp từ đầu chuỗi tới inverter là dưới 1,5%. ∆𝑈% = 𝑈1 − 𝑈2 = 𝐼𝑡𝑡. 𝑅0. 𝐿 ≤ 1,5% 𝑈1
𝑈min_𝑠𝑡𝑟𝑖𝑛𝑔 Trong đó :
∆𝑈% : Là độ sụt áp từ đầu chuỗi tới inverter
𝑈1, 𝑈2 : Là điện áp đầu chuỗi pin và đầu inverter
𝑅𝑜: là điện trở suất của dây dẫn dùng để nối tấm pin L: là chiều dài dây dẫn
Umin_string : là điện áp nhỏ nhất của chuỗi
Tất cả dây cáp DC phải được đặt sao cho dây âm và dương của cùng một string và
cùng một giàn pin phải bó sát vào nhau, giảm tối đa khoảng hở giữa hai dây âm
dương. Điều này giúp giảm lượng sét cảm ứng lên giàn pin, bảo vệ hệ thống. 2.
Các hệ thống điện mặt trời điển hình
Hiện nay có 3 dạng hệ thống mặt trời áp mái được lắp đặt phổ biến trên thế giới là:
- Hệ thống điện mặt trời độc lập:
Là hệ thống phù hợp lắp đặt tại các vùng sâu, vùng xa, hải đảo…, những nơi chưa
có lưới điện. Các tấm pin năng lượng mặt trời có nhiệm vụ hấp thụ bức xạ mặt trời
và chuyển thành dòng điện một chiều (DC). Dòng điện DC này được nạp vào hệ
thống tích trữ (ắc quy) thông qua bộ điều khiển sạc. Cuối cùng, thông qua bộ
chyển đổi điện áp DC – AC (inverter), dòng điện một chiều được chuyển đổi thành
dòng điện xoay chiều để cung cấp cho các thiết bị điện.
Hình 2.12 Sơ đồ hệ thống điện mặt trời độc lập
- Hệ thống điện mặt trời nối lưới không tích trữ:
Dòng điện thu được từ tấm pin mặt trời là dòng điện 1 chiều, qua bộ hòa lưới, có
chức năng biến đổi từ điện một chiều sang điện xoay chiều cùng pha cùng tần số
với điện lưới, sau đó hệ thống sẽ hòa lên điện lưới với nguyên lý: •
Khi công suất hòa lưới bằng công suất tải thì tải tiêu thụ điện hoàn toàn từ pin mặt trời. •
Khi công suất tải tiêu thụ lớn hơn công suất hòa lưới thì tải sẽ lấy thêm công suất từ lưới bù vào. •
Khi công suất tải tiêu thụ nhỏ hơn công suất hòa lưới thì công suất thừa sẽ tải lên lưới.
Hình 2.13 Sơ đồ nguyên lý hệ thống điện mặt trời áp mái nối lưới
- Hệ thống điện mặt trời nối lưới có tích trữ:
Hệ thống này tương tự hệ thống nối lưới tuy nhiên được thiết kế thêm một hệ
thống tích trữ nhỏ hoặc vừa để cung cấp cho tải ưu tiên khi mất điện lưới. Các tải ưu tiên
thường có công suất nhỏ nhưng luôn cần điện ổn định như đèn, quạt, module
mạng, hệ thống camera an ninh, máy tính… •
Khi khởi động, ắc quy được ưu tiên nạp đầy từ pin mặt trời. Hệ thống sẽ luôn
kiểm tra tình trạng ắc quy để đảm bảo ắc quy luôn đầy điện. Khi ắc quy đầy, hệ
thống sẽ chuyển qua hòa lưới, giúp giảm lượng điện tiêu thụ. •
Khi mất điện, bộ chuyển mạch (ATS) sẽ chuyển qua sử dụng lượng điện
được dự trữ trong ắc quy, toàn bộ hệ pin mặt trời được chuyển qua sạc cho ắc quy;
khi có điện trở lại thì hệ thống sẽ chuyển qua hòa lưới bình thường.
Hình 2.14 Sơ đồ nguyên lý hệ thống điện mặt trời nối lưới có tích trữ 3.
Tiêu chuẩn áp dụng đối với hệ thống điện mặt trời áp mái 3.1
Tiêu chuẩn Việt Nam
Theo Thông tư 39/2015/TT-BCT: Quy định về hệ thống điện phân phối –
Chương V – Mục 2: Yêu cầu đối với hệ thống điện mặt trời đấu nối vào lưới điện
phân phối cấp điện hạ áp quy định:
Hệ thống điện mặt trời được phép đấu nối với lưới điện hạ áp khi đáp ứng các yêu cầu sau: 1. Công suất đấu nối a)
Tổng công suất đặt của hệ thống điện mặt trời đấu nối vào cấp điện áp hạ áp
của trạm biến áp hạ thế không được vượt quá 30 % công suất đặt của trạm biến áp đó. b)
Hệ thống điện mặt trời có công suất dưới 03 kVA trở xuống được đấu nối vào
lưới điện hạ áp 01 (một) pha hoặc 03 (ba) pha. c)
Hệ thống điện mặt trời có công suất từ 03 kVA đến 100 kVA (nhưng không
vượt quá 30 % công suất đặt của trạm biến áp hạ thế đấu nối) được đấu nối vào
lưới điện hạ áp 03 (ba) pha. 2.
