

















Preview text:
THÍ NGHIỆM TRUYỀN NHIỆT
Bài 1: Thí nghiệm trao đổi nhiệt hai dòng lưu thể xuôi chiều
I. CƠ SỞ LÝ THUYẾT 1. Lý thuyết
Trong các quá trình sản xuất của ngành CNSH - CNTP thì rất nhiều các quá trình đều có
diễn ra quá trình truyền nhiệt. Và để thực hiện các quá trình truyền nhiệt giữa các chất tải nhiệt có
nhiệt độ khác nhau thì phải sử dụng thiết bị trao đổi nhiệt. Có rất nhiều loại thiết bị trao đổi nhiệt
được phân ra làm 3 nhóm chính là trực tiếp, gián tiếp và loại đệm. Trong đó thì nhóm thiết bị trao
đổi nhiệt theo phương thức gián tiếp là được sử dụng rộng rãi hơn cả. Trong bài thí nghiệm này,
sinh viên sẽ được thí nghiệm trên một hệ thống trao đổi nhiệt cơ bản, hệ thống sử dụng thiết bị
trao đổi nhiệt gián tiếp dạng ống xoắn ruột gà. Đây là thiết bị trao đổi nhiệt được ứng dụng sớm nhất trong công nghiệp.
Chiều chuyển động của lưu thể ở hai phía của bề mặt trao đổi nhiệt có ảnh hưởng rất lớn
đến quá trình truyền nhiệt. Qua thực tế, người ta phân thành các loại như sau:
- Chảy xuôi chiều: lưu thể 1 và 2 chảy song song và cùng
chiều theo tường ngăn cách. a)
- Chảy ngược chiều: lưu thể 1 và 2 chảy song song và
ngược chiều theo tường ngăn cách. (b)
- Chảy chéo nhau: lưu thể 1 và 2 chảy theo phương vuông góc nhau. (c)
- Chảy hỗn hợp: lưu thể 1 chảy theo một hướng nào đấy
còn lưu thể 2 lúc thì chảy cùng chiều, lúc thì chảy ngược chiều với lưu thể 1 (d) 1
