



















Preview text:
lOMoAR cPSD| 58504431 Câu hỏi ôn tập Câu hỏi:
1. Khí nhà kính là gì và gồm những loại khí nào? Hãy lấy các ví dụ về các khí nhà kính phát
sinh từ các hoạt động của con người.
2. Giải thích hiệu ứng nhà kính tự nhiên và hiệu ứng nhà kính nhân tạo.
3. Phân biệt sự ấm lên toàn cầu và BĐKH.
4. Phân tích các biểu hiện của BĐKH. Hãy lấy các ví dụ thực tiễn để minh họa.
5. Phân tích các nguyên nhân gây ra BĐKH. Hãy lấy các ví dụ thực tiễn để minh họa về BĐKH do con người gây ra.
6. Phân tích các tác động của BĐKH đến hệ thống tự nhiên và hệ thống kinh tế-xã hội. Hãy lấy
các ví dụ thực tiễn để minh họa.
7. Phân tích các tác động của BĐKH đến các ngành kinh tế. Hãy lấy các ví dụ thực tiễn để minh họa.
8. Phân tích các tác động của BĐKH đến các vùng. Hãy lấy các ví dụ thực tiễn để minh họa. 9.
Phân tích các tác động của BĐKH đến các nước phát triển và đang phát triển. Hãy lấy các ví
dụ thực tiễn để minh họa.
10. Phân tích các tác động của BĐKH đến sự phát triển bền vững của các quốc gia. Hãy lấy
các ví dụ thực tiễn về Việt Nam để minh họa.
11. Tại sao BĐKH cần được giải quyết trên phạm vi toàn cầu?
12. Giảm nhẹ BĐKH là gì? Có những chính sách giảm nhẹ BĐKH nào? Hãy lấy một số ví dụvề
các chính sách giảm nhẹ BĐKH trong ngành năng lượng và công nghiệp.
13. Thích ứng với BĐKH là gì? Có những chính sách thích ứng với BĐKH nào? Hãy lấy mộtsố
ví dụ về các chính sách thích ứng với BĐKH trong ngành nông nghiệp.
14. Trình bày những nội dung chính của Công ước khung của Liên Hiệp Quốc về BĐKH (năm 1992).
15. Trình bày những nội dung chính của Nghị định thư Kyoto (năm 1997).
16. Trình bày những nội dung chính của Thỏa thuận Paris về Khí hậu (năm 2015).
17. Hãy giải thích bằng đồ thị thất bại của thị trường trong trường hợp hoạt động sản xuất phát
thải các khí nhà kính gây biến đổi khí hậu.
18. Hãy giải thích bằng đồ thị thất bại của thị trường trong việc cung cấp hàng hóa “giảm phát thải khí nhà kính”.
19. Tại sao cần xem xét khía cạnh đạo đức trong các phân tích kinh tế đối với BĐKH?
Nhữnghàm ý về khía cạnh kinh tế của vấn đề này trong các phân tích kinh tế về BĐKH là gì?
20. Tại sao các tác động của BĐKH là không chắc chắn? Những hàm ý về khía cạnh kinh tế
của vấn đề này trong các phân tích kinh tế về BĐKH là gì?
21. Tại sao các tác động của BĐKH có tính dài hạn? Những hàm ý về khía cạnh kinh tế của
vấn đề này trong các phân tích kinh tế về BĐKH là gì?
22. Trình bày cách xác định mức phát thải khí nhà kính toàn cầu tối ưu về kinh tế. Những đặc
điểm của BĐKH tạo ra những thách thức gì khi xác định mức phát thải khí nhà kính toàn
cầu tối ưu về kinh tế?
23. Trình bày các công cụ mệnh lệnh – kiểm soát (tiêu chuẩn phát thải, tiêu chuẩn công nghệ)
để giảm phát thải khí nhà kính.
24. Trình bày các công cụ kinh tế (thuế các bon, thuế năng lượng, thuế phát thải khí nhà kính,
giấy phép phát thải khí nhà kính có thể chuyển nhượng, trợ cấp giảm phát thải khí nhà kính)
để giảm phát thải khí nhà kính.
25. Trình bày phương pháp phân tích chi phí – lợi ích và các chỉ tiêu đánh giá hiệu quả được
sử dụng trong phân tích chi phí – lợi ích các biện pháp thích ứng với BĐKH.
26. Trình bày phương pháp phân tích chi phí – hiệu quả và các chỉ tiêu đánh giá hiệu quả được
sử dụng trong phân tích chi phí – hiệu quả các biện pháp thích ứng với BĐKH.
27. Trình bày các công cụ kinh tế đối với thích ứng với BĐKH. lOMoAR cPSD| 58504431
28. Trình bày một số giải pháp toàn cầu nhằm ứng phó với biến đổi khí hậu.
29. Một số vấn đề thực tiễn về kinh tế và chính sách biến đổi khí hậu trên thế giới (ví dụ: thực
tiễn áp dụng thuế các bon của các quốc gia trên thế giới và khả năng áp dụng thuế các bon
ở Việt Nam, chiến lược phát thải ròng bằng 0 – Net zero emission trên thế giới và khả năng
thực hiện ở Việt Nam, kinh tế tuần hoàn nhằm giảm nhẹ biến đổi khí hậu và tiềm năng áp
dụng ở Việt Nam, thị trường các bon và tiềm năng thực hiện ở Việt Nam, …).
30. Một số vấn đề thực tiễn về kinh tế và chính sách biến đổi khí hậu ở Việt Nam (ví dụ: chính
sách giảm nhẹ biến đổi khí hậu của ngành năng lượng Việt Nam, chính sách thích ứng với
biến đổi khí hậu của ngành nông, lâm, thủy sản Việt Nam, ….).
1. Khí nhà kính là gì và gồm những loại khí nào? Hãy lấy các ví dụ về các khí nhà kính
phát sinh từ các hoạt động của con người.
KNK là loại khí trong khí quyển có khả năng hấp thụ bức xạ sóng dài (bức xạ hồng ngoại)
được phản xạ từ bề mặt trái đất, sau đó phân tán nhiệt cho trái đất. Ảnh hưởng ròng của
quá trình này là KNK giữ lại một phần năng lượng hấp thụ và làm cho bề mặt trái đất ấm lên.-IPPC
Theo Điều 3, điểm 25 Luật bảo vệ môi trường VN thì KNK là các loại khí trong khí quyển
gây ra sự ấm lên toàn cầu và BDKH. -QH2014.
