



















Preview text:
ĐẠI HỌC KINH TẾ THÀNH PHỐ HỒ CHÍ MINH KHOA: KHOA KINH TẾ
BỘ MÔN: THỐNG KÊ ỨNG DỤNG TRONG KT VÀ KD
BÁO CÁO DỰ ÁN THỐNG KÊ ĐỀ TÀI:
MỨC ĐỘ QUAN TÂM CỦA SINH VIÊN
SẮP RA TRƯỜNG ĐỐI VỚI CÁC YẾU TỐ
ẢNH HƯỞNG ĐẾN QUYẾT ĐỊNH CHỌN VIỆC LÀM
Sinh viên thực hiện:
1. Nguyễn Lâm Quỳnh Như ( MSSV 31201025565 )
2. Hà Thị Phương Anh ( MSSV 31201023929)
3. Nguyễn Hoàng Ngọc Châu ( MSSV 31201020198)
4. Lê Đào Ngọc Hậu ( MSSV 31201021679)
5. Trần Trương Thùy Linh ( MSSV 31201020490 )
Giảng viên hướng dẫn: Thầy Nguyễn Văn Trãi PAGE \* MERGEFORMAT 3 Tóm tắt
Việc làm sau khi ra trường luôn là một trong những vấn đề khiến cho sinh
viên lo lắng ngay từ khi vừa bước chân vào cánh cổng đại học. Bốn năm đại học
nghe có vẻ dài nhưng lại vô cùng ngắn ngủi, kết thúc 4 năm đại học đồng nghĩa với
việc các sinh viên sẽ phải tìm việc, phải đối mặt với công việc không như mình
mong muốn. Và việc lựa chọn một hướng đi đúng cho tương lai trở thành áp lực
của không ít sinh viên năm cuối. Để giảm đi các áp lực này phụ thuộc rất nhiều vào
chính sách của các doanh nghiệp trong việc đãi ngộ nhân viên mới cũng như những
chiến lược để thu hút nguồn nhân lực trẻ - những làn gió mới cho sự phát triển của
doanh nghiệp. Để xây dựng được những chính sách phù hợp đòi hỏi các doanh
nghiệp phải tìm hiểu và biết được mong muốn của những sinh viên trẻ. Và thông
qua việc khảo sát 100 sinh viên khóa 44, trường Đại học Kinh tế Thành phố Hồ
Chí Minh, mục đích của nghiên cứu này nhằm nắm bắt được những quan tâm hàng
đầu trong việc lựa chọn việc làm sau khi ra trường của các sinh viên mà ở đây
chúng tôi lựa chọn 100 sinh viên Đại học Kinh tế TP.HCM như là đại diện chung
cho những quan tâm của sinh viên sắp ra trường, từ đó cung cấp thông tin đến các
nhà tuyển dụng đặc biệt là các doanh nghiệp liên kết với trường Đại học Kinh tế
TP.HCM để họ có cơ sở xây dựng cho mình các chiến lược nhằm thu hút nguồn
nhân lực. Các yếu tố được đề cập bao gồm: mức lương; phúc lợi; môi trường làm
việc; phù hợp với chuyên ngành học hoặc đam mê, sở thích. Bên cạnh đó, cơ hội
thăng tiến; cơ hội được đào tạo và quy mô hoặc danh tiếng của doanh nghiệp, công
ty cũng sẽ là nhân tố ảnh hưởng đến quyết định lựa chọn việc làm của các sinh viên này. PAGE \* MERGEFORMAT 3 I. GIỚI THIỆU DỰ ÁN
1. Lý do chọn đề tài
Theo số liệu của của Bộ GD&ĐT, cả nước có khoảng 1,1 triệu sinh viên đại
học và cao đẳng. Nếu chia cho trung bình bốn năm học, mỗi năm có gần 300.000
sinh viên ra trường. Trong đó, số lượng sinh viên tốt nghiệp tại trường Đại học
Kinh tế TP.HCM dao động trên dưới 3.000 cử nhân mỗi năm. Nói đến sinh viên ra
trường mọi người thường đề cập đến nhiều vấn đề như thiếu việc làm, “tốt nghiệp
là thất nghiệp”, thừa cung thiếu cầu. Nhưng có ai từng đặt câu hỏi ngược lại rằng
mỗi năm cũng có vô số các doanh nghiệp được thành lập vậy liệu họ có chiêu mộ
được toàn bộ nguồn nhân lực phù hợp với từng bộ phận của doanh nghiệp mình
hay chưa? Họ có những chính sách, chiến lược như thế nào để tìm kiếm cho doanh
nghiệp của mình một đội ngũ nhân viên chất lượng, đáp ứng được yêu cầu của
doanh nghiệp đồng thời cũng phù hợp với nguyện vọng của nhân viên để có thể
giữ chân họ ở lại làm việc lâu dài?
