



















Preview text:
lOMoAR cPSD| 59595715
TRƯỜNG ĐẠI HỌC BÁCH KHOA HÀ NỘI ----- -----
BÁO CÁO DỰ ÁN NHẬP MÔN ĐIỆN TỬ VIỄN THÔNG
THIẾT BỊ CẢM BIẾN MÀU
Nhóm sinh viên thực hiện : Nguyễn Đức Anh 20213743 Điện tử LUH 01-K66 Nguyễn Tuấn Anh 20213744 Điện tử LUH 01-K66 Trần Lương Duy 20213751 Điện tử LUH 01-K66 Trần Anh Đức 20213753 Điện tử LUH 01-K66 Nguyễn Văn Hiếu 20213756 Điện tử LUH 01-K66
Giáo viên hướng dẫn : TS. Hàn Huy Dũng Hà Nội 12-2022 1
Đánh giá dự án (Nhóm sinh viên tự đánh giá)
Chọn các mức điểm phù hợp cho sinh viên trình bày theo các tiêu chí dưới đây:
(0): Không có, (1) có rất ít, (2) có vừa phải, (3) có nhiều, còn một ít lỗi (5) có
nhiều, gần như không có lỗi
Có sự kết hợp giữa lý thuyết và thực hành (20)
Nêu rõ tính cấp thiết và quan trọng của đề tài, các vấn đề và
các giả thuyết (bao gồm mục đích và tính phù hợp) cũng như 1
phạm vi ứng dụng của đồ án 1 2 3 4 5
Cập nhật kết quả nghiên cứu gần đây nhất (trong nước/quốc 2 tế) 1 2 3 4 5 3
Nêu rõ và chi tiết phương pháp nghiên cứu/giải quyết vấn đề 1 2 3 4 5 4
Có mô hình toán, đánh giá thuật toán, 1 2 3 4 5
Có kết quả mô phỏng/thực nghiệm và trình bày rõ ràng kết quả 5 đạt được
Có khả năng phân tích và đánh giá kết quả (15)
Kế hoạch làm việc rõ ràng bao gồm mục tiêu và phương pháp
thực hiện dựa trên kết quả nghiên cứu lý thuyết một cách có hệ 6 thống 1 2 3 4 5
Kết quả được trình bày một cách logic và dễ hiểu, tất cả kết 7
quả đều được phân tích và đánh giá thỏa đáng. 1 2 3 4 5
Trong phần kết luận, tác giả chỉ rõ sự khác biệt (nếu có) giữa
kết quả đạt được và mục tiêu ban đầu đề ra đồng thời cung cấp
lập luận để đề xuất hướng giải quyết có thể thực hiện trong 8 tương lai. 1 2 3 4 5 Kỹ năng viết (10)
Đồ án trình bày đúng mẫu quy định với cấu trúc các chương
logic và đẹp mắt (bảng biểu, hình ảnh rõ ràng, có tiêu đề, được
đánh số thứ tự và được giải thích hay đề cập đến trong đồ án, có
căn lề, dấu cách sau dấu chấm, dấu phẩy v.v), có mở đầu chương
và kết luận chương, có liệt kê tài liệu tham khảo và có trích dẫn 9 đúng quy định 1 2 3 4 5
Kỹ năng viết xuất sắc (cấu trúc câu chuẩn, văn phong khoa
10 học, lập luận logic và có cơ sở, từ vựng sử dụng phù hợp v.v.) 1 2 3 4 5 Điểm tổng /50
Điểm tổng quy đổi về thang 10
Nhận xét thêm của Thầy/Cô (giảng viên hướng dẫn nhận xét về thái độ và tinh
thần làm việc của sinh viên)
......................................................................................................................................
..........................................................................................................................................
..........................................................................................................................................
..........................................................................................................................................
..........................................................................................................................................