Các KNK từ hd con người: +H20
+ C02: đốt nhiên liệu, chặt phá rừng
+CH4: nông nghiệp, Tiêu hóa thức ăn gia súc, chất thải gia súc, phân bón, rác thải
+ N20; Nông nghiệp, ....phế phẩm nông nghiệp và đồng cỏ
O3: Chất thải các động cơ
CFCs: sản xuấ điẹn lạnh: tủ lạnh, điều hòa. Khí Flo; HFCs, SF6, PFCs
* Nồng độ( mức độ tập trung knk)= chênh lệch Tổng KNK thải ra từ các nguồn- Tổng KNK
được loại bỏ , bể hấp thụ KNK- Dvi phần triệu( ppm )
2. Giải thích hiệu ứng nhà kính tự nhiên và hiệu ứng nhà kính nhân tạo.
-Hiệu ứng nhà kính tự nhiên: Ánh sáng mặt trời đi qua tấm kính của nhà kính để làm ấm
kk bên trong, nhưng tấm kính của nhà kính lại ngăn cản việc thoát nhiệt từ trong nhà kính
ra ngoài -Tức là tấm kính có chức năng giữ ấm nhiệt độ bên trong nhà kính. Nếu kh có khí
nhà kính nhiệt độ trái đất sẽ là 0 độ F và đóng băng.
-Hiệu ứng nhà kính nhân tạo( tăng cường): Nồng độ các KNK trừ H20 đang tăng lên đáng
kể từ hoạt động con người. Hiệu ứng nhà kính tự nhiên chuyển sang hiệu ứng nhà kính nhân tạo
Sự dày lên của lớp KNK làm giảm năng lượng thoát ra từ trái đất ra vũ trụ do đó trái đất sẽ
ấm dần lên. Con người làm hiệu ứng nhà khính vượt quá mức tự nhiên gọi là hiệu ứng nhà kính nhân tạo
3. Phân biệt sự ấm lên toàn cầu và BĐKH.
-Ấm lên toàn cầu: sự gia tăng dần dần của nhiệt độ trung bình toàn cầu (nhiệt độ khí quyển
trái đất và đại dương). Mà sự thay đổi về nhiệt độ trung bình dẫn đến sự biến đổi khí hậu của trái đất. lOMoAR cPSD| 58504431
NN: Do sự gia tăng lượng phát thải khí nhà kính và do sự gia tăng nhiệt độ trung bình ( vì khi
đó khả năng hấp thụ tự nhiên của các bể hấp thụ khí nhà kính bị giảm xuống, thâm chí còn
phát sinh ra lượng KNK bổ sung. -BDKH:
+ Thời tiết là trạng thái khí quyển tại một địa điểm nhất định được xác định = tổ hợp các
yếu tố như nhiệt độ , áp suất, độ ẩm, tốc độ gió, mưa... thay đổi hằng ngày và có tính thất thường.
+Khí hậu là trạng thái trung bình theo thời gian thường là 30 năm của thời tiết thay đổi lâu dài và có ổn định
=> BDKH là trạng thái trung bình theo thời gian (sự biến đổi trạng thái của khí hậu) so với
trung bình và/hoặc sự dao động của khí hậu duy trì trong một khoảng time dài thường là
thập kỷ – Bộ TNMT do con ng gây ra một cách trực tiếp hoặc gián tiếp làm thay đổi thành
phần khí quyển và do sự biến động tự nhiên của khí hậu qua thời kì có thể ss.-UN Sự ấm
lên chỉ là 1 biểu hiện của BDKH.
4. Phân tích các biểu hiện của BĐKH. Hãy lấy các ví dụ thực tiễn để minh họa. •
Nhiệt độ TB toàn cầu tăng: Sự biến đổi khí hậu toàn cầu đang ngày càng có chuyển
biến xấu. Điển hình là sự nóng lên của Trái Đất, nhiệt độ trung bình ngày càng tăng
cao do sự nóng lên của bầu khí quyển. Theo WNO giai đoạn 2015 – 2019 nhiệt độ
trung bình có xu hướng cao kỷ lục, hơn 0,2 độ C so với thời kỳ 2011 – 2015 và sẽ
không dừng lại nếu không khắc phục kịp thời.
VD: Nhiệt độ có xu thế tăng ở hầu hết các trạm quan trắc, tăng nhanh trong những
thập kỷ gần đây. Số ngày nóng tăng ở hầu hết các khu vực, đặc biệt là ở khu vực
Đông Bắc, đồng bằng Bắc Bộ và Tây Nguyên, nhưng giảm ở một số trạm thuộc khu
vực Tây Bắc, Nam Trung Bộ và khu vực phía Nam. Có sự khác nhau về mức tăng
nhiệt độ giữa các vùng và các mùa trong năm, mức tăng nhiệt độ cao nhất vào mùa
đông, thấp nhất vào mùa xuân. Theo Trung tâm Dự báo khí tượng thuỷ văn quốc gia,
dựa trên dữ liệu cập nhật của 30 năm trở lại đây, nhiệt độ trung bình tại miền Bắc và
Bắc Trung Bộ hiện tại cao hơn từ 0,5 - 1,0°C so với nhiệt độ trung bình của các năm trước. •
Mực nước biển dâng: Biểu hiện tiếp theo đó là sự dâng cao của mực nước biển do
băng tan. Theo NASA, đến năm 2100 thì mực nước biển có thể dâng cao hơn 0,3 – 1,2m.
