Report tài liệu
Chia sẻ tài liệu
Bài tập và hướng dẫn giải quyết bài tập môn Kỹ thuật nhiệt | Trường Đại học Bách Khoa Hà Nội
Một bình có thể tích 0,625m3 chứa ôxi với 23 bar, nhiệt độ 280oC. Hãy xác định: Khối lượng ôxi trong bình, kg. Tài liệu được sưu tầm gồm 10 trang, giúp các bạn ôn luyện và phục vụ cho việc học tập, đạt kết quả tốt. Mời các bạn đón xem!
Môn: Kỹ thuật nhiệt 10 tài liệu
Trường: Đại học Bách Khoa Hà Nội 3.5 K tài liệu
Tác giả:










Tài liệu khác của Đại học Bách Khoa Hà Nội
Preview text:
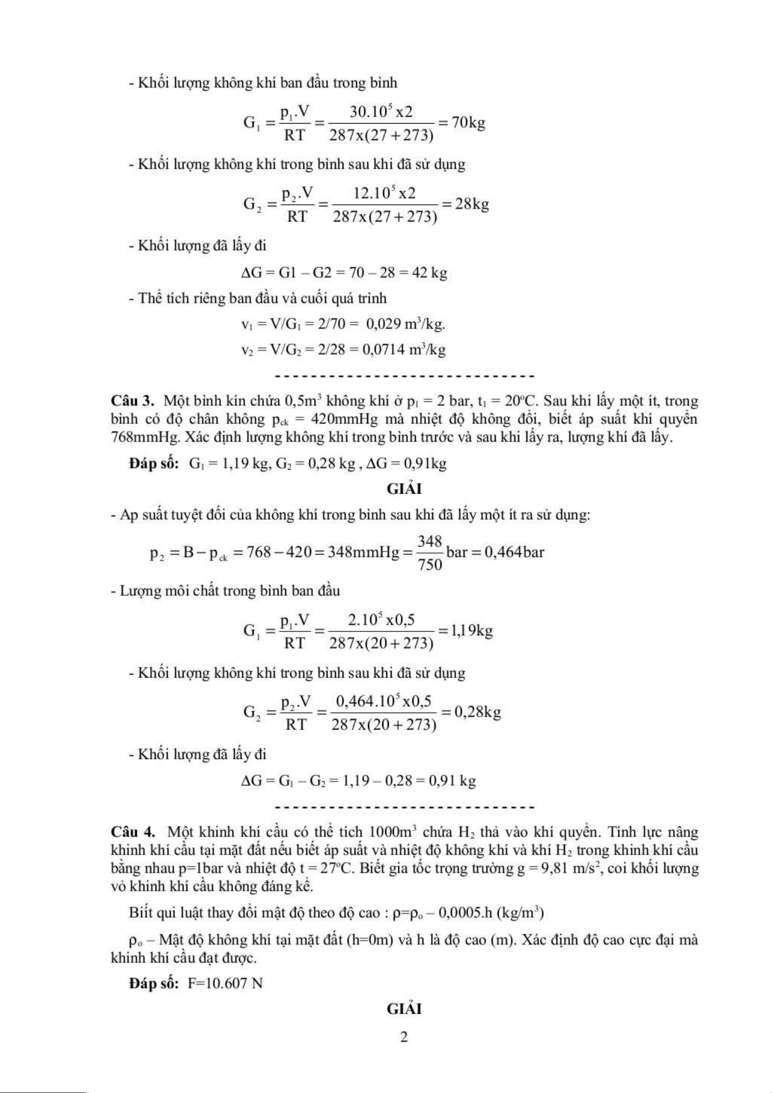
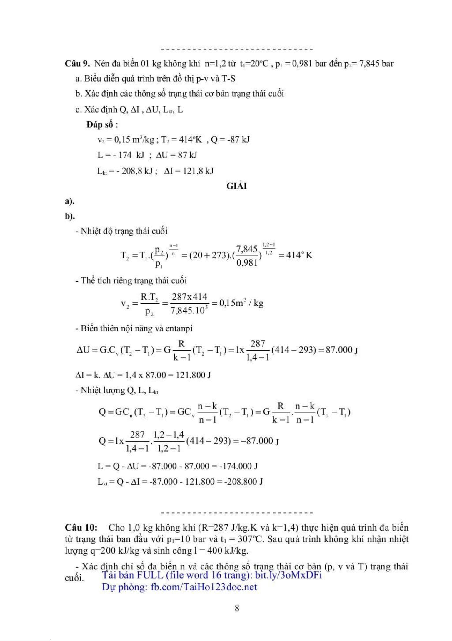
lOMoAR cPSD| 59421307
Downloaded by Quoc Khai (quockhai36@gmail.com) lOMoAR cPSD| 59421307
Downloaded by Quoc Khai (quockhai36@gmail.com) lOMoAR cPSD| 59421307
Downloaded by Quoc Khai (quockhai36@gmail.com) lOMoAR cPSD| 59421307
Downloaded by Quoc Khai (quockhai36@gmail.com) lOMoAR cPSD| 59421307
Downloaded by Quoc Khai (quockhai36@gmail.com) lOMoAR cPSD| 59421307
Downloaded by Quoc Khai (quockhai36@gmail.com) lOMoAR cPSD| 59421307
Downloaded by Quoc Khai (quockhai36@gmail.com) lOMoAR cPSD| 59421307
Downloaded by Quoc Khai (quockhai36@gmail.com) lOMoAR cPSD| 59421307
Downloaded by Quoc Khai (quockhai36@gmail.com) lOMoAR cPSD| 59421307
Downloaded by Quoc Khai (quockhai36@gmail.com)
Tài liệu liên quan:
-
Đề cương ôn tập HK1 môn Kỹ thuật nhiệt | Trường Đại học Bách Khoa Hà Nội
21 11 -
Đồ án tốt nghiệp Thiết kế hệ thống sấy thuốc lá năng suất 5000 kg môn Kỹ thuật nhiệt | Trường Đại học Bách Khoa Hà Nội
25 13 -
Khí lý tưởng, khí thực & chu trình Cacno môn Kỹ thuật nhiệt | Trường Đại học Bách Khoa Hà Nội
18 9 -
Báo cáo chuyên đề Nhà máy điện hơi nước ET 830 môn Kỹ thuật nhiệt | Trường Đại học Bách Khoa Hà Nội
19 10