.................................................................................. Ngày: / /2023 Người nhận xét (Ký và ghi rõ họ tên)
LƯỢC SỬ HIỆU CHỈNH Phiên bản Thực hiện
Ngày hiệu Được thông Ngày thông Lý do bởi chỉnh qua bởi qua MỤC LỤC MỤC LỤC LỜI NÓI ĐẦU
CHƯƠNG I: TỔNG QUAN ĐỀ TÀI
1.1. Mục đích thực hiện
1.2. Tính thực tiễn của sản phẩm
CHƯƠNG II: MÔ TẢ YÊU CẦU KỸ THUẬT 2.1. Yêu cầu chức năng
2.2. Yêu cầu phi chức năng
CHƯƠNG III: THIẾT KẾ SẢN PHẨM
3.1. Thiết kế tổng thể hệ thống
3.1.1. Sơ đồ khối hệ thống 3.1.2. Sơ đồ mạch
3.2. Nguyên lý hoạt động 3.2.1. Tính toán
3.2.2. Lưu đồ thuật toán 3.3. Linh kiện sử dụng
3.3.1. Khối cảm biến: Cảm biến
3.3.2. Khối điều khiển: Bộ xử lý
3.3.3. Khối hiển thị: Bộ hiển thị
CHƯƠNG IV: TRIỂN KHAI VÀ KIỂM TRA 4.1. Phiên bản 0.1 4.2. Phiên bản 0.2 4.3. Phiên bản 1.0
CHƯƠNG V: KẾT LUẬN VÀ HƯỚNG PHÁT TRIỂN 5.1 Kết luận
5.1.1 Kết quả đạt được
5.1.2 Khó khăn còn tồn tại
PHỤ LỤC A: PHÂN CÔNG NHÂN SỰ A.1. Danh sách thành viên
PHỤ LỤC B: CÔNG CỤ LÊN KẾ HOẠCH VÀ GIAO TIẾP B.1. Notion B.2. Facebook Messenger
PHỤ LỤC C: CÔNG CỤ LẬP TRÌNH VÀ THIẾT KẾ MẠCH C.1. Fritzing C.2. VS Code C.3. PlatformIO
PHỤ LỤC D: BẢNG CHI TIÊU
PHỤ LỤC E: CÁC CÔNG THỨC TÍNH TOÁN CHI TIẾT
PHỤ LỤC F: TÀI LIỆU THAM KHẢO LỜI NÓI ĐẦU
Theo sự phát triển nhanh chóng của khoa học và công nghệ, đặc biệt là ngành công
nghệ thông tin và điện tử viễn thông, cuộc sống của con người ngày càng được nâng
cao, hiện đại. Các sản phẩm công nghệ và các ứng dụng liên tục được phát triển và thay
đổi để phù hợp với yêu cầu của con người. Vì vậy, Nhóm chúng em quyết định chọn
“Thiết bị cảm biến màu ” để làm dự án với ý nghĩa mang tính thực tế cho cộng đồng.
Trong quá trình thực hiện đề tài này ,chúng em đã cố gắng để hoàn thiện tốt sản
phẩm, song có lẽ vốn kiến thức còn hạn hẹp cũng như nhiều yếu tố khách quan khác mà
không tránh khỏi những thiếu sót. Nhóm chúng em rất mong sự đóng góp ý kiến và
hướng dẫn thêm từ thầy cô cũng như các bạn.
Cuối cùng nhóm chúng em xin gửi lời cảm ơn chân thành nhất tới thầy Hàn Huy
Dũng đã hướng dẫn tận tình, giảng giải chi tiết giúp chúng em hoàn thiện bài tập lớn
này. Ngoài những kiến thức học được, chúng em cũng đã có được những kinh nghiệm
những kỹ năng thiết thực để chúng em hoàn thiện tốt hơn bài tập lớn này.