VD:Số liệu quan trắc trong vòng hơn 40 năm qua tại các trạm hải văn (từ năm 1961 -
2014) cho thấy, tại hầu hết các trạm, mực nước biển có xu thế tăng, với tốc độ mạnh
nhất vào khoảng 5,58 mm/năm tại trạm Phú Quý và 5,28 mm tại trạm Thổ Chu. Tính
trung bình, mực nước tại các trạm hải văn của Việt Nam có xu hướng tăng rõ rệt với
mức tăng khoảng 2,45 mm/năm. Nếu tính trong thời kỳ 1993 - 2014, mực nước biển
trung bình tại các trạm hải văn đều có xu thế tăng với mức độ tăng trung bình khoảng
3,34 mm/năm. Từ năm 2015 đến 2020, mực nước biển trung bình tại các trạm cũng đều có xu thế tăng. •
lượng mưa thay đổi: BĐKH đang khiến vòng tuần hoàn nước xảy ra nhanh hơn khi
nhiệt độ tăng làm tăng độ bay hơi, bốc hơi nhiều sẽ gây ra mưa nhiều hơn, tốc độ bay
hơi và lượng mưa cao hơn lại không được phân bố đều. Một số khu vực có thể hứng
chịu lượng mưa lớn hơn bình thường, trong khi đó, các khu vực khác có thể phải trải qua hạn hán. lOMoAR cPSD| 58504431
VD:Lượng mưa trung bình năm cả nước có xu thế tăng nhẹ. Trong đó, tăng nhiều nhất
vào các tháng mùa đông và mùa xuân, giảm vào các tháng mùa thu. Trong giai đoạn
2016 - 2020, diễn biến mưa một số nơi không phù hợp với quy luật nhiều năm.Thay vì
chỉ mưa vào một số mùa nhất định trong năm thì các cơn mưa trái mùa lại thường xuyên
xuất hiện gây lũ lụt gây hại đến con người và môi trường sống. •
các hiện tượng khí hậu cực đoan gia tăng (bão, lũ, hạn hán…):Biến đổi khí hậu kéo
theo nhiều hiện tượng thời tiết cực đoan như: mưa bão, lốc xoáy, mưa đá, hiện tượng
EL NINO,… Khu vực Ấn Độ Dương, Bắc Băng Dương, Tây Bắc Thái Bình Dương là
nơi ảnh hưởng rõ rệt nhất.
VD: Năm 2016, người dân miền Trung và miền Nam Việt Nam đã trải qua đợt hạn hán
và xâm nhập mặn lớn nhất trong lịch sử 90 năm vừa qua, ảnh hưởng tới hơn 50 tỉnh,
thành phố trên cả nước, trong đó 18 tỉnh phải thông báo tình trạng khẩn cấp. Trong đợt
nắng nóng năm 2019 ở Hương Khê (tỉnh Hà Tĩnh), nhiệt độ đo được ngày 20 tháng 4
là 43,4°C, mức cao nhất trong lịch sử quan trắc của Việt Nam đến nay. Năm 2020, nền
nhiệt độ trung bình tháng phổ biến cao hơn trung bình nhiều năm từ 0,5 - 1,5°C; đặc
biệt, trong tháng 3 và tháng 4, nhiệt độ trung bình tháng cao hơn so với trung bình nhiều năm từ 1,6 - 3,0°C.
5. Phân tích các nguyên nhân gây ra BĐKH. Hãy lấy các ví dụ thực tiễn để minh họa về
BĐKH do con người gây ra.
-Nguyên nhân khách quan ( do sự biến đổi của tự nhiên): những biến đổi của tự nhiên gây
ra BĐKH bao gồm: sự biến đổi các hđ của mặt trời, sự thay đổi của quỹ đạo trái đất, sự
thay đổi vị trí và quy mô của các châu lục, sự biến đổi của các dòng hải lưu và sự lưu
chuyển trong nội bộ hệ thống khí quyển,...
-nguyên nhân chủ quan (do sự tác động của con người): sự gia tăng lượng phát thải khí
CO2 và các khí nhà kính khác từ các hoạt động của con người cũng góp phần làm cho
bầu khí quyển ấm đàn lên và từ đó kéo theo BĐKH toàn cầu. Thủ phạm đầu tiên là khí
CO2 được thải ra từ các hoạt động đốt than, dầu và khí tự nhiên trong các nhà máy điện,
xe hơi và nhà máy sản xuất. Thủ phạm thứ hai là CH4 được tạo ra từ trồng lúa, chất thải
từ chăn nuôi, quá trình phân hủy rác thải từ các bãi chôn lấp, từ hoạt động khai thác mỏ
và từ các đường ống dẫn khí. Thủ phạm thứ 3 là NO2 từ đất nông nghiệp, chất thải gia
súc, phân bón và hóa chất trong nông nghiệp. Việc phát thải khí CFC và các hóa chất có
thành phần tương tự là thủ phạm cho bầu khí quyển ấm lên
6. Phân tích các tác động của BĐKH đến hệ thống tự nhiên và hệ thống kinh tế-xã hội.
Hãy lấy các ví dụ thực tiễn để minh họa.
*Hệ thống tự nhiên: hệ quả chung : sự phân bố , tính đa dạng sinh học và năng suất của hệ
sinh thái sẽ bị suy giảm
Ví dụ: các hệ sinh thái bị ảnh hưởng trước tác động như đất, nước, rừng, rừng ngập mặn .,
sức khỏe, chức năng hệ sinh thái. ví dụ chặt phá rừng ngập mặn để nuôi tôm dẫn đến phá
hệ sinh thái rừng ngập mặn.
*Hệ thống kinh tế-xã hội: sức khỏe, kinh tế xã hội, phúc lợi con người. Ví dụ chặt phá rừng-
> lũ quét con người bị ảnh hưởng kh chỉ về tính mạng mà mất nhà cửu , ruộng vườn-mất sinh kế. lOMoAR cPSD| 58504431
7. Phân tích các tác động của BĐKH đến các ngành kinh tế. Hãy lấy các ví dụ thực tiễn để minh họa.
-Nông nghiệp: dễ bị tổn hại nhất
+ Thu hẹp diện tích đất do ngập lut, mặn hóa
+ Thiếu nước tưới do hạn hán thay đổi chế độ mưa
+ Thay đổi mùa vụ và gia tăng dịch bệnh gia súc do thời tiết thay đổi và khí hậu cực đoan
-> giảm năng suất và sản lượng , giảm cơ hội việc làm, tăng giá đe dọa an ninh lương thực.
Ví dụ: 3tr ng chết mỗi năm do suy dinh dưỡng , 100-400 tr có nguy cơ bị đói, 1-2 tỷ ng kh
có đủ nước phục vụ nhu cầu sinh hoạt- NHTG2010
-Đánh bắt và nuôi trồng thủy sản: ảnh hưởng bởi sự thay đổi của nguồn nước, làm thay đổi
giống loài, trữ lượng và năng suất của nguồn lợi thủy sản.