Hình 1: Chiều chuyển động
của 2 dòng lưu thể
Trong 4 trường hợp trên thì hai trường hợp đầu: 2 dòng lưu thể chảy xuôi chiều và ngược
chiều thì hay gặp hơn cả và nó thể hiện rõ nhất quá trình truyền nhiệt của hai dòng lưu thể
Trong bài thí nghiệm 1 này sinh viên khảo sát
quá trình trao đổi nhiệt của 2 dòng lưu thể chảy xuôi
chiều dọc theo thành của ống trao đổi nhiệt. Nhiệt độ
của lưu thể nóng giảm, nhiệt độ của lưu thể lạnh tăng
như hình 2. Nhiệt độ của hai lưu thể đều biến đổi dọc
theo bề mặt trao đổi nhiệt, nhưng ở từng thời điểm thì
nhiệt độ không biến đổi theo thời gian
Trong trường hợp hai dòng lưu thể chảy xuôi
chiều hiệu số nhiệt độ trung bình được tính theo công thức Với:
2. Quy trình thí nghiệm
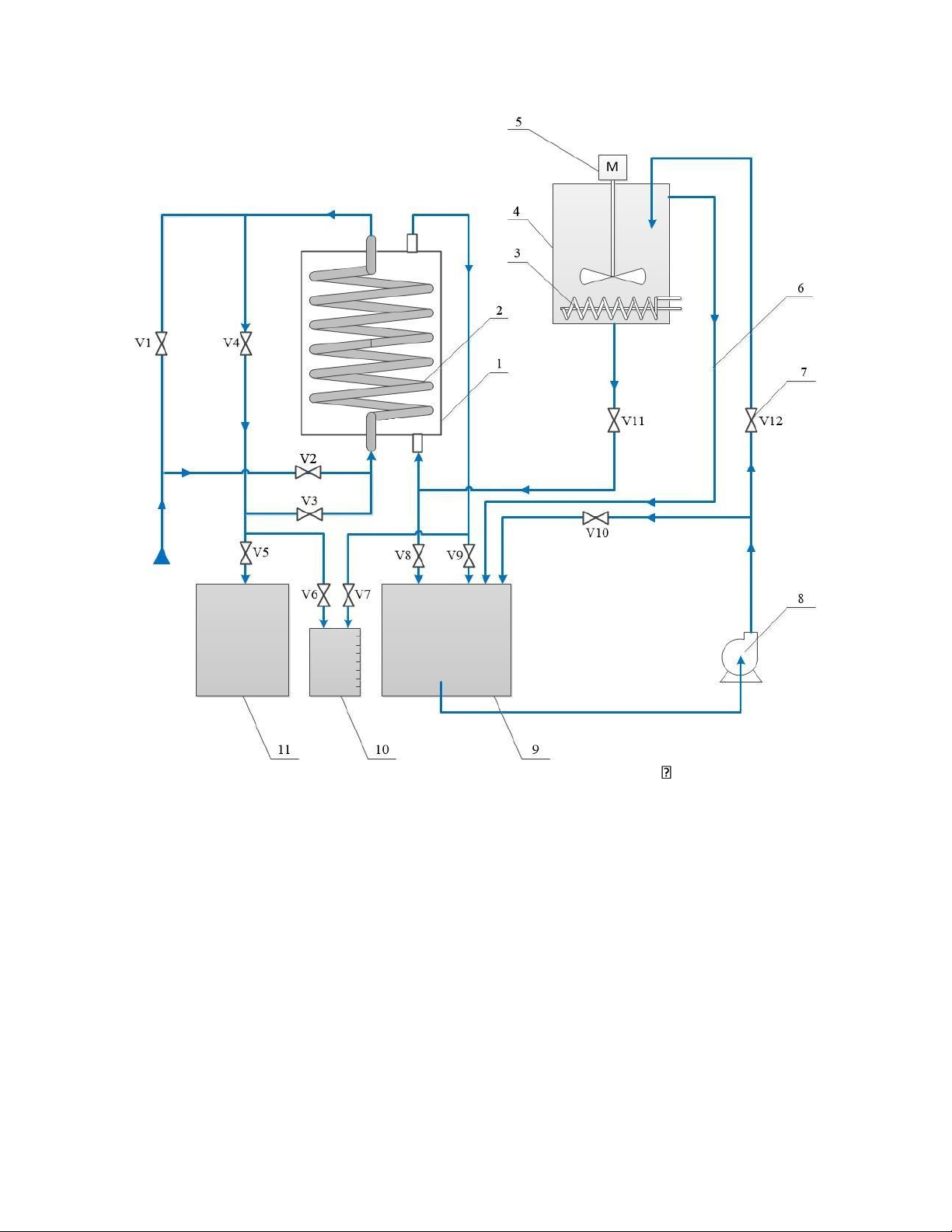
Sơ đồ nguyên lý hệ thống 2
1 – Bình trao đổi nhiệt
Quy trình thí nghiệm 2 - Ống xoắn ruột gà 7 – Van 3 – Thanh Nhiệt 8 – Bơm 4 – Bình gia nhiệt
9 – Thùng chứa nước nóng ra 5 – Động cơ khuấy 10 – Cốc đong 6 - Ống chảy tràn
11 – Thùng chứa nước lạnh ra
Cấp điện cho hệ thống. Kiểm tra lại các Van 1, 2, 3, 4, 5, 6, 7, 8, 9, 10, 11 đóng, mở Van 12.
Cấp nước vào thùng chứa 9, bật bơm 8 để bơm nước vào thùng gia nhiệt 4, đến khi nước trong
thùng gia nhiệt ngập thanh gia nhiệt và cánh khuấy thì bật thanh nhiệt 4 và động cơ cánh khuấy 5.
Mở Van 11 để cấp nước nóng vào không gian giữa ống xoắn ruột gà gà thành bình trao đổi nhiệt.