CHƯƠNG I: TỔNG QUAN ĐỀ TÀI
1.1. Mục đích thực hiện
- Trong cuộc sống hằng ngày, nhu cầu trích xuất cụ thể một mã màu ngày
càng trở nên phổ biến và thiết thực, nhất là trong các hoạt động sản xuất
hay thiết kế. Việc biết chính xác mã màu có thể giúp ta dễ dàng tái tạo lại
được màu sắc mà chúng ta cần một cách chính xác nhất, giúp cho công
việc được xử lý, hoàn thành một cách nhanh chóng hơn.
- Song đa số Thiết bị cảm biến màu ngoài thị trường còn đang có giá thành
khá đắt, không phổ cập được đến nhiều bạn sinh viên hay những người có nhu cầu cần sử dụng.
1.2. Tính thực tiễn của sản phẩm
- Trong thế giới rất nhiều màu sắc này, có thể bạn nhìn thấy một màu sắc nào
đấy và rất thích nó, nhưng không biết cách để có thể tái tạo lại màu sắc đó.
- Designer cần trích xuất mã màu từ một sản phẩm in ấn mà họ thích để có thể sử
dụng cho sản phẩm của mình.
- Giúp ngành in ấn cần kiểm tra độ chuẩn màu của sản phẩm.
- Trong ngành thời trang cần trích xuất mã màu của một sản phẩm để thiết kế cho một sản phẩm khác.
- Trong hệ thống đào tạo mỹ thuật cơ bản, cần nhận biết các màu sắc và các mã màu.
- Hỗ trợ người mù màu cần nhận biết màu sắc cơ bản trong tự nhiên.
CHƯƠNG II: MÔ TẢ YÊU CẦU KỸ THUẬT 2.1. Yêu cầu chức năng
- Nhận biết được nhiều màu sắc và phân biệt theo mã: 1. RBG 2. CMYK 3. RGBA 4. HEX 5. NAME
2.2. Yêu cầu phi chức năng
- Nhỏ gọn, cấu trúc bo tròn.
- Giao diện bắt mắt dễ nhìn. - Màu sắc đa dạng. - Giá thành phù hợp.
CHƯƠNG III: THIẾT KẾ SẢN PHẨM
3.1. Thiết kế tổng thể hệ thống
3.1.1. Sơ đồ khối hệ thống 3.1.2. Sơ đồ mạch
3.2. Nguyên lý hoạt động
- Trên thân của thiết bị có 2 nút, một nút dùng để đo (A) và 1 nút để đổi qua lại giữa các mã màu (B).
- Khi sử dụng thiết bị,ta bấm vào nút A Cảm biến màu sắc TCS3200 Color
Sensor sẽ nhận biết màu sắc bằng cách đo phản xạ 3 màu sắc cơ bản từ vật thể
là đỏ, xanh lá và xanh dương từ đó xuất ra tần số xung tương ứng với 3 màu
này qua các chân tín hiệu, đo 3 tần số xung này và ta sẽ có tần số đầu ra có
dạng xung vuông với tần số khác nhau tương ứng mã màu sắc khác nhau và
cường độ sáng khác nhau.
- Tần số sau khi vào chip xử lý sẽ đi qua chương trình chuyển đổi, biến nó thành
các mã màu tương ứng hệ màu khác nhau: RGB, CMYK, HEX. sau đó từ chip
xử lý sẽ truyền dữ liệu lên màn hình hiển thị.
- Màn hình hiển thị sẽ hiển thị ra dữ liệu người dùng mong muốn.
- Khi bấm vào nút B, tín hiệu sẽ truyền lại xuống bộ xử lý trung tâm và chuyển
đổi sang hệ hoặc mã màu khác rồi xuất lên lại màn hình hiển thị. 3.2.1. Tính toán
3.2.2. Lưu đồ thuật toán 3.3. Linh kiện sử dụng
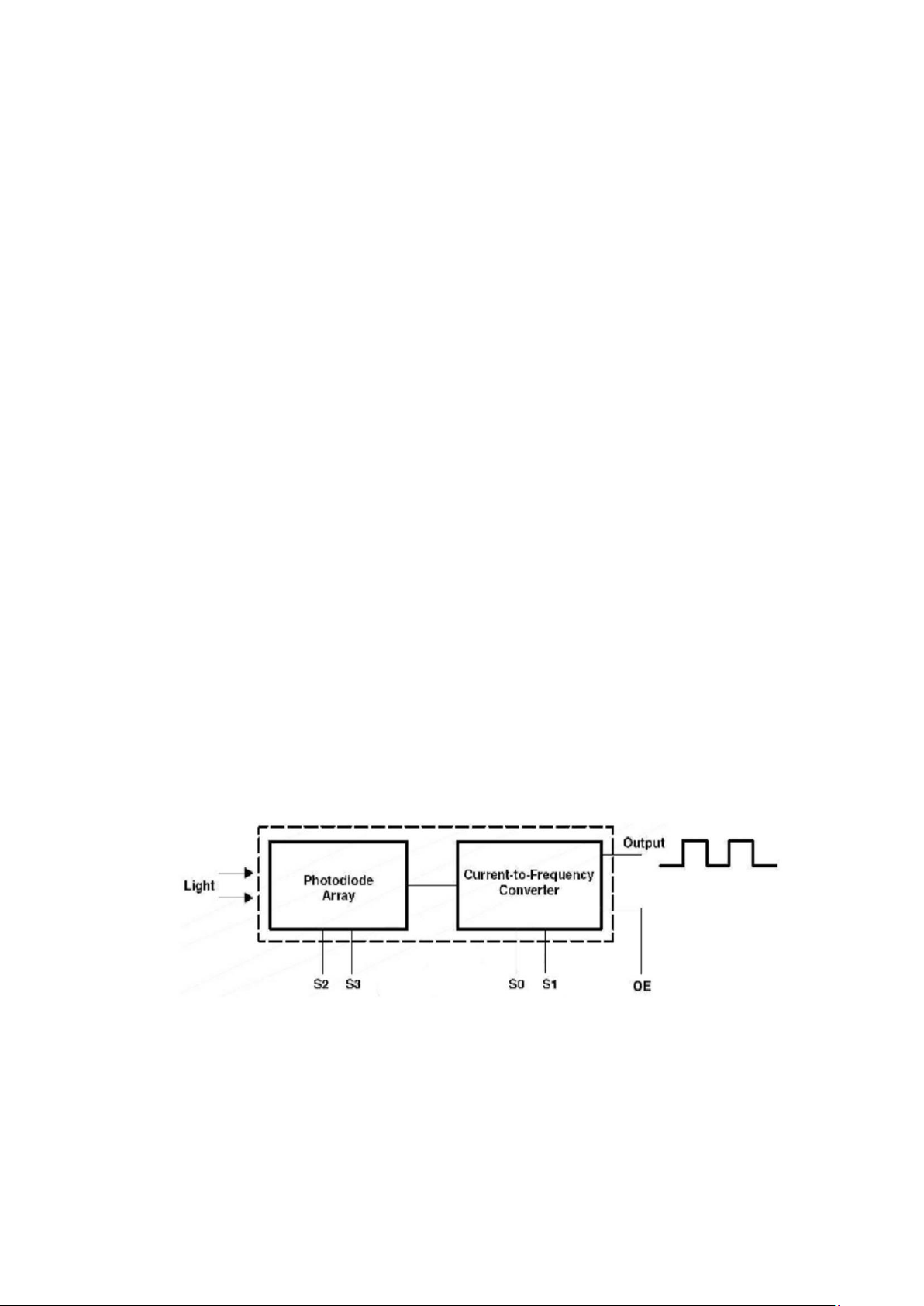
3.3.1. Khối cảm biến: Cảm biến <TCS3200>
- Dùng để thu tín hiệu màu đầu vào cho arduino xử lý. - Giá thành: 160.000 vnđ. - Thông số kỹ thuật:
+ Điện áp cung cấp: 2,7 - 5,5V.
+ Chuyển đổi từ cường độ ánh sáng sang tần số với độ phân giải cao.
+ Lập trình lựa chọn bộ lọc màu sắc khác nhau và dạng tần số khác nhau.
+ Điện năng tiêu thụ thấp.
+ Có thể giao tiếp trực tiếp với vi điều khuyển.
- Các chức năng của các chân:
+ S0, S1 : Đầu vào chọn tỉ lệ tần số đầu ra.
+ S2, S3 : Đầu vào chọn kiểu photodiode.
+ OE : Đầu vào cho phép xuất tần số ở chân OUT.
+ OUT : Đầu ra là tần số thay đổi phụ thuộc cường độ và màu sắc. - Nguyên lý hoạt động: +
Khối đầu tiên là mảng ma trận 8x8 gồm các photodiode. Bao gồm 16
photodiode có thể lọc màu sắc xanh dương (Blue), 16 photodiode có thể
lọc màu đỏ (Red), 16 photodiode có thể lọc màu xanh lá (Green) và 16
photodiode trắng không lọc (Clear). Tất cả photodiode cùng màu được
kết nối song song với nhau và được đặt xen kẽ nhau nhằm mục đích chống nhiễu.
+ Bản chất của 4 loại photodiode trên như là các bộ lọc ánh sáng có màu
sắc khác nhau. Có nghĩa nó chỉ tiếp nhận các ánh sáng có cùng màu với
loại photodiode tương ứng và không tiếp nhận các ánh sáng có màu sắc khác.
+ Việc lựa chọn 4 loại photodiode này thông qua 2 chân đầu vào S2,S3:
+ Khối thứ 2 là bộ chuyển đổi dòng điện từ đầu ra khối thứ nhất thành tần
+ Tần số đầu ra của linh kiện điện tử TCS3200 trong khoảng
2HZ~500KHZ. Tần số đầu ra có dạng xung vuông với tần số khác nhau
khi mà màu sắc khác nhau và cường độ sáng là khác nhau. Ta có thể lựa số:
chọn tỉ lệ tần số đầu ra ở các mức khác nhau như bảng trên cho phù hợp
với phần cứng đo tần số.
3.3.2. Khối điều khiển: Bộ xử lý - Mạch ESP32 Wifi.
- Dùng để xử lý dữ liệu của cảm biến. - Giá thành: 102.000vnđ. - CPU:
+ CPU: Xtensa Dual-Core LX6 microprocessor. + Chạy hệ 32 bit
+ Tốc độ xử lý 160MHZ up to 240 MHz
+ Tốc độ xung nhịp đọc flash chip 40mhz --> 80mhz (tùy chỉnh khi lập trình)
+ RAM: 520 KByte SRAM ; 520 KB SRAM liền chip –(trong đó 8 KB
RAM RTC tốc độ cao – 8 KB RAM RTC tốc độ thấp (dùng ở chế độ DeepSleep).
- Hỗ trợ 2 giao tiếp không dây: + Wi-Fi: 802.11 b/g/n/e/i +
Bluetooth: v4.2 BR/EDR and BLE -
Hỗ trợ tất cả các loại giao tiếp:
+ 8-bit DACs( digital to analog) 2 cổng
+ Analog(ADC) 12-bit 16 cổng. + I²C – 2 cổng + UART – 3 cổng
+ SPI – 3 cổng (1 cổng cho chip FLASH ) + I²S – 2 cổng + SD card /SDIO/MMC host + Slave (SDIO/SPI)
+ Ethernet MAC interface with dedicated DMA and IEEE 1588 support + CAN bus 2.0 + IR (TX/RX)
+ Băm xung PWM (tất cả các chân ) + Ultra low power analog pre- amplifier’
- Cảm biến tích hợp trên chip esp32:
+ 1 cảm biến Hall (cảm biến từ trường)
+ 1 cảm biến đo nhiệt độ
+ Cảm biến chạm (điện dung) với 10 đầu vào khác nhau. - Bảo mật:
+ 1 cảm biến Hall (cảm biến từ trường)
+ 1 cảm biến đo nhiệt độ
+ Cảm biến chạm (điện dung) với 10 đầu vào khác nhau.
- Nguồn điện hoạt động:
+ Nhiệt độ hoạt động -40 + 85C
+ Điện áp hoạt động: 2.2-3.6V + Số cổng GPIOs : 34 - SƠ ĐỒ CHÂN:
3.3.3. Khối hiển thị: Bộ hiển thị
- Hiển thị thông tin của arduino. - Giá thành: 135.000 vnđ.
- Thông số kỹ thuật: + Điện áp hoạt động: 5V. + Màu: Xanh Dương
+ Địa chỉ I2C: 0x3F (có thể là 0x27 thay đổi theo đơn hàng của nhà sản xuất)
+ Kích thước lỗ bắt ốc: 94mm x 55mm
+ Kích thước của mạch: 98mm x 60mm x 20m + Trọng lượng: 75g - Thông số kỹ thuật:
+ Điện áp sử dụng: 2.2~5.5VDC.
+ Công suất tiêu thụ: 0.04w + Góc
hiển thị: lớn hơn 160 độ + Số điểm
hiển thị: 128×64 điểm. + Độ rộng
màn hình: 0.96 inch + Màu hiển thị:
Trắng / Xanh Dương. + Giao tiếp:
I2C, SPI + Oled giao tiếp I2C: ○ Driver: SSD1306 ○ VCC 2.2~5.5VDC ○ GND 0VDC ○ SCL Xung Clock
○ SDA Dữ liệu vào Data in Oled giao tiếp SPI ○ Driver: SH1106
○ MISO – Mang các dữ liệu từ các thiết bị SPI về vi điều khiển
○ MOSI – Mang các dữ liệu từ vi điều khiển đến các thiết bị SPI
○ SS – Chọn thiết bị SPI cần làm việc
○ SCK – dòng đồng bộ 3.3.4. Khối nguồn - Pin sạc 18650: + Dung lượng: 3400mAh
+ Giá thành: 120.000 vnđ - Đế pin:
+ Nguồn đầu ra DC 3.7V - 16V
+ Chất liệu nhựa ABS dày cứng.
+ Đầu kim loại mạ niken chống oxy hóa hạn chế tối đa điện trở tiếp xúc.
- Bảng mạch sạc pin lithium 18650 3.7V 9V 5V 2A - Bộ SạC Pin Li-ion
CHƯƠNG IV: TRIỂN KHAI VÀ KIỂM TRA 4.1. Phiên bản 0.1 4.2. Phiên bản 0.2 4.3. Phiên bản 1.0
CHƯƠNG V: KẾT LUẬN VÀ HƯỚNG PHÁT TRIỂN 5.1 Kết luận
5.1.1 Kết quả đạt được
5.1.2 Khó khăn còn tồn tại
PHỤ LỤC A: PHÂN CÔNG NHÂN SỰ A.1. Danh sách thành viên Tên Vai trò Ưu điểm Nhược điểm Nguyễn Văn Hiếu Leader - Có nhiều - Khả năng Organizer kinh nghiệm và sắp xếpthời gian Thinker kiến thức về các đôi khi còn chưa Coordinator lĩnh vực chuyên hợp lý. môn. - Luôn lắng - Quá cầu nghe ý kiến của toàn trong công các thành viên. việc. - Làm việc hăng say, hết mình với công việc. Nguyễn Đức Anh Specialist - Hòa đồng - Thi thoảng Evaluator với mọi người chưa được tập Thinker trung. Resource - Có trách Investigator nhiệm với công - Để cảm xúc việc được giao. ảnh hưởng đến công việc. - Biết tiếp thu họchỏi, có tinh thần cầu tiến, dám nghĩ dám làm Nguyễn Tuấn Anh Thinker - Có kỹ - Không lập Coach năng xử lý tình kế hoạch rõ ràng Data Analyst
huống, đàm phán trước khi thực Time Keeper thương lượng. hiện. - Ham tìm tòi họchỏi, tiếp - Dễ bị mất cận với những tập trung. kiến thức mới lạ - Có khả năng làm việc tốt dưới áp lực Trần Lương Duy Specialist - Hòa đồng với - Khả năng đọc Resource mọi người. hiểu ngoại ngữ còn Investigator hơi kém. Thinker - Làm việc - Khả năng sắp xếp