Hệ thống điện mặt trời phải có khả năng duy trì vận hành phát điện liên tục
trong dải tần số từ 49 Hz đến 51 Hz. Khi tần số hệ thống điện nằm ngoài dải từ 49
Hz đến 51 Hz thì hệ thống điện mặt trời phải có khả năng duy trì vận hành phát
điện trong thời gian tối thiểu 0,2 giây. 3.
Hệ thống điện mặt trời phải có khả năng duy trì vận hành phát điện liên tục
khi điện áp tại điểm đấu nối trong dải từ 85% đến 110% điện áp định mức. Khi
điện áp tại điểm đấu nối nằm ngoài dải từ 85% đến 110% điện áp định mức thì hệ
thống điện mặt trời phải
CHƯƠNG 3 GIỚI THIỆU VỀ DỰ ÁN 1.
Đánh giá tiềm năng khu vực lắp đặt
Công trình hệ thống điện mặt trời áp mái sẽ được lắp đặt trên mái nhà hộ gia đình
nằm ở cạnh quốc lộ 18, phường Phả Lại, thành phố Chí Linh, tỉnh Hải Dương.
Thiết kế kỹ thuật hệ thống điện mặt trời cần phân tích tiềm năng năng lượng mặt
trời tại khu vực để đưa vào tính toán thiết kế. Bước đầu tiên trong thiết kế hệ thống
điện mặt trời là xác định xem địa điểm đang xem xét có tiềm năng mặt trời tốt
không. Dựa trên các tiêu chí sau: - Vị trí lắp đặt:
Lắp đặt tại vị trí có tọa độ địa lý (21 °6’46’’ vĩ độ Bắc, 108°18’1’’ kinh Đông)
Các module sẽ được gắn trên mái nhà. Có 2 khu vực lắp đặt là 2 bên mái có kích
thước là 20m x 4,25m=85 𝑚2.
Tất cả diện tích đều có thể tận dụng cho hệ thống điện mặt trời áp mái
Đối với các hệ thống áp mái, điển hình là ván lợp, là mái dễ làm việc nhất, đá
phiến và mái ngói là khó khăn nhất. Tuy nhiên, có thể lắp đặt các module PV trên
tất cả các loại mái. Nếu mái nhà sẽ cần thay thế trong vòng 5 đến 10 năm, thì nên
thay thế tại thời điểm hệ thống PV được lắp đặt để tránh chi phí tháo và lắp đặt lại
hệ thống PV trong quá trình vận hành. - Bóng râm:
Pin mặt trời bị ảnh hưởng xấu bởi bóng râm. Một hệ thống PV được thiết kế tốt
cần thông thoáng và không bị cản trở nhằm nhận ánh sáng mặt trời đầy đủ từ 9 giờ
sáng đến 3 giờ chiều, trong suốt cả năm. Các bóng nhỏ, chẳng hạn như bóng của
một nhánh của một cây không lá cũng có thể làm giảm đáng kể sản lượng điện của
module năng lượng mặt trời. Theo khảo sát, trong khu vực mái ở Sở Công thương
Hưng Yên không bị các vật cản, cây cối che chắn. Tận dụng tối đa diện tích pin
nếu được lắp trên mái tôn. - Hướng lắp đặt
Hướng lắp đặt tốt nhất đối với các dự án điện mặt trời nói chung sẽ là hướng chính
Nam, vì nước ta nằm ở khu vực bán cầu Bắc. - Độ nghiêng:
Khuyến nghị các module nên được lắp đặt ở cùng một độ dốc với mái nhà, chủ yếu
vì lý do thẩm mỹ. Góc nghiêng tối ưu của tấm pin so với mặt bằng nằm trong
khoảng từ 10 đến 20 độ (tùy tỉnh thành). Dù vậy độ nghiêng hoặc hướng của mái
nhà không cần phải hoàn hảo bởi vì các module năng lượng mặt trời tạo ra 95%
toàn bộ năng lượng khi nằm trong 20 độ theo hướng mặt trời. Việc chọn hướng lắp
đặt module còn phụ thuộc hiện trạng mái sẵn có, cân nhắc giữa phương án cải tạo
mái với yếu tố chi phí. 2.