Mở van 9 để nước tuần hoàn về thùng chứa 9. Khi nước từ thùng gia nhiệt chảy tràn qua ống chảy
tràn xuống thùng chứa 9 thì điều chỉnh lưu lượng chảy vào khoảng không gian giữa ống xoắn và
thành thiết bị trao đổi nhiệt bằng cách điều chỉnh độ mở của van 9, đồng thời điều chỉnh lượng
nước bơm lên thùng gia nhiệt bằng điều chỉnh van 10. Đo vào điều chỉnh lưu lượng nước nóng cấp 1
vào thùng trao đổi nhiệt duy trì ở khoảng 1 lít/phút. Ta đo lưu lượng dòng nước nóng bằng cách
đóng van 9 và mở van 7 để cho dòng nước nóng chảy vào cốc đong đồng thời bấm thời gian để
biết được dòng nước nóng chảy được 1 lít cốc đong thì mất bn thời gian. Điều chỉnh van 11 đến
khi dòng nước nóng chảy được 1 lít mất khoảng 1 phút (đo 5 lần).
Khi nhiệt độ dòng lưu thể nóng cấp vào bình trao đổi nhiệt duy trì ở nhiệt độ đặt (45oC) thì
ta mở van 2 và van 4 để cấp nước lạnh vào không gian bên trong ống xoắn ruột gà từ dưới lên. Mở
van 5 để cho nước lạnh ra chảy vào thùng chứa đợi đến khi dòng ổn định thì ta đo và điều chỉnh
lưu lượng dòng nước lạnh ở khoảng 1 lít/phút (đo 5 lần) bằng điều chỉnh độ mở của van 2, đóng
van 5 và mở van 6 cho nước lạnh ra chảy vào cốc đong rồi bấm thời gian.
Khi 2 dòng nước nóng và lạnh cấp vào bình trao đổi nhiệt ổn định ở lưu lượng khoảng 1
lít/phút thì tiến hành đo nhiệt độ nước nóng, nước lạnh ở đầu vào và ra khỏi thiết bị trao đổi nhiệt
(mỗi thông số đo 5 lần).
Kết thúc thí nghiệm thì ngắt điện, đóng hết các van lại và mở van 8 để xả hết nước nóng ở
trong không gian ngoài ống xoắn ruột gà xuống thùng chứa 9. 4ZX
3. Tính toán quá trình
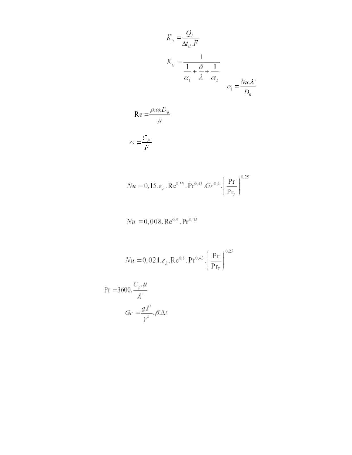
Các bước tính toán:
Chiều dài của một vòng xoắn:
Diện tích trao đổi nhiệt:
Nhiệt lượng nguồn nóng cấp vào:
Nhiệt lượng nguồn lạnh nhận được:
Chênh lệch nhiệt độ trung bình giữa hai nguồn nóng lạnh:
Chênh lệch nhiệt độ đầu vào: DtL = tN1 – tL1
Chênh lệch nhiệt độ đầu ra: DtN = tN2 – tL2 2
Hệ số truyền nhiệt thực tế:
Hệ số truyền nhiệt lý thuyết:
Hệ số tỏa nhiệt nguồn nóng: Chuẩn số Reynol: Vận tốc lưu thể: Nếu Re < 2300
Nếu 2300 < Re < 10.000 Nếu Re > 10.000 Với
PrT: tính toán lấy theo nhiệt độ của thành tiếp xúc với lưu thể.
Các chuẩn số Nu, Re, Pr, Gr lấy theo nhiệt độ trung bình của lưu thể.
Hệ số tỏa nhiệt nguồn lạnh:
Tương tự như α1 tính ra αt → tính ra α2: 3
Với αt hệ số tỏa nhiệt trong ống thẳng
R là bán kính cong của vòng xoắn
Hiệu suất sử dụng nhiệt: h = QL/QN =
Các thông số cần đo: Nhiệt độ đầu vào và ra của lưu thể nóng. Nhiệt độ vào và ra của lưu
thể lạnh. Đo lưu lượng của hai lưu thể.