Một doanh nghiệp muốn phát triển vững mạnh và hội nhập trong thời đại
công nghiệp 4.0 ngày nay thì đòi hỏi họ phải thay máu nhân sự liên tục, chúng tôi
không phải là phủ nhận tri thức của người đi trước nhưng quy luật ở đây là “tre già
măng mọc”, các doanh nghiệp phải hướng đến những người trẻ đầy năng động,
sáng tạo, hiện đại để đổi mới, vận động phát triển về mọi mặt và điều này chắc
chắn sẽ được tìm thấy ở những sinh viên trẻ mới ra trường bởi họ mang trong mình
nhiều sự bản lĩnh, sự cạnh tranh và những ý tưởng lớn. Do đó không chỉ có người
lao động cần việc làm mà các doanh nghiệp cũng cần những nhân viên tiềm năng
để đưa doanh nghiệp ngày càng phát triển vững mạnh và điều này đòi hỏi các
doanh nghiệp phải nắm bắt được những yêu cầu cũng như nguyện vọng của đội
ngũ lao động trẻ ngày nay. Chính vì vậy mà việc nghiên cứu mức độ quan tâm của
sinh viên sắp ra trường đối với các yếu tố ảnh hưởng đến quyết định chọn việc làm
trong tương lai đóng vai trò quan trọng trong việc định hướng thu hút và đưa ra
chính sách để thu hút nhân lực.
2. Vấn đề nghiên cứu
Mức độ quan tâm của các sinh viên sắp ra trường đối với 7 yếu tố (mức
lương; môi trường làm việc; phúc lợi; cơ hội được thăng tiến; cơ hội được đào tạo;
phù hợp với nghành học, đam mê, sở thích và quy mô doanh nghiệp công ty muốn
làm việc ) có ảnh hưởng đến quyết định chọn việc làm trong tương lai. PAGE \* MERGEFORMAT 3
3. Câu hỏi nghiên cứu
- Đánh giá mức độ quan tâm đối với 7 yếu tố (mức lương; môi trường làm
việc; phúc lợi; cơ hội được thăng tiến; cơ hội được đào tạo; phù hợp với
nghành học, đam mê, sở thích và quy mô doanh nghiệp công ty muốn làm
việc) có ảnh hưởng đến quyết định chọn việc làm trong tương lai với 5 mức
độ: không quan tâm, ít quan tâm, bình thường, quan tâm, rất quan tâm.
- Trong các yếu tố trên, yếu tố nào là yếu tố quan trọng nhất đối với bản thân
trong việc lựa chọn việc làm trong tương lai?
4. Mục tiêu của dự án
Với nghiên cứu này, chúng tôi sẽ khảo sát và thu thập những dữ liệu về mức độ
quan tâm về các yếu tố ảnh hưởng đến quyết định trong việc lựa chọn việc làm của
100 sinh viên sắp ra trường khóa 44 tại Đại học Kinh tế TP.HCM với những mục tiêu cụ thể sau:
- Xác định và phân tích các yếu tố ảnh hưởng đến quyết định lựa chọn việc
làm của sinh viên năm cuối tại trường Đại học Kinh tế Thành phố Hồ Chí Minh.
- Đo lường mức độ quan tâm của sinh viên đến từng yếu tố, xác định yếu tố
ảnh hưởng nhiều nhất đến quyết định lựa chọn việc làm của sinh viên năm
cuối tại trường Đại học Kinh tế Thành phố Hồ Chí Minh.
Với những mục tiêu nghiên cứu trên, chúng tôi hy vọng sẽ cung cấp được
những thông tin hữu ích, cần thiết về các yếu tố quan tâm hàng đầu của các sinh
viên sắp ra trường đến các nhà tuyển dụng. Từ đó, các doanh nghiệp sẽ xây dựng
những chính sách hiệu quả, phù hợp với nguyện vọng của các sinh viên trẻ để thu
hút nguồn nhân lực về với doanh nghiệp của mình.
5. Đối tượng và phạm vi khảo sát của dự án
- Đối tượng khảo sát: 100 sinh viên sắp tốt nghiệp khóa 44 của trường đại học Kinh tế TP Hồ Chí Minh.
- Phạm vi khảo sát: Trường Đại học Kinh tế thành phố Hồ Chí Minh.
- Thời gian khảo sát: Khảo sát này làm trong tháng 5 năm 2021. PAGE \* MERGEFORMAT 3
II. PHƯƠNG PHÁP THỰC HIỆN
1. Phương pháp thu thập và xử lí thông tin, dữ liệu
Nghiên cứu này thực hiện phối hợp 2 phương pháp chủ yếu là phương pháp
nghiên cứu định tính và phương pháp nghiên cứu định lượng.
-Phương pháp nghiên cứu định tính được triển khai nhằm xác định các yếu tố
tác động đến quyết định chọn việc làm của sinh viên, xây dựng thang đo và bảng khảo sát.
-Phương pháp nghiên cứu định lượng được sử dụng nhằm lượng hóa các mỗi
quan hệ giữa yếu tố ảnh hưởng và ý định chọn việc làm của sinh viên. Triển khai
nghiên cứu định lượng trên cơ sở khảo sát sinh viên sắp tốt nghiệp khóa 44 trường
đại học Kinh tế TP HCM bằng bảng câu hỏi.