-Du lịch và công nghiệp ven biển: Nước biểm dâng làm phá hủy tài sản hoặc nhiệt độ tăng
làm tăng tiêu thụ năng lượng
-Xây dựng: nhà ở và đường giao thông bị ảnh hưởng bởi nước biển dang và lũ gây ngập lụt
-An ninh xã hội: việc làm trong nn trở nên bấp bênh rủi ro hơn và 1 bộ phân lao động
chuyển dổi việc dẫn đến giảm thời gian làm việc -> thu nhập giảm và tăng lao động di cư
8. Phân tích các tác động của BĐKH đến các vùng. Hãy lấy các ví dụ thực tiễn để minh họa
-Những vùng bị ảnh hưởng nhiều nhất là: ven biển và đảo nhỏ, châu thổ các con sông lớn, vùng núi -
VD; theo ngân hàng TG (2010), châu phi cận sahara với ⅔ diện tích bề mặt tự nhiên là
sa mạc hoặc đất đai cằn cỗi rất dễ bị hạn hán, lũ lụt và tình trạng trên sẽ gia tăng gấp nhiều
lần trong bối cảnh BĐKH. Khu vực Đông Á - TBD có dân cư đông đúc sống ở vùng duyên
hải và các hải đảo trũng thấp (TQ có khoảng 130 triệu dân, VN có khoảng 40 triệu dân) rất dễ
bị ả/h bởi nước biển dâng. IPCC (2007) đánh giá rằng các vùng đồng bằng của các con sông
lớn như đồng bằng sông cửu long ở VN, Đồng bằng sông Nile ở Ai Cập, đồng bằng sông
Hằng ở Bangladesh là 3 đồng bằng trên TG bị ả/h nhiều nhất bởi nước biển dâng gây ngập lụt -
Trong các khu vực địa lý, vùng ven biển và các quốc gia đảo nhỏ, đặc biệt ở châu Á và
châuPhi, là những khu vực dễ bị tổn thg nhất bởi những ả/h từ mực nước biển dâng, bão, gió,
lốc xoáy, ngập lụt và xâm thực bờ biển.
Ví dụ: trên phạm vi toàn cầu có 150 tr ng sống trong phạm vi 1m của mực thủy triều cao
và 250 tr ng sống trong phạm vi mực thủy triều cao -NASA 2009
9. Phân tích các tác động của BĐKH đến các nước phát triển và đang phát triển. Hãy lấy
các ví dụ thực tiễn để minh họa.
-Các nước ĐPT sẽ ảnh hưởng nhiều nhất vì:
+ nằm trong vùng tự nhiên điều kiện tự nhiên dễ bị tổn thương: châu á-TBD; châu phi tài
nguyên suy thoái do dân số, đô thị hóa nhanh kèm nghèo đói
+ Nền kinh tế phụ thuộc vào tài nguyên: hệ quả của cái trên
+Phụ thuộc vào sản xuất nông nghiệp như nguồn thu nhập và tạo việc làm chủ yếu ( nn
chiếm 1/3 doanh thu xuất khẩu của 50 nước đang phát triển và gần 1 nửa việc làm ở các lOMoAR cPSD| 58504431
nước đpt . Ở châu phi nông nghiệp đóng góp 23% vào GDP tạo việc là cho 70% dân số NHTG2010.
+ Cơ sở hạ tầng yếu kém, đặc biệt nhà ở và đường giao thông chất lượng kém không được
bảo dưỡng thường xuyên -> khả năng chống chọi kém.
=> gánh chịu 75-80% chi phí tổn thất do BDKH do thiếu năng lực tài chính và thể chế để
quản lý rủi ro khí hậu. -NHTG2010 -Các nước phát triển:
+TN cao cũng bị ảnh hưởng bởi BDKH. Mức thiệt hại tính bình quân cao hơn vì mặc dù
các nước này chiếm 16% dân số thế giới nhưng chiếm 20-25% chi phí thiệt hại toàn cầu.
Sự giàu có giúp đương đầu tốt hơn
+ Đem lại tác động tích cực đối với 1 số nước phát triển như Nga, Canada và 1 số quốc gia
thông qua gia tăng năng suất nông nghiệp làm giảm tỉ lệ tử vong và nhu cầu về sưởi về mùa
đông, tạo bùng nổ về du lịch khi khí hậu ấm.
=> Bất lợi với nước đang phát triển và là trở ngại lớn về giảm nghèo , bất bình đẳng các quốc gia
10. Phân tích các tác động của BĐKH đến sự phát triển bền vững của các quốc gia. Hãy
lấy các ví dụ thực tiễn về Việt Nam để minh họa. 3 lĩnh vực:
-Kinh tế: nn, lâm nghiệp, thủy sản, năng lượng, GTVT, CN, XD, DL-> thiệt hại tài sản,mất sinh kế
- Xã hội; sức khỏe, nghèo đói, việc làm, bình đẳng giới->tạo dòng người di cư và gây xáo trộn trật tự xã hội
-Môi trường; tài nguyên nước, rừng, biển, hệ sinh thái, đa dạng sinh học, chất lượng không
khí ->suy giảm tài nguyên thiên nhiên Ví Dụ Việt Nam:
Về kinh tế: Cũng theo ước tính, nếu nước biển dâng lên 1m có khả năng ảnh hưởng tới
12% diện tích và 20% dân số Việt Nam, làm ngập khoảng từ 0,3 đến 0,5 triệu ha tại đồng bằng
sông Hồng và 1,5-2 triệu ha tại đồng bằng sông Cửu Long và hàng trăm ngàn ha ven biển miền
Trung. Bão, lũ trong những năm vừa qua cũng gây ra nhiều hậu quả nặng nền về người cũng
như tài sản đặc biệt đối với các khu vực ven biển. Những cơ sở nuôi trồng, tàu thuyền đánh bắt,
mùa màng của người dân bị tàn phá gây thiệt hại nặng nề. Những cơn gió mạnh và những cơn
bão bất thường thậm chí ở những vùng mà trước đây ít chịu ảnh hưởng bởi bão cũng gây nhiều
thiệt hại về nhà cửa, công trình, mùa màng cũng như tính mạng người dân.
Xã hội: Khí hậu nóng lên sẽ ảnh hưởng trực tiếp hoặc gián tiếp đến sự lây lan của nhiều
bệnh truyền nhiễm, đặc biệt là sự xuất hiện và lây lan của các bệnh do côn trùng gây ra như
sốt rét, viêm não vi rút và sốt xuất huyết. Khi nhiệt độ của mặt biển tăng lên, tỷ lệ mắc bệnh
truyền qua thủy vực cũng sẽ tăng lên. Bộ Y tế Việt Nam, cho biết năm 2017 "từ năm 2030
đến năm 2050, biến đổi khí hậu sẽ gây ra hàng năm 250.000 người chết vì suy dinh dưỡng,
sốt rét, tiêu chảy và sốc nhiệt. "trên toàn cầu, theo Tổ chức Y tế Thế giới. Môi trường:Hà
Nội ô nhiễm thứ 3 thế giới 14/9/2022- AQI là 164 ; VN là nước phá rừng nguyên sinh đứng
thứ 2 thế giới dẫn đến một số loại động thực vật liệt kê sách đỏ như voọc quần trắng. lOMoAR cPSD| 58504431
11. Tại sao BĐKH cần được giải quyết trên phạm vi toàn cầu?
Hậu quả liên quan đến tất cả mn kh phân biệt là ai giàu hay nghèo, Cần chung tay giữa các
nước mới có thể giải quyết.
12. Giảm nhẹ BĐKH là gì? Có những chính sách giảm nhẹ BĐKH nào? Hãy lấy một số ví
dụ về các chính sách giảm nhẹ BĐKH trong ngành năng lượng và công nghiệp. *Giảm
nhẹ BDKH: Can thiệp của con người nhằm giảm thiểu các nguồn phát thải KNK hoặc tăng
cường các bể hấp thun KNK – IPPC 2014 *Có 2 cách:
+Giảm thiểu nguồn phát thải trong các ngành Năng lượng, CN, NN, LN, sử dụng đất , GTVT, Thương mại
+ Tăng cường các bể hấp thụ KNK: từ các hoạt động sử dụng đất, thay đổi sử dụng đất và lâm nghiệp
Ví dụ Chính sách giảm nhẹ BDKH trong ngành năng lượng và CN: để giảm thải CO2 bên
cạnh chuyển đổi nhiên liệu hóa thạch, sang nguyên liệu thay thế nhưu năng lượng tái tạo
từ nước, gió, ánh sáng mặt trời, địa nhiệt sóng biển, nhiên liệu sinh học,, tăng cường trồng
rừng, giảm chặt phá, hỗ trợ tài chính và công nghệ các nước DPT đi theo con đường phát
thải các bon thấp nhưng không làm mất đi cơ hội phât triển của mình.
13. Thích ứng với BĐKH là gì? Có những chính sách thích ứng với BĐKH nào? Hãy lấy
một số ví dụ về các chính sách thích ứng với BĐKH trong ngành nông nghiệp. *Thích
ứng là quá trình điều chỉnh của hệ thống tự nhiên và con người trước BDKH dự kiến hoặc
thực tế và những tác động của BDKH làm giảm/ hoặc tránh những ảnh hưởng bât lợi và tận
dụng các cơ hội có lợi do BDKH mang lại. -IPPC2014 *Những chính sách thích ứng :
•Thích ứng về công nghệ
• Thích ứng về tài chính
• Thích ứng về thông tin
• Thích ứng về thể chế, chính sách
Ví dụ về chính sách thích ứng trong nông nghiệp:
+ Xây dựng và hoàn thiện khung các văn bản pháp luật đồng bộ với các luật và các văn
bản dưới luật để bảo vệ nền nông nghiệp hàng hóa, sạch, đa dạng, phát triển bền vững
+ Sửa đổi và hoàn thiện các cơ chế, chính sách nhằm hỗ trợ áp dụng các công nghệ mới,
các giải pháp khoa học kỹ thuật hiện đại chuyển đổi cơ cấu cây trồng, vật nuôi và biện pháp kỹ
thuật canh tác mới phù hợp với BĐKH;
+ Xây dựng và triển khai thực hiện các hoạt động khoa học công nghệ thích ứng với
BĐKH của ngành nông nghiệp;
+ Quy hoạch sử dụng đất nông nghiệp, mặt nước thủy sản hiệu quả với việc xem xét
đến tác động trước mắt và tác động tiềm tàng của BĐKH đảm bảo nền sản xuất nông nghiệp
hàng hóa ổn định và bền vững và
+ Quy hoạch khai thác sử dụng hiệu quả nguồn nước trên các hệ thống thủy lợi có xét
đến tác động của BĐKH. lOMoAR cPSD| 58504431
+ tích cực áp dụng khoa học công nghệ vào sản xuất nông nghiệp, tiến hành công nghiệp
hóa, hiện đại hóa nông nghiệp, nông thôn kết hợp với quy hoạch tổng thể vùng sản xuất cũng
những giải pháp nhằm phát triển bền vững cho nền nông nghiệp. VietGAP
14. Trình bày những nội dung chính của Công ước khung của Liên Hiệp Quốc về BĐKH (năm 1992).
Tháng 6 năm 1992, 154 quốc gia tham dự Hội nghị của Liên Hiệp Quốc về Môi trường và
Phát triển (còn gọi là Hội nghị Thượng đỉnh Trái đất) tại Rio de Janeiro đã ký kết Công ước.
• Hiện nay, có 195 quốc gia trên thế giới đã phê chuẩn Công ước (http://unfccc.int/).
• UNFCCC được coi là công ước quốc tế đầu tiên về BĐKH và là nền tảng cho các nỗlực
quốc tế nhằm chống lại BĐKH toàn cầu.
Mục tiêu: “ổn định nồng độ khí nhà kính trong khí quyển ở mức có thể ngăn chặn được các
rủi ro nguy hiểm do tác động của con người đối với hệ thống khí hậu. Nồng độ này cần đạt
được trong một khoảng thời gian đủ để cho phép các hệ sinh thái có thể thích ứng một cách
tự nhiên với BĐKH, đảm bảo sản xuất lương thực không bị đe dọa và sự phát triển kinh tế
được thực hiện theo cách thức bền vững”. *Nguyên tắc
• Các nước tham gia Công ước phải bảo vệ hệ thống khí hậu vì lợi ích của thế hệ hiện tạivà
tương lai trên cơ sở công bằng, trách nhiệm chung nhưng có sự phân biệt;
• Cần xem xét đầy đủ nhu cầu cụ thể và hoàn cảnh đặc biệt của các nước đang phát triển; •
Các nước tham gia Công ước cần thực hiện các biện pháp phòng ngừa để dự đoán, ngăn
chặn hoặc giảm thiểu các nguyên nhân gây BĐKH và các tác động bất lợi của BĐKH;
• Các nước tham gia Công ước có quyền thúc đẩy phát triển bền vững. * Các cam kết chính
• Tất cả các nước tham gia Công ước, với trách nhiệm chung nhưng có sự phân biệt và
cóxét đến ưu tiên, mục tiêu và hoàn cảnh cụ thể của từng quốc gia, có trách nhiệm giảm nhẹ và thích ứng BĐKH;
• Các nước thuộc Phụ lục I (gồm 43 nước công nghiệp phát triển và các nước đang tronggiai
đoạn chuyển đổi) cam kết thực hiện các biện pháp giảm nhẹ BĐKH bằng cách hạn chế
lượng phát thải KNK và tăng cường các bể hấp thụ KNK;
• Các nước thuộc Phụ lục II (gồm 24 nước thành viên của tổ chức OECD) có trách nhiệm:(i)
cung cấp các nguồn tài chính mới và bổ sung để giúp các nước đang phát triển thực hiện
các hoạt động giảm phát thải khí nhà kính theo Công ước, (ii) giúp các nước đang phát
triển thích ứng với những tác động bất lợi của BĐKH; và (iii) thúc đẩy phát triển và
chuyển giao công nghệ thân thiện với môi trường cho các nước đang phát triển.