Yêu cầu: Vận hành hệ thống truyền nhiệt và đo các thông số cần thiết. Tính hệ số truyền
nhiệt lý thuyết, hệ số truyền nhiệt thực tế và hiệu suất sử dụng nhiệt.
Nguyên liệu thí nghiệm: Nước Kết quả thí nghiệm Thông số Đơn vị Lần 1 Lần 2 Lần 3 Trung bình
Nhiệt độ nước nóng vào oC 42
Nhiệt độ nước nóng ra oC 34,6
Nhiệt độ nước lạnh vào oC 24,6
Nhiệt độ nước lạnh ra oC 29,9 Lưu lượng nước nóng lít/phút 1,8 Lưu lượng nước nóng m3/s 3.10−5 Lưu lượng nước lạnh lít/phút 1,8 Lưu lượng nước lạnh m3/s 3.10−5
II. Hướng dẫn tính toán:
Các số liệu cho trước:
Diện tích truyền nhiệt: F =1,89.105mm2 = 0,189 m2
Đường kính ngoài của ống: dn = 9 mm
Đường kính trong của ống: dt = 7 mm
Đường kính vòng xoắn: D = 200 mm
Đường kính bình trao đổi nhiệt: DB = 250 mm 4
Chiều cao bình trao đổi nhiệt: H = 310 mm
Bước xoắn của ống ruột gà: x = 22 mm
Chiều dày ống truyền nhiệt: d = 1 mm Số vòng xoắn: n = 12
Hệ số dẫn nhiệt của vách truyền nhiệt: l = 24,15 Các số
liệu cần tra cứu:
Nhiệt dung riêng của nước nguồn nóng: CN =4200 J/kg.K
Nhiệt dung riêng của nước nguồn lạnh: CL =4200 J/kg.K
Hệ số dẫn nhiệt của nước nguồn nóng: l’ =
Khối lượng riêng của nước: r = 1000kg/m3
Độ nhớt của nước tại nhiệt độ của nước nguồn nóng: m = 0,6321.103 N .s/m3
Các số liệu lấy trong quá trình làm thí nghiệm:
Nhiệt độ nguồn lạnh vào: tL1 = 24,6 oC
Nhiệt độ nguồn lạnh ra: tL2 = 29,9 oC
Nhiệt độ nguồn nóng vào: tN1 = 42 oC
Nhiệt độ nguồn nóng ra: tN2 = 34,6 oC Lưu lượng nguồn lạnh: GL = 3.10−5m3/s Lưu lượng nguồn nóng: GN = 3.10−5m3/s
Các bước tính toán:
Chiều dài của một vòng xoắn:
Diện tích trao đổi nhiệt:
Nhiệt lượng nguồn nóng cấp vào:
= 3.10−5. (42−34,6).4200=0,9324 J 5
Nhiệt lượng nguồn lạnh nhận được:
= 3.10−5.(29,9-24,6).4200=0,6678 J
Chênh lệch nhiệt độ đầu vào: DtL = tN1 – tL1 = 17,4
Chênh lệch nhiệt độ đầu ra: DtN = tN2 – tL2 = 4,7
Chênh lệch nhiệt độ trung bình giữa hai nguồn nóng lạnh: = = 9,72
Hệ số truyền nhiệt thực tế: = = 0,36
Hệ số truyền nhiệt lý thuyết: =
Hệ số tỏa nhiệt nguồn nóng: = Chuẩn số Reynol: = 0,6321.10 = 6,25. 10−5 3.10−5 −4 Vận tốc lưu thể: = 0,189 = 1,58. 10 m/s
Bài 2: Thí nghiệm trao đổi nhiệt hai dòng lưu thể ngược chiều
I. Quy trình thí nghiệm
Sơ đồ nguyên lý hệ thống 6
1 – Bình trao đổi nhiệt 7 – Van 2 - Ống xoắn ruột gà 8 – Bơm 3 – Thanh Nhiệt
9 – Thùng chứa nước nóng 4 – Bình gia nhiệt ra 5 – Động cơ khuấy 10 – Cốc đong 6 - Ống chảy tràn
11 – Thùng chứa nước lạnh ra
Quy trình thí nghiệm - Bước 1: - Bước 2: - Bước 3 …… 7
Các thông số cần đo: Nhiệt độ đầu vào và ra của lưu thể nóng. Nhiệt độ vào và ra của lưu
thể lạnh. Đo lưu lượng của hai lưu thể.