Cách lấy mẫu khảo sát và công cụ thu thập thông tin
Do giới hạn về thời gian và tình hình dịch bệnh phức tạp nên dự án này sẽ
nghiên cứu với kích thước mẫu tối thiểu sẽ là 100 sinh viên khóa K44 trường đại
học Kinh tế TP HCM. Các sinh viên này tham gia khảo sát bằng cách điền form
khảo sát online được nhóm đăng tải trên các nhóm và trang web của trường đại học
Kinh tế hoặc link của form khảo sát được gửi đến các sinh viên khóa 44 của trường
đại học Kinh tế TP HCM thông qua facebook. Sau đó nhóm sẽ tổng hợp thu thập
dữ liệu qua bảng câu hỏi online được đề cập trong form khảo sát.
2. Phương pháp thống kê sử dụng cho việc phân tích dữ liệu
- Phương pháp thống kê mô tả: sử dụng bảng, biểu đồ tần số, tần suất.
- Phương pháp thống kê suy diễn: ước lượng khoảng, suy diễn thống kê về sự
chênh lệch giữa hai trung bình tổng thể: mẫu theo cặp.
III. KẾT QUẢ VÀ THẢO LUẬN
Kết quả đã được thu thập và được thống kê về mức độ quan tâm của các sinh
viên sắp ra trường đối với các yếu tố ảnh hưởng đến quyết định chọn việc làm
trong tương lai dưới đây qua các bảng phân phối tần số, tần suất, tần suất phần
trăm và trình bày dưới dạng biểu đồ tròn và biểu đồ cột PAGE \* MERGEFORMAT 3 1. Mức lương Đánh giá Tần số Tần suất Tần suất phần trăm Không quan tâm 0 0 0 Ít quan tâm 2 0.02 2 Bình thường 11 0.11 11 Quan tâm 41 0.41 41 Rất quan tâm 46 0.46 46 Tổng 100 1.00 100
Biểu đồ Đánh giá mức độ quan tâm về Mức lương
Từ biểu đồ trên cho thấy, 87% kết quả khảo sát là từ quan tâm đến rất quan tâm
trong việc lựa chọn mức lương cho một công việc nào đó, một con số rất cao.
Như chúng ta đều biết, lương là yếu tố khiến người lao động cân nhắc khi đọc
tin tuyển dụng và đối với các sinh viên sắp ra trường cũng không ngoại lệ. Điều
này vô cùng dễ hiểu bởi người lao động luôn muốn tìm một công việc có mức
lương tốt, lương tốt ở đây có thể hiểu là số tiền nhận được phải thỏa đáng với sức
lao động họ bỏ ra. Chưa kể trong xã hội ngày nay, một mức lương cao mới có thể
giúp chi trả các khoản chi phí sinh hoạt hằng ngày, các khoản chăm sóc bản thân,
gia đình. . một cách thoải mái. Ai cũng muốn sống một cuộc sống không phải lo
nghĩ về 4 từ: cơm, áo, gạo, tiền. PAGE \* MERGEFORMAT 3 2. Phúc lợi Đánh giá Tần số Tần suất Tần suất phần trăm Không quan tâm 1 0.01 1 Ít quan tâm 1 0.01 1 Bình thường 18 0.18 18 Quan tâm 48 0.48 48 Rất quan tâm 32 0.32 32 Tổng 100 1.00 100
Biểu đồ đánh giá mức độ quan tâm về Phúc lợi
Từ kết quả khảo sát cho thấy, 48% quan tâm và 32% rất quan tâm từ các
sinh viên, chiếm 4/5 số lượng người khảo sát. Tuy nhiên ở yếu tố này, mức độ
quan tâm lại chiếm tỷ lệ cao nhất. Phần đông sinh viên coi đây là một yếu tố cần
quan tâm nhưng không thật sự đặt nặng yếu tố này.
Yếu tố “ Phúc lợi ” – một yếu tố được các bạn sinh viên sắp ra trường quan
tâm khá nhiều. Hiện nay, ngoài mức lương cơ bản trả cho nhân viên thì chế độ
phúc lợi cũng là điều kiện giữ chân nhân viên giỏi và thu hút nhân tài về công ty.
Sở dĩ người lao động quan tâm đến các phúc lợi của doanh nghiệp bởi đây là yếu
tố thúc đẩy, khuyến khích họ làm việc chăm chỉ hơn, năng suất hơn và tạo ra được hứng thú trong công việc PAGE \* MERGEFORMAT 3
3. Môi trường làm việc Đánh giá Tần số Tần suất Tần suất phần trăm Không quan tâm 1 0.01 1 Ít quan tâm 0 0 0 Bình thường 11 0.11 11 Quan tâm 37 0.37 37 Rất quan tâm 51 0.51 51 Tổng 100 1.00 100
Biểu đồ đánh giá mức độ quan tâm về môi trường làm việc
Đối với yếu tố “Môi trường làm việc”, kết quả thống kê cho thấy đa số sinh
viên quan quan tâm hoặc rất quan tâm đến yếu tố này, đặc biệt đối với tỷ lệ mức độ
rất quan tâm chiếm đến 51%, mức độ quan tâm đến 37%, ít quan tâm và không
quan tâm chiếm tỉ lệ rất ít, chỉ khoảng 11% và 1% lần lượt.