Các thông số cần thiết
Sau khi đánh giá sơ bộ được tiềm năng vị trí lắp đặt, ta cần xác định các thông số
sau để có thể thiết kế được hệ thống điện mặt trời áp mái nối lưới:
Các yêu cầu và các đặc trưng của tải tiêu thụ điện -
Điều kiện khí tượng vị trí lắp đặt -
Hiện trạng sẵn có về phần kiến trúc và phần điện của công trình 2.1
Yêu cầu và đặc trưng của tải tiêu thụ
Đối với tải tiêu thụ điện, ta cần biết những thông số sau: -
Gồm bao nhiêu thiết bị, các đặc trưng điện mỗi thiết bị như công suất tiêu
thụ, điện áp và tần số làm việc, hiệu suất các thiết bị điện; -
Thời gian làm việc của mỗi thiết bị bao gồm thời gian biểu và quãng thời
gian trong ngày, trong tuần, trong tháng; -
Thứ tự ưu tiên của các thiết bị. Thiết bị nào cần hoạt động liên tục và yêu cầu
ổn định cao, thiết bị nào có thể ngừng tạm thời; Thiết Công Số Thời Điện năng Số Điện bị suất lượng gian tiêu thụ ngày năng (W) sử ngày(kWh) làm tiêu thụ dụng việc/ tháng ( ( giờ/ tháng kWh) ngày) Điều 1500 2 4 12 30 360 hòa Đèn 30 8 5 1,2 30 36 tuýp Máy 90 3 6 1,62 30 48,6 tính Máy 500 1 1 0,5 30 15 giặt Tủ 800 1 24 19,2 30 576 lạnh Tivi 70 2 3 0,42 30 12,6 Nồi 500 1 3 1,5 30 45 cơm điện Quạt 46 2 6 0,552 30 16,56 cây Tổng 36,992 1109,76
Bảng 3.1 Phụ tải tiêu thụ điện của hộ gia đinh lOMoAR cPSD| 59455093 KẾT LUẬN
Qua thực hiện việc thiết kế cho công trình điện mặt trời áp mái một cách cụ thể, chi tiết
có thể đưa ra những kết luận sau:
1. Khi tính toán, thiết kế một hệ thống điện năng lượng mặt trời cần theo đúng quy
trình, đảm bảo các tiêu chuẩn kỹ thuật ngành điện.
2. Chất lượng điện năng từ hệ thống năng lượng mặt trời áp mái nối lưới ổn định, các
thông số đều nằm trong dải hoạt động cho phép.
3. Khu vực địa phận tỉnh Hải Dương chưa có tiềm năng không lớn về năng lượng mặt
trời. Số giờ nắng chưa đủ lớn để làm giảm sự phụ thuộc của phụ tải đối với lưới.
4. Việc đầu tư vào hệ thống có quy mô lớn đòi hỏi phải linh động được nguồn vốn một
cách đa dạng nhằm giảm tiền lãi phải chịu.
5. Cần thêm nhiều chính sách hỗ trợ cho các vùng có cường độ bức xạ và số giờ nắng
thấp nhắm khuyến khích đầu tư vào các nguồn năng lượng tái tạo, quan tâm hơn đến
tác dụng giảm phát thải khí CO2.
6. Chưa đưa được hệ thống giám sát sản lượng (mini – SCADA) vào để giám sát hoạt
động của hệ thống do việc nảy sinh thêm chi phí trong bối cảnh thời gian thu hồi vốn
chậm, phải đầu tư thêm hệ thống máy tính - truyền thông phức tạp và đắt tiền.
Nội dung tính toán thông số và phân tích kinh tế hệ thống điện mặt trời áp mái đã hoàn
thành nhưng vẫn còn nhiều thiếu sót, hiệu suất hệ thống vẫn còn khá thấp. Với sự phát
triển mạnh mẽ của năng lượng mặt trời hiện nay cho thấy cần thiết kế hệ thống ưu việt
hơn bằng việc áp dụng những công nghệ pin mặt trời mới, tối ưu hóa các thành phần
trong hệ thống để nâng cao hiệu suất. 20
TÀI LIỆU THAM KHẢO [1]
Thông tư 39/2015/TT-BCT Quy định hệ thống điện phân phối [2]
TS. Hoàng Dương Hùng, Năng lượng mặt trời lý thuyết và ứng dụng,
Nhà xuất bản Đại học Bách Khoa Đà Nẵng, 2005. [3]
Quyết định số 13/2020 QĐ-TTg, Cơ chế khuyến khích phát triển điện
mặt trời tại Việt Nam. [4]
Renewables 2020, Global Status Report. [5]
NABCEEP, PV Installation Professional Resource Guide, 2016. [6]
PGS.TS Đặng Đình Thống, Pin mặt trời và ứng dụng, Nhà xuất bản
Khoa học và Kỹ thuật, 2004. lOMoAR cPSD| 59455093 [7]
Minh Quan Duong, Ngoc Thien Nam Tran, Gabriela Nioleta Sava,
Vladimir Tanaisiev, Design, Performane and Economic Efficiency Analysis of
the photovoltaic rooftop system, 2019. [8]
Quyết định số 2068/QĐ-TTg, Chiến lược phát triển năng lượng tái
tạo của Việt Nam đến năm 2030, tầm nhìn đến năm 2050. [9]
“Solar Electric System Design, Operation and Installation” ,
Washington State University Extension Energy Program , 2009. [10]
Haberlin, Heinrich, Photovoltaics_ System Design and Practice, 2012. [11]
https://www.evn.com.vn/c3/nang-luong-tai-tao/Tham-khao-141- 170.aspx