










Preview text:
Báo cáo thí nghiệm lý thuyết mạch II • Sinh viên: Nguyễn • Mssv: 2018 Mã lớp: 707
Nghiên cứu quá trình quá độ trong mạch điện tuyến tính
I. Nghiên cứu quá trình quá độ trong mạch R_C
A. Quá trình tự do trong mạch R_C -
Ví dụ 1 mạch điện có thông số như trong hình, làm các bước như trong hướng dẫn ta
có đồ thị sơ đồ mạch điện: -
Quá trình quá độ của điện trở khi thay đổi trị số từ 0.5k(om) đến 1.5k(om):
B-0. Quá trình quá độ trong mạch R_C với nguồn điện áp hằng B-1. quá trình quá độ trong
mạch R_C với nguồn điện áp hình sin -
quá trình quá độ trong mạch r_C với nguồn điện áp hình sin, ta có đồ thị quá độ trong
mạch sau khi thực hiện bằng circuit maker:
B-2. quá trình quá độ trong mạch R_C với nguồn điện áp hàm mũ
B-3. quá trình quá độ trong mạch R_C với nguồn điện áp có dạng hàm tuyến tính từng đoạn
II. nghiên cứu quá trình quá độ trong mạch R_ l
Tương tự quá trình quá độ trong mạch R_C
C-0. quá trình quá độ trong mạch R_L với nguồn điện áp hằng
c-1. quá trình quá độ trong mạch R_l với nguồn điện áp hình sin
III. nghiên cứu QTQĐ trong mạch R_L_C
D-0. quá trình quá độ trong mạch R_L_C với nguồn điện áp hằng (trường hợp 2 nghiệm thực âm)
D-1. quá trình quá độ trong mạch R_L_C với nguồn điện áp hằng (trường hợp
phương trình đặc trưng có 2 nghiệm phức liên hợp)
IV. nghiên cứu QTQĐ trong mạch điện phức tạp
Sơ đồ: dòng điện quá độ trong các nhánh
Sơ đồ: điện áp hằng của nguồn điện áp V1 và điện áp quá độ trên điện dung trong mạch
Một số tính chất của mạch điện phi tuyến
I. Trường hợp cuộn dây lõi thép nối tiếp tụ điện
1. Mạch có cuộn lõi thép nối tiếp với tụ điện ( tăng điện áp )
2. Mạch có cuộn lõi thép nối tiếp tụ điện ( giảm điện áp )
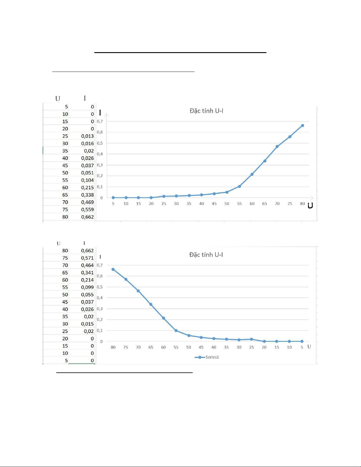
II. Đặc tính uRa(Uvào) của sơ đồ mạch ổn áp
1. Đặc tính trong trường hợp không tải
2. đặc tính trong trường hợp có tải
Tính chế độ xác lập trong mạch điện phi tuyến bằng matlab
1. Code matlab để tính chế độ xác lập dừng ( phương pháp đồ thị ) 2. phương pháp lặp Sau khi thực hiện code: