













Preview text:
BÀI TẬP
ĐỒNG PHÂN-HIỆU ỨNG HÓA HỌC-PHẢN ỨNG HÓA HỌC
1. Xác định trạng thái lai hóa và góc liên kết của: ethane, ethylene, acetylene, benzene, allen (CH2=C=CH2)
2. Những chất nào dưới đây có đồng phân hình học và xác định tên theo danh pháp cis-trans, Z-E a) (CH3)2CH-CH=CH2 b) CH3CH=CHC2H5 c) (CH3)2C=CHCH3 d) CH3CH2C(CH3)=CHCH3 e) CH3CH=CHF f) F2C=CF2 c g) CH3CH2C(CH3)=CHC3H7
h) 1,1,2-trimethyl cyclopropane i) 1,2-dimethyl cyclopropane
3. Trong những chất sau chất nào có đồng phân hình học, chất nào có đồng phân
quang học. Viết các đồng phân đó. a) b) 1 c) d) 2-cloro-2-butene e) 1,2-dibromopentane
4. Chất nào sau đây có đồng phân quang học. Xác định C* và viết các đồng phân
quang học của các chất có hoạt tính quang học: a) 2-methylheptane b) 3-methylheptane c) 4-methylheptane d) 1,1 – dibromopropane e) 1,2 – dibromopropane f) 1,3 – dibromopropane g) h) i) 2 j)
5. Trình bày công thức chiếu Fisher các đồng phân quang học của 2,3-diclorobutane.
6. Xác định cấu hình tuyệt đối (R, S) các đồng phân quang học sau: a) c) b) f) d) e)
7. Xác định cấu hình tuyệt đối (R, S) của các đồng phân cấu tạo sau: a) b) c) 3
1. Xác định trạng thái lai hóa và góc liên kết của: ethane, ethylene, acetylene, benzene, allen (CH2=C=CH2)
ethane: Lai hóa sp3, 109o28’
- ethylene: Lai hóa sp2, 120o
- acetylene: Lai hóa sp, 180o
- benzene: Lai hóa sp2, 120o
- allen (CH2=C=CH2): C1, C3 lai hóa sp2, 120o, C2 lai hóa sp 180o
2. Những chất nào dưới đây có đồng phân hình học và xác định tên theo danh pháp cis-trans, Z-E a) (CH3)2CH-CH=CH2 Không b) CH3CH=CHC2H5 Trans, E Cis-Z c) (CH3)2C=CHCH3 Không 4 d) CH3CH2C(CH3)=CHCH3 Trans, Z Cis-E e) CH3CH=CHF Trans, E Cis-Z f) F2C=CF2 Không g) CH3CH2C(CH3)=CHC3H7 Z E
h) 1,1,2-trimethyl cyclopropane Không 5 i) 1,2-dimethyl cyclopropane Cis trans
3. Trong những chất sau chất nào có đồng phân hình học, chất nào có đồng phân
quang học. Viết các đồng phân đó. a) (Cis-cis) (Cis-Trans=Trans-Cis) (Trans- Trans) b)
Có 2C*, có mp đối xứng phân tử nên có 3 ĐPQH (2 ĐPQH đối quang, 1 đồng phân meso) c)
Có đồng 2 phân hình học(Cis-trans), 2 ĐPQH (1 cặp đối quang) 6 Cis-Z Trans-E d) 2-cloro-2-butene Cis-E Trans, Z
Có 2 đồng phân hình học (Cis-trans, Z-E) e) 1,2-dibromopentane
2 ĐPQH (1 cặp đối quang)
4. Chất nào sau đây có đồng phân quang học. Xác định C* và viết các đồng phân
quang học của các chất có hoạt tính quang học: 7 a) 2-methylheptane Không b) 3-methylheptane c) 4-methylheptane Không d) 1,1 – dibromopropane không g) 1,2 – dibromopropane 8
2 ĐPQH (1 cặp đối quang) h) 1,3 – dibromopropane Không g) Không h) i) 9 j)
b) , e), h), i), j) có C*
5. Trình bày công thức chiếu Fisher các đồng phân quang học của 2,3-diclorobutane.
Cặp đồng phân quang học đối quang Meso
6. Xác định cấu hình tuyệt đối (R, S) các đồng phân quang học sau: c) a) b) f) d) e) a)
Thứ tự ưu tiên: Br>Cl>CH3>H 10 b)
TTUT: Cl>OCH3>CF3>CH3 c)
TTUT: NH2>COOH>CH(CH3)2>H d) 11
TTUT: OH>CH=CH2>CH3>H e) f)
TTUT: NH2> CHO> CH=CH2>CH3 R
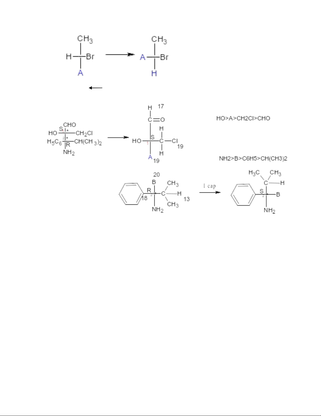
7. Xác định cấu hình tuyệt đối (R, S) của các đồng phân cấu tạo sau: a) b) c) 12 a) TTUT: OH>A>CH3>H TTUT: OH>B>CH3>H 2S, 3R 13 (2S, 3R)
(đảo 2 cặp H-CH3⟶2R, 3S ) c) (I) (II) +Đối với C2: -Vòng 1: O(8)>C(6)
-Vòng 2: C3 (2*6+7=19) > CH2Cl (17+2*1=19, nhưng ít phức tạp hơn) > CH=O (6*2+1=13),
Như vậy: HO> C3>CH2Cl>CHO
CHO đã nằm trên trục dọc, HO, C3, CH2Cl ngược chiều kim đồng hồ nên S +Đối với C3: -Vòng 1: N (7)> C(6)
-Vòng 2: C2 (8+2*6=20) > C6H5 (3*6=18) > CH(CH3)2 (2*6+1=13)
Như vậy NH2> C2 > C6H5 > CH(CH3)2
CH(CH3)2 nhỏ nhất□hoán đổi 1 cặp CH(CH3)2 và NH2 ta có công thức (II), NH2, C2, C6H5
ngược chiều kim đồng hồ nên S, suy ra C3 trong công thức 1 là R
Vậy cấu hình của c là 2S, 3R 14