Với những số liệu trên chúng ta có thể thấy, hầu hết các sinh viên được khảo
sát có sự quan tâm rất nhiều về yếu tố môi trường làm việc. Trong một tổ chức,
điều kiện làm việc như phòng làm việc rộng rãi thoáng mát, cơ sở thiết bị vật chất
đầy đủ, tiện lợi và hiện đại, cấp trên có sự quan tâm đến nhân viên, mối quan hệ tốt
giữa các đồng nghiệp với nhau, nhân viên có cơ hội thể hiện ý kiến riêng, phát
triển năng lực và học hỏi là một môi trường lý tưởng đối với người lao động. Đặc
biệt đối với những nguồn lao động trẻ như sinh viên sắp ra trường thì môi trường PAGE \* MERGEFORMAT 3
làm việc là một yếu tố vô cùng quan trọng. Những người trẻ với tinh thần ham học
hỏi, sang tạo, đầy đam mê và nhiệt huyết luôn muốn làm việc trong một môi
trường tốt để phát huy hết tiềm năng của bản thân, hoàn thiện chính mình, mở rộng
mối quan hệ . Nhìn chung có rất nhiều người lao động từ bỏ công việc vì môi
trường làm việc không tốt và không phù hợp với bản thân mặc dù mức lương rất
cao. Qua đó ta có thể thấy môi trường làm việc là yếu tố vô cùng quan trọng ảnh
hưởng đến ý định tìm kiếm việc làm của sinh viên cũng như người lao động.
4. Cơ hội thăng tiến Đánh giá Tần số Tần suất Tần suất phần trăm Không quan tâm 1 0.01 1 Ít quan tâm 2 0.02 2 Bình thường 13 0.13 13 Quan tâm 40 0.4 4 Rất quan tâm 44 0.44 44 Tổng 100 1.00 100
Biểu đồ đánh giá mức độ quan tâm về Cơ hội thăng tiến
Đối với yếu tố “Cơ hội thăng tiến”, kết quả thống kê cho ta thấy mức độ rất
quan tâm chiếm tỉ lệ khác cao, đến 44% và mức độ quan tâm cũng đạt ngưỡng
40%. Phần trăm còn lại là 13%, 2% và 1% lần lượt thể hiện các mức độ bình
thường, ít quan tâm và không quan tâm. PAGE \* MERGEFORMAT 3
Qua dữ liệu được thống kê trên cũng có thể chứng minh rằng sức hút của cơ
hội thăng tiến đối với việc lựa chọn việc làm của sinh viên là rất lớn. Cơ hội thăng
tiến cao như động cơ khuyến khích con người chúng ta muốn làm việc tại công ty
hay doanh nghiệp đó hơn. Thăng tiến cao đồng nghĩa với việc tăng chức vụ, tăng
lương và tăng kinh nghiệm của bản thân, là động lực, mục tiêu mà các bạn trẻ ngày
nay đều muốn hướng đến. Bởi vậy cơ hội thăng tiến cao hay thấp tác động rất lớn
đến tâm lý tìm kiếm việc làm của hầu hết mọi người.
5. Cơ hội được đào tạo Đánh giá Tần số Tần suất Tần suất phần trăm Không quan tâm 2 0.02 2 Ít quan tâm 1 0.01 1 Bình thường 7 0.07 7 Quan tâm 37 0.37 37 Rất quan tâm 53 0.53 53 Tổng 100 1.00 100
Biểu đồ đánh giá mức độ quan tâm về Cơ hội được đào tạo
Đối với yếu tố “Cơ hội được đào tạo’’ , kết quả thống kê cho thấy đa số các
sinh viên quan tâm hoặc rất quan tâm đến yếu tố này, đặc biệt đối với tỷ lệ mức độ
rất quan tâm chiếm đến 53% và mức độ quan tâm chiếm tỷ lệ ít hơn 16%. Tuy
nhiên cũng có số ít tỷ lệ 3% các sinh viên ít quan tâm hoặc không quan tâm đến yếu tố này. PAGE \* MERGEFORMAT 3
Với số liệu như trên cho thấy, các sinh viên sắp tốt nghiệp đại học khóa K44
của trường đại học kinh tế TP HCM phần đông có mức độ quan tâm lớn nhất đối
với cơ hội được tào tạo chuyên sâu, chuyên nghiệp về mặt kinh nghiệm cũng như
chuyên môn trong công việc tương lai. Đây là một con số hợp lý để giải thích cho
tinh thần ham học hỏi và cầu tiến của nguồn nhân lực trẻ.
Đối với sinh viên mới ra trường, mặc dù được cung cấp một nền tảng kiến
thức chuyên sâu mang tính ứng dụng để sinh viên có một hành trang vững chắc
cho công việc trong tương lai, tuy nhiên sinh viên mới ra trường vẫn còn thiếu kinh
nghiệm làm việc và những kiến thức được học không phải lúc nào cũng được áp
dụng ngay trong công việc mà có thể là mãi đến sau này mới áp dụng được nó.
Chính vì thế cơ hội được đào tạo để nâng cao tay nghề và trình độ chuyên môn là
một điều vô cùng quý giá đối với những sinh viên mới ra trường cũng như là
những người mới vào nghề.
