Report tài liệu
Chia sẻ tài liệu
Bảng công thức nguyên hàm cơ bản | Toán Rời Rạc | Trường Đại học Khoa học Tự nhiên, Đại học Quốc gia Hà Nội
Tài liệu được sưu tầm và soạn thảo dưới dạng file PDF với mục đích hỗ trợ học tập và tham khảo. Nội dung tài liệu được trình bày rõ ràng, dễ tiếp cận, phù hợp cho việc ôn tập và củng cố kiến thức trong quá trình học đại học. Đây sẽ là nguồn tư liệu hữu ích giúp các bạn sinh viên chuẩn bị tốt hơn cho các buổi học, đồng thời mở rộng thêm hiểu biết về môn học. Hy vọng tài liệu này sẽ mang lại nhiều giá trị và hỗ trợ các bạn trong hành trình học tập. Mời bạn đọc cùng tham khảo!
Môn: Toán Rời Rạc (HUS) 11 tài liệu
Trường: Trường Đại học Khoa học tự nhiên, Đại học Quốc gia Hà Nội 1.1 K tài liệu
Tác giả:




Tài liệu khác của Trường Đại học Khoa học tự nhiên, Đại học Quốc gia Hà Nội
Preview text:
Bảng công thức nguyên hàm cơ bản
Bảng công thức nguyên hàm mở rộng
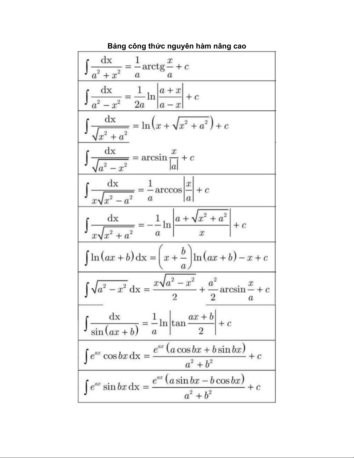
Bảng công thức nguyên hàm nâng cao
Bảng nguyên hàm hàm số l ợ ư ng giác
Tài liệu liên quan:
-
Đề thi hết môn học kì Toán rời rạc năm học 2025-2026 - trường đại học Khoa học tự nhiên – Đại học quốc gia hà nội.
55 28 -
Đồ thị và đặc điểm cơ bản | Toán Rời Rạc | Trường Đại học Khoa học Tự nhiên, Đại học Quốc gia Hà Nội
148 74 -
Bài Tập Toán Rời Rạc: Chương 4 - Các Phương Pháp | Toán Rời Rạc | Trường Đại học Khoa học Tự nhiên, Đại học Quốc gia Hà Nội
135 68 -
Ôn tập Câu hỏi toán học nâng cao - Môn Toán | Toán Rời Rạc | Trường Đại học Khoa học Tự nhiên, Đại học Quốc gia Hà Nội
79 40 -
Phân Tích Các Bài Tập Xác Suất và Thống Kê | Toán Rời Rạc | Trường Đại học Khoa học Tự nhiên, Đại học Quốc gia Hà Nội
108 54