hăng say, hết mình thời gian đôi khi còn với công việc. chưa hợp lý. - Luôn cầu tiến trong công việc. Trần Anh Đức Resource - Biết tiếp thu - Chưa có Investigator Note họchỏi, có tinh nhiều kinh nghiệm Taker
thần cầu tiến, dám và kiến thức về các Organizer nghĩ dám làm. lĩnh vực chuyên môn. - Vui vẻ, hòa đồng với mọi - Dễ bị mất tập người xung quanh. trung. - Nhiệt tình, hănghái, không ngại khó khăn. Vai trò Chức năng Leader
Nhóm trưởng, lãnh đạo nhóm Organizer
Tổ chức các buổi họp, Viết báo cáo, xây dựng hệ thống
và quy tắc lưu trữ tài liệu Thinker
Lên ý tưởng, nghĩ các phương án thực hiện cho dự án Coordinator
Đảm bảo việc hoạt động nhóm diễn ra trơn tru, phối
hợp nhịp nhàng giữa các thành viên Evaluator
Đánh giá các phương án; phê phán và tìm lỗi trong quá
trình lên ý tưởng cũng như kiểm thử sản phẩm (Còn gọi là Tester) Specialist
Chuyên viên (kỹ thuật), chuyên phụ trách các phần lập trình, lắp mạch,... Coach
Hướng dẫn, huấn luyện các thành viên khác về các kỹ
năng, kỹ thuật chuyên môn...
Resource Investigator Tìm kiếm, tổng hợp và tóm tắt thông tin Data Analyst
Tính toán công thức, phân tích các thông tin, dữ liệu thu thập được Time Keeper
Nhắc deadline, quản lý lịch trình Note Taker
Ghi chép thông tin và ý tưởng được đưa ra trong các buổi họp
PHỤ LỤC B: CÔNG CỤ LÊN KẾ HOẠCH VÀ GIAO TIẾP B.1. Notion
- Notion về cơ bản là một ứng dụng ghi chú đa năng. Cũng giống như Trello,
Evernote hay Google Keep, ứng dụng này có thể tích hợp được với nhiều công
cụ khác nhau trong cùng một không gian. Tuy nhiên, ứng dụng này lại tối ưu
hơn nhiều, nó mang lại nhiều tính năng thông minh như ghi chú, quản lý thời
gian, lập kế hoạch, viết blog, nhật ký,…
- Trước đây, bạn sẽ phải sử dụng cùng lúc rất nhiều app để ghi chú và lưu trữ dữ
liệu, thì giờ đây, bạn có thể làm toàn bộ những công việc đó chỉ với duy nhất một ứng dụng Notion.
+ Viết ghi chú, Todo list, mục tiêu đặt ra mỗi ngày,…thay thế cho Onenote, Evernote
+ Lên thời gian biểu lịch họp thay cho Word, Excel
+ Lên kế hoạch công việc cụ thể theo ngày/tuần/tháng/năm, lên lịch nhắc
nhở sự kiện, deadline công việc thay thế cho Google Calendar
+ Quản lý thời gian, tài chính hiệu quả
+ Quản lý dự án, phân chia nhiệm vụ thay thế cho Jiva, Trello
+ Lưu trữ các tài liệu tham khảo,.. + Làm Bullet Journal
- Link truy cập Notion của nhóm: Click vào đây. (https://www.notion.so/D-LI-
U-D-N-a74a489b14f74fc1a0c29184ff45fd49)
B.2. Facebook Messenger
- Facebook Messenger là ứng dụng nhắn tin và gọi điện miễn phí của Facebook.
Tất cả các thành viên của nhóm đều sử dụng Messenger, vì thế ứng dụng này là
nơi nhắn tin chung và thông báo công việc.
PHỤ LỤC C: CÔNG CỤ LẬP TRÌNH VÀ THIẾT KẾ MẠCH C.1. Fritzing
- Fritzing là một chương trình mã nguồn mở cho phép người dùng
tạonguyên mẫu hoặc sơ đồ mạch điện trước khi lắp ráp trong thực tế. Đây
là một trong những plugin tốt nhất của IDE Arduino. Fritzing có thể được
sử dụng để tạo ra thiết kế, tạo các dự án điện tử giúp cho người dùng có
thể dễ dàng có một bản thiết kế tường minh trước khi thực hiện dự án,
hoặc sau khi thực hiện để dễ trình bày.
- Các ưu điểm khi sử dụng Fritzing:
+ Có cộng đồng phát triển lớn, số lượng người dùng lớn và rất nhiệt tình hỗ trợ
+ Nhiều tính năng và thiết bị điện tử để sử dụng vẽ mạch
+ Cách sử dụng không quá khó
+ Lý tưởng cho các dự án dựa trên Arduino C.2. VS Code C.3. PlatformIO
PHỤ LỤC D: BẢNG CHI TIÊU Đơn giá Số Lượng Thành tiền(VNĐ) TỔNG
PHỤ LỤC E: CÁC CÔNG THỨC TÍNH TOÁN CHI TIẾT
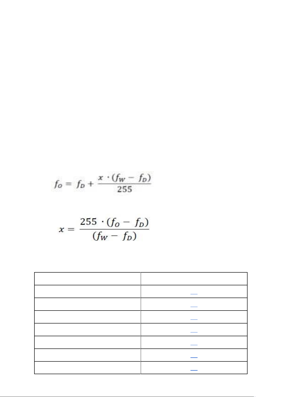
- Cảm biến TCS230 (hoặc TCS3200) nhận dạng màu sắc tốt song chúng cần
được hiệu chỉnh để đạt được hiệu quả cao.
- Đầu ra từ cảm biến là sóng vuông (50% chu kỳ hoạt động) với tần số (fO) tỷ lệ
thuận với cường độ ánh sáng: + fO là tần số đầu ra
+ fD là tần số đầu ra trong điều kiện tối (khi Ee = 0)
+ Re là độ nhạy của thiết bị đối với bước sóng ánh sáng nhất định tính bằng kHz/(mW/cm2)
+ Ee là bức xạ tới tính bằng mW/cm2.
- fD là tần số đầu ra do dòng rò. Như thể hiện trong phương trình trên, tần số này
biểu thị một số hạng không phụ thuộc vào ánh sáng trong tổng tần số đầu ra fO.
- fO tỷ lệ thuận với tần số nên có thể ánh xạ giữa tần số và giá trị màu RGB
(0255 cho mỗi R, G và B) bằng phép nội suy tuyến tính.
- Khi biết fD, giá trị này có thể được sử dụng để chia tỷ lệ tất cả các tần số trung
gian thành giá trị RGB tương ứng. Mối quan hệ tỷ lệ được biểu thị bằng
phương trình đường thẳng tiêu chuẩn y = mx + b trong đó:
+ y là số đọc thu được (fO)
+ x là giá trị RGB chuẩn hóa
+ b là giá trị của y khi x bằng 0 (fD)
+ m là hệ số góc, hay hằng số tỷ lệ của đường thẳng ([fW–fD]/255).
Phương trình kết quả là:
Tính giá trị RGB mong muốn:
PHỤ LỤC F: TÀI LIỆU THAM KHẢO TÀI LIỆU SOURCE Vi điều khiển (1) Nguồn linh kiện (2) Web tham khảo màu ADOBE (3)
Chuẩn màu sắc trong in ấn (4) Mẫu Báo Cáo (5)
Hướng dẫn vẽ mạch trên Altium (6) HDSD TCS3200 (7)