Yêu cầu: Vận hành hệ thống truyền nhiệt và đo các thông số cần thiết. Tính hệ số truyền
nhiệt lý thuyết, hệ số truyền nhiệt thực tế và hiệu suất sử dụng nhiệt.
Nguyên liệu thí nghiệm: Nước Kết quả thí nghiệm Thông số Đơn vị Lần 1 Lần 2 Lần 3 Trung bình
Nhiệt độ nước nóng vào oC 42
Nhiệt độ nước nóng ra oC 36,8
Nhiệt độ nước lạnh vào oC 25,1
Nhiệt độ nước lạnh ra oC 31,8 Lưu lượng nước nóng lít/phút 4,4 Lưu lượng nước nóng m3/s 7,3.10−5 Lưu lượng nước lạnh lít/phút 2 Lưu lượng nước lạnh m3/s 3,3.10−5
II. Hướng dẫn tính toán:
Các số liệu cho trước:
Diện tích truyền nhiệt: F = 1,89.105mm2
Đường kính ngoài của ống: dn = 9 mm
Đường kính trong của ống: dt = 7 mm
Đường kính vòng xoắn: D = 200 mm
Đường kính bình trao đổi nhiệt: DB = 250 mm
Bước xoắn của ống ruột gà: x = 22 mm
Chiều dày ống truyền nhiệt: d = 1 mm Số vòng xoắn: n = 12
Các số liệu cần tra cứu:
Nhiệt dung riêng của nước nguồn nóng: CN =4200 J/kg.K 8
Nhiệt dung riêng của nước nguồn lạnh: CL =4200 J/kg.K
Hệ số dẫn nhiệt của vách truyền nhiệt (tra cho thép Crom-Niken): l =36,4
Hệ số dẫn nhiệt của nước nguồn nóng: l’ =
Khối lượng riêng của nước: r = 1000kg/m3
Độ nhớt của nước tại nhiệt độ của nước nguồn nóng: m = 0,6321.103 N .s/m3
Các số liệu lấy trong quá trình làm thí nghiệm:
Nhiệt độ nguồn lạnh vào: tL1 = 25,1 oC
Nhiệt độ nguồn lạnh ra: tL2 = 31,8 oC
Nhiệt độ nguồn nóng vào: tN1 = 42 oC
Nhiệt độ nguồn nóng ra: tN2 = 36,8 oC
Lưu lượng nguồn lạnh: GL =3,3.10−5 m3/s
Lưu lượng nguồn nóng: GN =7,3.10−5 m3/s
Các bước tính toán:
Chiều dài của một vòng xoắn:
Diện tích trao đổi nhiệt:
Nhiệt lượng nguồn nóng cấp vào: QN = GN(tN1 – tN2)CN
=7,3.10−5. (42−36,8).1000=¿0,3796
Nhiệt lượng nguồn lạnh nhận được: QL = GL(tL2 – tL1)CL
= 3,3.10−5. (31.8−25,1) .1000
Chênh lệch nhiệt độ trung bình giữa hai nguồn nóng lạnh: ΔtL−Δt N Δttb= Δt L 2,3lg Δt N
Chênh lệch nhiệt độ đầu vào: DtL = tN1 – tL2 9
Chênh lệch nhiệt độ đầu ra: DtN = tN2 – tL1 Hệ
số truyền nhiệt thực tế:
Hệ số truyền nhiệt lý thuyết:
Hệ số tỏa nhiệt nguồn nóng: Chuẩn số Reynol: Vận tốc lưu thể: Nếu Re < 2300
Nếu 2300 < Re < 10.000 Nếu Re > 10.000 Với
PrT: tính toán lấy theo nhiệt độ của thành tiếp xúc với lưu thể.
Các chuẩn số Nu, Re, Pr, Gr lấy theo nhiệt độ trung bình của lưu thể.