6. Phù hợp với chuyên ngành học hoặc đam mê, sở thích Đánh giá Tần số Tần suất Tần suất phần trăm Không quan tâm 4 0.04 4 Ít quan tâm 5 0.05 5 Bình thường 23 0.23 23 Quan tâm 36 0.36 36 Rất quan tâm 32 0.32 32 Tổng 100 1.00 100
Biểu đồ đánh giá mức độ quan tâm về Phù hợp với chuyên ngành
học hoặc đam mê, sở thích PAGE \* MERGEFORMAT 3
Đối với yếu tố “Phù hợp với ngành học hoặc đam mê, sở thích” , mức độ
quan tâm lại chiếm tỷ lệ cao nhất (36%) cao hơn 4% so với mức độ rất quan tâm.
Có khoảng 1/3 kết quả thống kê đối với tổng các mức độ bình thường, ít quan tâm và không quan tâm.
Số liệu trên cho thấy, dường như có ít sinh viên hơn chú trọng đến yếu tố
này so với các yếu tố về mức lương, môi trường làm việc, cơ hội thăng tiến và cơ
hội được đào tạo, tuy nhiên cũng không đáng kể. Kết quả thống kê một phần nào
giải thích cho thực trạng của Việt Nam hiện nay là nhiều sinh viên đi làm không
đúng với ngành học cũng như có rất nhiều bạn trẻ Việt Nam không biết rõ đam mê,
sở thích của mình là gì.
Tuy nhiên mức độ quan tâm của các sinh viên sắp ra trường đối với việc đi
làm đúng ngành học khá cao. Nếu như bỏ qua các yếu tố thực tế về tâm lí chung
như khái niệm “ngành hot” kiếm nhiều tiền hay các yếu tố từ truyền thống gia đình,
nguyện vọng của cha mẹ hoặc xu hướng nghề nghiệp của xã hội thì việc được làm
công việc phù hợp với ngành học, đam mê, sở thích luôn là điều tất cả mọi người
mong muốn, khao khát và thậm chí là đem lại hiệu quả công việc cao nhất, phát
huy tối đa hiệu suất làm việc bởi vì được làm công việc mà mình yêu thích thì
giống như là sống và tận hưởng nó chứ không phải chịu đựng, gắng sức làm nó để kiếm tiền.
7. Quy mô hoặc danh tiếng của doanh nghiệp, công ty muốn làm việc Đánh giá Tần số Tần suất Tần suất phần trăm Không quan tâm 2 0.02 2 Ít quan tâm 4 0.04 4 Bình thường 27 0.27 27 Quan tâm 48 0.48 48 Rất quan tâm 19 0.19 19 Tổng 100 1.00 100
Đối với yếu tố “Quy mô hoặc danh tiếng của doanh nghiệp, công ty muốn
làm”, kết quả thống kê cho thấy mức độ quan tâm chiếm tỷ lệ cao nhất với 48% và
mức độ rất quan tâm chiếm 19%. Có khoảng 1/3 kết quả thống kê với tổng các
mức độ bình thường, ít quan tâm và không quan tâm. PAGE \* MERGEFORMAT 3
Biểu đồ đánh giá mức độ quan tâm về Quy mô danh tiếng của
doanh nghiệp, công ty muốn làm việc
Từ số liệu trên cho thấy, các sinh viên phần lớn đều quan tâm đến quy mô
của doanh nghiệp, công ty tuy nhiên không nhiều người đặt nó là mối quan tâm
hàng đầu. Bởi lẽ, khi làm việc ở một công ty lớn, bạn sẽ có cơ hội học hỏi kinh
nghiệm tốt hơn. Các công ty lớn thường có một đội ngũ nhân viên quản lý, điều
hành giỏi, và khi làm việc với họ, bạn sẽ có cơ hội để học hỏi được những kinh
nghiệm quý báu về cách làm việc, chỉ đạo người khác. Và với quy mô lớn, ngân
sách nhiều nên mức lương khởi điểm của bạn khi làm việc ở công ty lớn chắc hẳn
sẽ tốt hơn so với các công ty nhỏ. Bên cạnh đó, các công ty lớn còn có chính sách
phúc lợi tốt, tạo điều kiện để đời sống nhân viên ngày một đi lên.
Tuy nhiên, làm việc cho một công ty nhỏ cũng không phải là một lựa chọn
tồi, như số liệu khảo sát ở trên có đến 27% sinh viên cho thấy mức độ bình thường
với yếu tố quy mô của doanh nghiệp. Khi làm việc ở một công ty nhỏ, bạn sẽ dễ
được chú ý hơn dẫn đến cơ hội thăng tiến của bạn được nâng lên, môi trường làm
việc ít áp lực hơn, mối quan hệ giữa các đồng nghiệp gần gũi hơn, thân thiện hơn.