Hệ số tỏa nhiệt nguồn lạnh: 10
Tương tự như α1 tính ra αt → tính ra α2:
Với αt hệ số tỏa nhiệt trong ống thẳng
R là bán kính cong của vòng xoắn
Hiệu suất sử dụng nhiệt: h = QL/QN =
THÍ NGHIỆM XÂY DỰNG CÔNG THỨC THANH TRÙNG/TIỆT TRÙNG
ĐỒ HỘP THỰC PHẨM
I. Mục đích thí nghiệm
- Giúp cho sinh viên hiểu được quá trùng thanh trùng/tiệt trùng thực phẩm bằng
nhiệt, sự tiêu diệt vi sinh vật và bào tử bởi nhiệt.
- Hiểu và biết cách xây dựng công thức thanh trùng/tiệt trùng cho một loại đồ
hộp thực phẩm cụ thể.
- Nắm được cấu tạo, nguyên lý hoạt động và cách vận hành nồi thanh/tiệt trùng gián đoạn 11
II. Thiết bị, dụng cụ, nguyên liệu
- Thiết bị thanh/ tiệt trùng gián đoạn thực phẩm
- Dụng cụ đo tâm đồ hộp thực phẩm
- Hộp/lọ chứa thực phẩm - Máy đo pH
- Dưa chuột, cà rốt, dấm ăn, gia vị (đường, muối…) III. Nội dung thí nghiệm
- Tiến hành xây dựng công thức thanh trùng cho sản phẩm dưa chuột dầm dấm
đóng lọ thủy tinh có khối lượng tịnh 500g/lọ, có pH = …..
- Chuẩn bị nguyên vật liệu (dưa chuột, thìa là, ớt, muối ăn, đường, mì chính,
axit axêtic,…). Tiến hành chần dưa chuột ở 85oC/3 phút. Pha thành phần dịch
rót đường 5%, muối 2%, axit axetic 0.4%, và đun sôi cho tan hết, xếp lọ theo
tỷ lệ cái/nước là 50%.
- Đo pH của hỗn hợp thực phẩm bằng máy đo pH (sau khi xay nhuyễn cả phần
cái và nước của thực phẩm).
- Cho hộp/lọ chứa thực phẩm vào thiết bị thanh/tiệt trùng và tiến hành lắp dụng
cụ đo nhiệt độ tại tâm đồ hộp, đó là điểm đun nóng chậm nhất: với thực phẩm
đặc thì tâm là điểm 1/3 chiều cao hộp từ đáy lên; với thực phẩm lỏng là điểm
1/2 chiều cao hộp tính từ đáy.
- Tiến hành thanh/tiệt trùng đồ hộp thực phẩm và lựa chọn công thức thanh/tiệt trùng là Trong đó:
+ A: Thời gian nâng nhiệt từ nhiệt độ ban đầu lên nhiệt độ thanh trùng
(phút) - ở bài thí nghiệm này là nâng đến nhiệt độ T = 85oC.
+ B: Thời gian giữ nhiệt (phút) – trong bài này thực hiện B = 20 phút, và
mục đích của bài thí nghiệm là cần xác định B là như thế nào là vừa đủ hiệu quả thanh trùng.
+ C: Thời gian hạ nhiệt (phút). 12
+ T: nhiệt độ thanh trùng (°C), với dưa chuột dầm dấm nhiệt độ T=85oC
+ p: Áp suất đối kháng (atm) - khi tiệt trùng ở nhiệt độ > 100°C.
Tiến hành đo nhiệt độ tại tâm đồ hộp trong suốt quá trình thanh trùng thực phẩm
để xác định hiệu quả thanh trùng Kf tại nhiệt độ t theo công thức cải tiến của
Flaumenbaum và Điền giá trị Kf vào số liệu Bảng 1 dưới đây Trong đó:
• Te : nhiệt độ chuẩn; Te = 80 cho sản phẩm chua nhiều (pH < 4.5)
• Z là đại lượng bền nhiệt đặc trưng cho từng loài vi sinh vật (VSV điển
hình có trong đồ hộp có độ axit cao là z = 8,8°C).
Và sau đó xác định tổng hiệu quả thanh trùng thực tế theo công thức sau: trong đó
• là tổng các hiệu quả thanh trùng thực tế ở nhiệt độ khác nhau trongthời
gian thanh trùng. Hiệu quả ở nhiệt độ khác nhau được xác định dựa trên
nhiệt độ ghi ở điểm tăng nhiệt chậm nhất (tâm của hộp) của đồ hộp trong
thời gian thanh trùng. XĐ nhiệt độ của điểm tăng nhiệt chậm nhiệt bằng
nhiệt kế được gắn vào trong hộp với đầu đo đến tâm của hộp và cứ sau
một khoảng thời gian nhất định, ta đọc nhiệt độ tại điểm tăng nhiệt độ
chậm nhất và tính toán hiệu quả thanh trùng Kf (giá trị gây chết) tại nhiệt
độ t theo công thức rồi điền vào bảng kết quả thí nghiệm Bảng 1.
• ∆τ là khoảng thời gian đọc nhiệt độ ghi tại điểm tăng nhiệt chậm nhất (phút).
• FZ là hiệu quả thanh trùng lý thuyết là thời gian cần thiết (phút) mà đồ c
hộp chịu tác dụng nhiệt ở nhiệt độ tiêu chuẩn nhằm làm giảm số lượng
của nha bào hay tế bào sinh dưỡng của vi sinh vật xuống mức thấp nhất, 13
không gây hại cho người sử dụng (bằng 0 hay 1 nha bào/10000 đồ hộp).
Đại lượng này được các nghiên cứu trước đó xác định bằng thực nghiệm
Tính hiệu quả thanh trùng cần thiết: =43,36 Trong đó:
• De = D80 - D chuẩn (với nhóm đồ hộp có độ axit cao 3.8- 4.0) – có D80 =
2,95 với loại vi sinh vật điển hình lựa chọn là Enterococcus faecalis
• C0 = 107 - Mật độ vi sinh trong một đơn vị khối lượng có ban đầu (CFU/g)
• V0: khối lượng sản phẩm trong hộp S0 = 0,001% - tỷ lệ hư hỏng cho phép.
- Để đảm bảo hiệu quả thanh/tiệt trùng thì ≥ từ đó tìm được tổng thời gian cần
thiết thanh/tiệt trùng (B- phút) và từ đó xây dựng được công thức
thanh/tiệt trùng đồ hộp thực phẩm
- Theo dõi bảo ôn các đồ hộp và đánh giá chất lượng đồ hộp thực phẩm (cảm quan, vi sinh,...).
Bảng 1: Nhiệt độ môi trường, nhiệt độ tâm sản phẩm và hiệu quả thanh trùng
Kf ở nhiệt độ khác nhau trong quá trình thanh trùng Đối với sản phẩm dưa
chuột muối ở 85°C (đóng hộp 500 g/ pH = 4.1) Thời gian Nhiệt độ môi trường Nhiệt độ tâm sản Hiệu quả thanh đọc (phút) ( oC) phẩm trùng Kf tại nhiệt (oC) độ t 0 22 19 1,17.10−7 2 29 20 1,52.10−7 14 4 35 22 2,56.10−7 6 44 31 2,71.10−6 8 52 39 2,19.10−5 10 60 47 1,77.10−4 12 68 55 1,44.10−3 14 75 62 9,01.10−3 16 81 68 0,043 18 87 75 0,271 20 87 79 0,769 22 87 81 1,299 24 88 82 1,687 26 87 83 2,193 28 87 84 2,848 30 86 84 2,848 32 88 84 2,848 34 87 85 3,699 36 88 84 2,848 38 88 85 3,699 40 87 85 3,699 15 42 86 85 3,699 44 87 85 3,699 46 88 85 3,699 48 87 85 3,699 Vậy =46,35 so sánh với
Nhận xét: > nên đạt hiệu quả thanh trùng.
Theo bảng kết quả, thời gian nâng nhiệt là 38 phút, thời gian giữ nhiệt là
10 phút, nhiệt độ thanh trùng là 85°C.
Suy ra công thức thanh trùng: = p
Đồ thị động học của quá trình thanh trùng sản phẩm ở 85oC
Nhiệt độ tâm sản phẩm 16