Điều quan trọng là bạn cần nhìn nhận đúng năng lực cũng như sắp xếp ưu tiên của
bản thân đối với công việc, nói cách khác là bạn muốn nhận được gì từ công việc
đó để tìm ra nơi phù hợp với bản thân. PAGE \* MERGEFORMAT 3
8. Yếu tố quan trọng nhất Yếu tố Tần số Tần suất Tần suất phần trăm Mức lương 34 0.34 34 Phúc lợi 1 0.01 1 Môi trường làm việc 28 0.28 28 Cơ hội thăng tiến 15 0.15 15 Cơ hội được đào tạo 14 0.14 14
Phù hợp chuyên ngành học hoặc đam mê, sở thích 8 0.08 8 Quy mô doanh nghiệp, công ty muốn làm việc 0 0 0 Tổng 100 1 100
Biểu đồ xác định yếu tố quan trọng nhất tác động đến quyết định chọn việc làm PAGE \* MERGEFORMAT 3
Dựa vào biểu đồ trên, cho thấy mức lương là yếu tố quan trọng nhất tác động
đến quyết định chọn việc làm của sinh viên với 34%, tiếp đó là môi trường làm
việc với 28%, cơ hội thăng tiến và cơ hội được đào tạo đứng lần lượt ở vị trí thứ ba
và thứ tư với 15% và 14%. Có 8% sinh viên cho rằng phù hợp với chuyên ngành
học, đam mê, sở thích là yếu tố quan trọng nhất đối với họ và đứng vị trị thứ sáu
với 2% là phúc lợi. Và dường như không có sinh viên nào xem quy mô doanh
nghiệp, công ty muốn làm là nhân tố ảnh hưởng đến quyết định chọn việc của họ.
Theo kết quả cuộc khảo sát mới được thực hiện bởi trang tuyển dụng
JobStreet tại Việt Nam, lương chính là lý do tiên quyết để người lao động các cấp
từ sinh viên mới ra trường đến quản lý cấp cao muốn ứng tuyển. Mọi người đều
mong muốn sở hữu một mức lương cao, vì nhờ nó chúng ta có thể ổn định tài
chính, tự do chi tiêu và giải trí, sống thoải mái và không phải lo lắng về nhiều điều.
Và như số liệu trên thì một môi trường làm việc chuyên nghiệp, lành mạnh và thân
thiện cũng là yếu tố quan trọng không kém ảnh hưởng tới quyết định chọn việc làm.
Khi được làm việc trong một môi trường tốt, cá nhân mỗi nhân viên sẽ cảm thấy
kích thích, hào hứng, tự bản thân họ sẽ có thêm động lực để hoàn thành tốt nhất
công việc được giao. Bên cạnh đó, cơ hội được đào tạo, cơ hội thăng tiến, các
chính sách phúc lợi cũng được rất nhiều sinh viên quan tâm. Ở Việt Nam, các
chính sách đãi ngộ và sự quan tâm của công ty đối với nhân viên, đặc biệt là những
nhân viên có tài năng chưa thực sự thỏa đáng, nhưng chắc chắn trong tương lai gần
họ sẽ nhìn nhận và thay đổi để có thể cạnh tranh được trên thương trường. Từ đó
cho thấy, môi trường làm việc, chính sách đãi ngộ chăm sóc cùng với một mức
lương cao và các chính sách khác về khen thưởng, bổ nhiệm, thăng tiến. . sẽ tạo
nên một nền văn hóa doanh nghiệp hiện đại, tạo nên mối liên hệ mật thiết giũa
công ty với nhân viên, thu hút giữ chân nhân lực cống hiến cho sự phát triển của công ty.
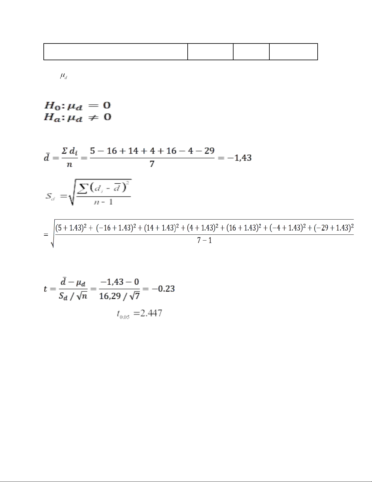
Đặt vấn đề: Để đảm bảo mức độ tin cậy đối với kết quả khảo sát về yếu tố
quan trọng nhất ảnh hưởng đến quyết định chọn việc làm trong tương lai đối với
các sinh viên sắp ra trường. Nhóm xây dựng ước lượng khoảng 95% của tỷ lệ tổng
thể các sinh viên quan tâm rất nhiều tới mức lương. Khảo sát cho thấy trong một
mẫu gồm 100 sinh viên Đại học Kinh tế khóa 44 UEH có 34 sinh viên coi mức
lương là yếu tố quan trọng nhất khi lựa chọn việc làm. Ta có: x=34 , n=100 = x/n=34/100=0.34 Từ khoảng tin cậy 95% PAGE \* MERGEFORMAT 3
=> Hệ số tin cậy: 1- =0.95 => =0.05
Sử dụng bảng xác suất chuẩn chuẩn hóa: Sai số biên:
Khoảng tin cậy 95% cho tỷ lệ sinh viên ưu tiên quan tâm tới mức lương là:
Với độ tin cậy 95% , tỷ lệ sinh viên cho rằng mức lương là yếu tố quan trọng
nhất ảnh hưởng đến quyết định chọn việc làm nằm giữa 0.247 và 0.433
Đặt vấn đề: Trong cuộc khảo sát, đa số các sinh viên đánh giá mức độ quan tâm
đối với 7 yếu tố (mức lương, phúc lợi, môi trường làm việc, cơ hội thăng tiến, cơ
hội được đào tạo, phù hợp với nghành học hoặc đam mê sở thích và quy mô doanh
nghiệp, công ty muốn làm ) chủ yếu ở hai mức độ quan tâm và rất quan tâm. Câu
hỏi đặt ra ở đây là liệu có sự chênh lệch và khác biệt giữa hai mức độ này?Để đảm
bảo tính khách quan cho việc đánh giá khảo sát và sự phân biệt rõ ràng giữa hai
mức độ quan tâm và rất quan tâm, nhóm đặt ra bài toán suy diễn thống kê về sự
chênh lệch giữa hai trung bình tổng thể: mẫu theo cặp. Sử dụng mức ý nghĩa 0.05.
Với độ tin cậy 95%, có sự chênh lệch giữa mức độ quan tâm và rất quan tâm hay
không?Dữliệusauđâytừmẫutheo cặpđượcrút ratừhaitổngthể: Các yếu tố Rất quan Quan Sự chênh tâm tâm lệch Mức lương 46 41 5 Phúc lợi 32 48 -16 Môi trường làm việc 51 37 14 Cơ hội thăng tiến 44 40 4 Cơ hội được đào tạo 53 37 16
Phù hợp với chuyên ngành học hoặc 32 36 -4 đam mê, sở thích
Quy mô, danh tiếng của doanh nghiệp, 19 48 -29 PAGE \* MERGEFORMAT 3 công ty Gọi
là trung bình các giá trị chênh lệch giữa hai mức độ quan tâm của tổng thể
các yếu tố sinh viên quan tâm.
Với mức ý nghĩa giả định là a= 0.05, n=7 = 16.29 Có a=0.05 và df=6 ,
Vì t= -0.23 < 2.447 suy ra bác bỏ Ho
Ta có thể kết luận rằng, ít nhất với độ tin cậy 95% có sự chênh lệch giữa giá
trị trung bình của hai mức độ quan tâm và rất quan tâm tới 7 yếu tố ảnh hưởng tới
quyết định lựa chọn việc làm của sinh viên. PAGE \* MERGEFORMAT 3 IV. HẠN CHẾ
Mẫu khảo sát thu thập thông tin từ sinh viên của nghiên cứu này chỉ tập
trung ở trường Đại học Kinh tế Thành phố Hồ Chí Minh, nếu được thực hiện
trên phạm vi rộng hơn, nhiều trường Đại học hơn thì tính đại diện và khách quan sẽ cao hơn.
Đề tài sử dụng phương pháp chọn mẫu thuận tiện, nên có thể chưa khái quát
đầy đủ các đối tượng khảo sát. Do đó, cần có một nghiên cứu với số mẫu theo
định mức cân bằng về số lượng sinh viên các trường đại học.
Do thời lượng thực hiện khảo sát không dài, chúng tôi chưa tiếp cận được
nhóm sinh viên năm nhất, năm hai, năm ba để dữ liệu được hoàn chỉnh hơn.
Ngoài ra, sự hạn chế và nghiệp dư trong sử dụng kiến thức cản trở việc phân
tích dữ liệu một cách tốt nhất.
V. KẾT LUẬN VÀ KHUYẾN NGHỊ 1. Kết luận
Dựa trên mẫu khảo sát được lập ra dựa trên 7 biến quan sát: (1) Mức lương, (2)
Phúc lợi, (3) Môi trường làm việc, (4) Cơ hội thăng tiến, (5) Cơ hội được đào tạo,
(6) Phù hợp với chuyên ngành học hoặc đam mê, sở thích, (7) Quy mô hoặc danh
tiếng của doanh nghiệp, công ty từ 100 sinh viên chuẩn bị tốt nghiệp của trường
Đại học Kinh tế Thành phố Hồ Chí Minh, chúng ta có thể đưa ra một số điểm kết luận quan trọng sau:
• Yếu tố “mức lương” có tác động lớn nhất (34%) đến “quyết định chọn việc
làm” của sinh viên năm cuối. Mọi người thường có xu hướng là mong muốn
làm việc ở nơi có mức lương cao để thỏa mãn nhu cầu bản thân. Yếu tố “môi
trường làm việc” có tác động lớn thứ hai (28%) đến “quyết định chọn việc
làm”. Kết quả này phù hợp với một nghiên cứu 360 sinh viên ngành quản trị
kinh doanh chuẩn bị tốt nghiệp tại Thành phố Hồ Chí Minh được thực hiện
bởi Trần Văn Mẫn và Trần Kim Dung (2010) về các yếu tố chọn nơi làm
việc cho rằng môi trường làm việc là thành phần ảnh hưởng đến quyết định
của họ. Yếu tố “cơ hội thăng tiến”, “cơ hội được đào tạo” lần lượt đứng vị trí
thứ ba (15%) và thứ tư (14%) trong ảnh hưởng đến “quyết định chọn việc
làm”. “Phù hợp với chuyên ngành học, đam mê, sở thích”, “phúc lợi” và
“quy mô hoặc danh tiếng của doanh nghiệp, công ty” chiếm vị trí thứ năm
(8%), thứ sáu (1%) và thứ bảy (0%). PAGE \* MERGEFORMAT 3
• Kết quả nghiên cứu của dự án này giúp cho các bạn sinh viên sắp ra trường
có cái nhìn tổng quan về các yếu tố tác động đến việc lựa chọn việc làm để
từ đó đưa ra quyết định đúng đắn, đồng thời nó cũng cho các nhà tuyển dụng,
quản lý nhân sự cái nhìn chính xác và thực tế hơn về các yếu tố ảnh hưởng
đến việc quyết định lựa chọn việc làm của sinh viên, từ đó họ sẽ xây dựng
những chiến lược, chính sách để thu hút nguồn nhân lực trẻ có trình độ về
doanh nghiệp, công ty mình. 2. Khuyến nghị
2.1 Kiến nghị về yếu tố mức lương:
Lương là mong muốn hàng đầu đối với người lao động, mức lương là thước
đo năng lực, thành tích, vị trí của người lao động. Như vậy, lương chỉ phát huy tác
dụng khi nó phản ánh đúng năng lực của nhân viên. Tuy nhiên, trong hệ thống
lương của nhiều doanh nghiệp đều không phản ánh được điều này, người có năng
lực thì lương quá thấp. Chính vì thế, nhiều doanh nghiệp không giữ chân được
người giỏi, người tài. Ta cần xây dựng một hệ thống lương bổng chuẩn dựa trên 3
tiêu chí: công bằng, hợp lý và cạnh tranh.
2.2 Kiến nghị về yếu tố môi trường làm việc:
Các nhà quản lí nhân sự cần tạo cho nhân viên một môi trường làm việc hòa
đồng, thân thiện. Cụ thể, trong quá trình làm việc, trao đổi ý kiến luôn có sự tôn
trọng lẫn nhau. Sếp không hạch sách nhân viên, nhân viên làm việc trên cơ sở hợp
tác và gắn bó với nhau. Bên cạnh đó, doanh nghiệp cần đáp ứng đầy đủ cơ sở vật
chất, trang thiết bị để tạo điều kiện cho nhân viên hoàn thành tốt công việc của mình.
2.3 Kiến nghị về yếu tố phúc lợi:
Ngoài lương, chính sách phúc lợi, đãi ngộ cũng là yếu tố quan trọng để thu
hút nguồn nhân lực. Các xu hướng phúc lợi nhân viên ngày nay rất đa dạng, tùy
thuộc vào từng ngành nghề, doanh nghiệp sẽ có những chế độ đãi ngộ khác nhau.
Có thể kể đến các chính sách phúc lợi theo hướng động viên và ghi nhận đóng góp
của nhân viên, hay cơ hội thăng tiến nghề nghiệp thông qua việc cử đi đào tạo và
công tác tại nước ngoài, chính sách giờ làm việc linh hoạt, thưởng lương tháng 13. . PAGE \* MERGEFORMAT 3
2.4 Kiến nghị về yếu tố cơ hội đươc đào tạo:
Công tác đào tạo nhân viên có thể được hiểu là quá trình các doanh nghiệp
tổ chức các lớp học trong môi trường cơ sở, mời các chuyên gia, giảng viên giảng
dạy trực tiếp cho các nhân viên, các cấp quản lý, lãnh đạo bằng các khóa học ngắn
hạn, khóa học chuyên sâu về lĩnh vực,chuyên môn phù hợp với từng phòng ban, cá
nhân. Thực hiện công tác đào tạo nhân viên là quy trình cần thiết để nhân sự có thể
trau dồi được kỹ năng làm việc, năng cao năng lực chuyên môn để phục vụ cho
hoạt động kinh doanh của doanh nghiệp.
2.5 Kiến nghị về yếu tố cơ hội thăng tiến:
Thăng tiến là một nhu cầu chính đáng của mọi người lao động, vì sự thăng
tiến tạo cơ hội để bản thân nhân sự khẳng định giá trị bản thân, gia tăng địa vị, uy
tín. Chính sách về sự thăng tiến có ý nghĩa cực kỳ quan trọng, góp phần thúc đẩy
động lực làm việc cho người lao động, đồng thời là cơ sở để thu hút, giữ chân
người tại phục vụ cho doanh nghiệp. Các nhà lãnh đạo, quản lý cần quy định rõ
ràng về chính sách thăng tiến, việc bổ nhiệm chức danh, chức vụ, tại điều kiện
thăng tiến trong công việc cho nhân lực phải dựa trên hiệu quả công việc của họ
chứ không chỉ dựa trên thâm niên hay tuổi tác.
2.6 Kiến nghị về yếu tố tuyển dụng nhân sự đúng chuyên ngành học:
Các nhà tuyển dụng cần có chính sách sử dụng sinh viên sau đào tạo đúng
chuyên ngành để có thể phát huy tốt năng lực chuyên môn của người được đào tạo
cũng như sở trường đã học. PAGE \* MERGEFORMAT 3