*Hội nghị các bên tham gia (COP- Conference of Paties)
• Hội nghị BĐKH của Liên Hợp Quốc – một hội nghị hàng năm được tổ chức trongkhuôn
khổ Công ước - được coi là Hội nghị chính thức của các Bên tham gia Công ước (COP). lOMoAR cPSD| 58504431
• Hội nghị các Bên tham gia được tổ chức lần đầu tiên (COP 1) vào năm 1995 tại Berlin,Đức.
• COP 26 năm 2021 tại Glassgow, Vương Quốc Anh
15. Trình bày những nội dung chính của Nghị định thư Kyoto (năm 1997).
• Các cam kết trong Công ước là không đủ để đáp ứng mục tiêu của Công ước các bên
tham gia công ước đã quyết định xây dựng các cam kết giảm phát thải khí nhà kính cho
các nước phát triển dưới hình thức một nghị định thư có tính pháp lý.
• Được thông qua tại COP 3 ở Kyoto, Nhật Bản (được gọi là Nghị định thư Kyoto) vàongày 11/12/1997.
• Hiện nay, 192 nước phê duyệt Công ước đã phê duyệt Nghị định thư Kyoto. *Mục tiêu
• Công nhận rằng các nước phát triển chủ yếu chịu trách nhiệm về mức phát thải khí
nhàkính trong khí quyển ở quá khứ và hiện tại Nghị định thư đặt gánh nặng nhiều hơn
lên các nước phát triển theo nguyên tắc "trách nhiệm chung nhưng có sự phân biệt”.
• Thiết lập các mục tiêu giảm phát thải có tính ràng buộc quốc tế đối với các nước pháttriển,
theo đó, vào năm 2012, các quốc gia thuộc Phụ lục I phê chuẩn Nghị định thư phải hoàn
thành nghĩa vụ giảm và hạn chế phát thải khí nhà kính trong giai đoạn cam kết đầu tiên (2008-2012).
*Các cam kết giảm phát thải khí nhà kính
6 khí nhà kính cần được cắt giảm là: C02; CH4; N20; HFCs; PFCs; SF6
Thiết lập cam kết ràng buộc có tính pháp lý để giảm phát thải khí nhà kính đối với các nước phát triển
• Các nước đang phát triển không có nghĩa vụ phải giảm phát thải khí nhà kính nhưngđược
khuyến khích tham gia thực hiện các dự án giảm phát thải tại quốc gia mình nhằm thu
được lợi ích từ nguồn tài chính các bon và chuyển giao công nghệ.
• Nghị định thư có 2 thời kỳ cam kết giảm phát thải KNK.
• Thời kỳ đầu tiên 2008-2012, 37 quốc gia công nghiệp và Cộng đồng Châu Âu cam
kếtgiảm trung bình 5,2% của mức năm 1990.
• Thời kỳ thứ hai 2013-2020, 36 quốc gia công nghiệp và Cộng đồng Châu Âu cam kếtgiảm
ít nhất 18% của mức năm 1990.
16. Trình bày những nội dung chính của Thỏa thuận Paris về Khí hậu (năm 2015).
• Được thông qua tại COP 21/CMP11 tại Paris, Pháp (diễn ra từ 29/11/2015 đến ngày13/12/2015);
• Bao gồm 29 Điều tập trung vào giải quyết toàn diện các nội dung của Công ước khungcủa
Liên Hiệp Quốc về BĐKH áp dụng cho tất cả các quốc gia và sẽ thay thế Nghị định thư
Kyoto từ năm 2020; *Về mục tiêu:
• Nhất trí hạn chế sự gia tăng nhiệt độ trung bình toàn cầu vào cuối thế kỷ 21 không quá2ºC
so với thời kỳ tiền công nghiệp
• Nỗ lực theo đuổi mục tiêu hạn chế sự gia tăng nhiệt độ toàn cầu vào cuối thế kỷ 21 không quá 1,5Oc
*Về trách nhiệm của các quốc gia: lOMoAR cPSD| 58504431
• Tất cả các quốc gia cùng cam kết thực hiện với nỗ lực cao nhất trong cuộc chiến chốngBĐKH toàn cầu
• Các quốc gia phát triển phải đóng vai trò dẫn đầu trong việc cắt giảm khí nhà kính
nhằmgiảm nhẹ BĐKH; đồng thời cung cấp tài chính để giúp các nước đang phát triển
chuyển đổi sang mô hình phát triển phát thải các bon thấp cũng như tăng cường năng lực thích ứng với BĐKH
-Không có kế hoạch thời gian hay mục tiêu cụ thể đối với từng quốc gia được nêu trong Thỏa
thuận Paris - trái với Nghị định thư Kyoto trước đây
. • Mặc dù Thỏa thuận Paris quy định rằng tất cả các quốc gia phải báo cáo về tiến trình thực
thi cam kết nhưng chưa có chế tài đối với các quốc gia chưa hoàn thành mục tiêu cắt giảm phát thải khí nhà kính.
• Thỏa thuận Paris về Khí hậu đã tạo ra bước ngoặt quan trọng trong nỗ lực của Liên
HiệpQuốc trong suốt hơn hai thập kỷ qua nhằm thuyết phục chính phủ các nước hợp tác
để giảm lượng phát thải khí nhà kính và hạn chế sự gia tăng nhiệt độ trung bình toàn cầu.
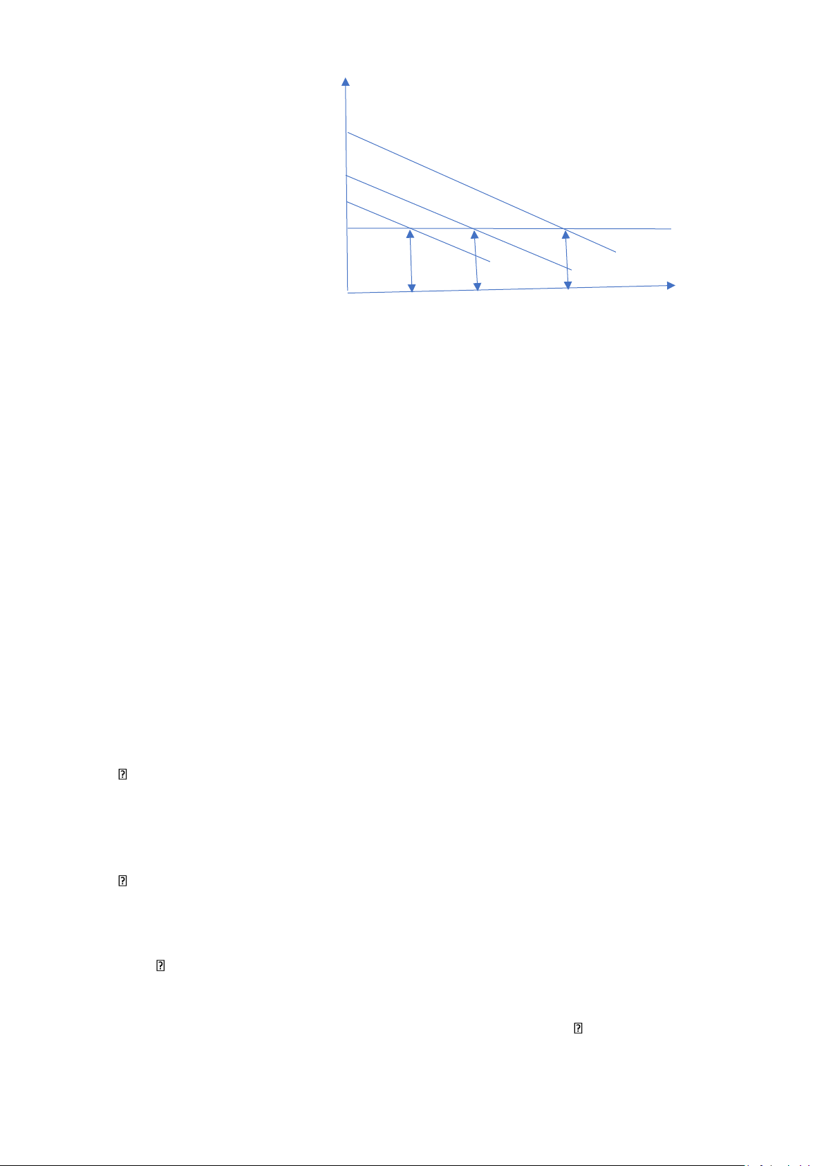
17. Hãy giải thích bằng đồ thị thất bại của thị trường trong trường hợp hoạt động sản
xuất phát thải các khí nhà kính gây biến đổi khí hậu. P MSC = MC+MEC E * A S = MC E MEC D = MSB Q * Qm Q
*Đường cầu thị trường D=MB
Giả định : Mang lại lợi ích cho người mua và tiêu dùng xi măng => EB=0 => TSB=TB => MSB=MB
* Đường cung thị trường S=MC
Sản xuất xi măng tạo ra CO2=> BDKH => thiệt hại => EC (Chi phí ngoại ứng)
=>TSC= TC+EC => MSC=MC+MEC
*Hiệu quả thị trường (hiệu quả cá nhân): + người sx : MC=MSB-> E tại Pm và Qm + người tiêu dùng : MB
*Hiệu quả xã hội : người sản xuất, người tiêu dùng và đối tượng khác tại MSB= MSC => tại E* với Ps và Qs
=> Điểm cân bằng thị trường không phải điểm phân bổ nguồn lực hiệu quả trên quan điểm xã
hội : PmQs và ảnh hưởng phúc lợi xh : tổn thất S ∆AEE*
18. Hãy giải thích bằng đồ thị thất bại của thị trường trong việc cung cấp hàng hóa “giảm
phát thải khí nhà kính”. lOMoAR cPSD| 58504431 P Ds Dx Dy Ey Ex E* MC Qy Qx Qs Q Ds=Dx+Dy theo chiều dọc
-> Lượng cung hàng hóa giảm phát thải hiệu quả tại Ds=MC => E*=> Qs ->
Thị trường ( người sản xuất) có khả năng cung ứng Qs hay không?
- Nếu thị trường cung ứng Qs -> Người tiêu dùng X,Y => Qx=Qs=Qy
-Giả sử P=MC => X,Y max lợi ích Qx: P=Px và Qy: P=Py
+ TH1; Người tiêu dùng trả tiền -> mua Qx => Cung Qx => Y dùng chung Qx=> Lượng
cầu Qx, lượng cung Qx+TH2: Người tiêu dùng Y trả tiền trước : Mua Qy => cung Qy => Dùng chung Qy và
mua thêm Qx-Qy => Lượng cầu Qx, lượng cung Qx => 1 ng trả tiền nhiều người hưởng=> không cung ứng
19. Tại sao cần xem xét khía cạnh đạo đức trong các phân tích kinh tế đối với BĐKH?
Những hàm ý về khía cạnh kinh tế của vấn đề này trong các phân tích kinh tế về BĐKH là gì?
*Tác động của BĐKH đến phúc lợi của con người - Phúc lợi cá nhân:
• Việc tiêu dùng hàng hóa và dịch vụ mang lại độ thỏa dụng (lợi ích) cho con người.
• BĐKH ảnh hưởng đến sức khoẻ, việc làm, thu nhập, điều kiện môi trường sống,… của con
người; từ đó làm thay đổi phúc lợi (độ thỏa dụng) của các cá nhân.
Hàm ý: Các chính sách ứng phó BĐKH cần xem xét những tác động của BĐKH đến sức
khoẻ, việc làm, thu nhập, điều kiện môi trường sống,… của con người nhằm duy trì hoặc gia
tăng phúc lợi cho con người. - Phúc lợi xã hội:
• Cấp quốc gia: là tổng phúc lợi của các cá nhân trong xã hội.
Hàm ý: Các chính sách ứng phó với BĐKH cần hướng tới mục tiêu tối đa hóa phúc lợi xã hội.
• Cấp toàn cầu: tổng phúc lợi của tất cả các quốc gia
• Bản chất toàn cầu của BĐKH hàm ý rằng hàm phúc lợi xã hội của một quốc gia đơn lẻ là
chưa đủ để phản ánh đầy đủ các tác động của BĐKH và chính sách BĐKH trên phạm vi toàn
cầu cần xây dựng hàm phúc lợi xã hội toàn cầu với các mô hình đánh giá phúc lợi xã hội
của các quốc gia trong mối tương tác với các quốc gia khác dưới tác động của BĐKH.
• Người dân ở các nước khác nhau với các mức sống khác nhau sẽ bị ảnh hưởng khác nhau
trước các tác động của BĐKH và chính sách ứng phó với BĐKH hàm phúc lợi xã hội có
trọng số có thể được áp dụng, trong đó gán các trọng số khác nhau cho các đối tượng bị ảnh
hưởng khác nhau để đo lường giá trị tiền tệ của các tác động của BĐKH
*Tác động của BĐKH đến tính công bằng lOMoAR cPSD| 58504431
Tính công bằng trong cùng một thế hệ
• Khối lượng khí nhà kính thải ra ở các nước là khác nhau, trong đó trong quá khứ chủ yếu làtừ
các nước phát triển.10qg 68% CO2-2020
• Tất cả các quốc gia đều gánh chịu thiệt hại từ BĐKH, nhưng các nước đang phát triển gánh
chịu nhiều thiệt hại hơn các nước phát triển.
• Tất cả các quốc gia đều phải ứng phó với BĐKH, nhưng các nước đang phát triển có năng
lực ứng phó kém hơn Tính công bằng giữa các thế hệ
• Sự tích tụ khí nhà kính trong bầu khí quyển ở hiện tại sẽ gây ra những tác động đối với các thế hệ tương lai.
• Thế hệ tương lai có thể sẽ bị ảnh hưởng nặng nề hơn. =>Hàm ý:
• (i) Phân bổ trách nhiệm và chi phí giải quyết BĐKH như thế nào giữa các quốc gia? Ví dụ:
Phân bổ trách nhiệm và chi phí theo mức phát thải khí nhà kính trong quá khứ và ở hiện tại.
• Chia đều quyền phát thải theo đầu người trong tương lai cho các quốc gia.
• (ii) Đánh giá tác động của BĐKH đối với thế hệ tương lai và hoạch định các chính sách
BĐKH trong tương lai • Hàm phúc lợi xã hội có thể được áp dụng, nhưng cần xem xét thêm
vấn đề phân bổ phúc lợi qua các thời kỳ và chiết khấu các dòng lợi ích và chi phí theo thời
gian sử dụng tỷ lệ chiết khấu phù hợp. • Cần đầu tư các nguồn lực để phòng tránh thiệt hại từ BĐKH trong tương lai.
*Tác động của BĐKH đến các quyền của con người
BĐKH có thể ảnh hưởng đến quyền tiếp cận những nhu cầu cơ bản của con người:
• Ăn: quyền tiếp cận lương thực
• Chăm sóc sức khỏe: quyền tiếp cận các dịch vụ y tế
• Học tập: quyền tiếp cận giáo dục
• Việc làm: quyền được làm việc.
• Các quyền khác: được sử dụng nguồn nước, nhà ở,…
• Hàm ý: Các chính sách ứng phó với BĐKH cần đặc biệt quan tâm đến các quyền cơ bản của
con người, đặc biệt là người nghèo.
20. Tại sao các tác động của BĐKH là không chắc chắn? Những hàm ý về khía cạnh kinh
tế của vấn đề này trong các phân tích kinh tế về BĐKH là gì?
Rủi ro : Khả năng thiệt hại , tổn thất; kq và hiệu quả kh muốn, mất đi cái gì có giá trị : có
thể đo lường xác xuất kq -> giá trị kì vọng
*Không chắc chắn: không xác định được kết quả ; không đo lường được, không kiểm soát
được( kết quả tiềm năng)
=> Bối cảnh rủi ro Và không chắc chắn ảnh hưởng hàm phúc lợi xã hội kì vọng
=> Cần: nguyên tắc phòng ngừa và tiếp cận thận trọng; Lựa chọn mức độ giảm thiểu rủi ro
khí hậu thông qua sự kết hợp giảm nhẹ, thích ứng và bảo hiểm
21. Tại sao các tác động của BĐKH có tính dài hạn? Những hàm ý về khía cạnh kinh tế
của vấn đề này trong các phân tích kinh tế về BĐKH là gì?
* Vì: • Các khí nhà kính tích tụ lại trong bầu khí quyển và liên tục được bổ sung bằng các dòng phát thải mới.
• Một số loại khí nhà kính sẽ nằm lại bầu khí quyển hàng trăm năm.
• Hệ thống khí hậu phản ứng khá chậm chạp đối với sự gia tăng nồng độ khí nhà kínhtrong khí quyển.
• Có độ trễ trong các phản ứng về kinh tế, xã hội và môi trường đối với BĐKH. lOMoAR cPSD| 58504431
=>Tác động của BĐKH là dai dẳng/lâu dài. *Hàm ý:
• Các tác động của BĐKH là dài hạn nên cần đánh giá các lợi ích và chi phí của các
biệnpháp giảm nhẹ và thích ứng theo thời gian.
• Vấn đề: lựa chọn dòng thời gian và sử dụng tỷ lệ chiết khấu hợp lý.
22. Trình bày cách xác định mức phát thải khí nhà kính toàn cầu tối ưu về kinh tế. Những
đặc điểm của BĐKH tạo ra những thách thức gì khi xác định mức phát thải khí nhà
kính toàn cầu tối ưu về kinh tế? * 1. Xác định chi phí liên quan đến KNK - Chi phí thiệt hại do KNK gây ra :
Tổng chi phí thiệt hại TDC : toàn bộ giá trị thiệt hại bằng Tiền mà BDKH gây ra cho con
người và hệ sinh thái : sk, TN, Tsan, Nsuat hệ sinh thái...
TDC phụ thuộc vào dân số, (quy mô tăng trưởng); tăng trưởng kinh tế ; công nghệ, quản
trị =>( phụ thuộc vào con đường phát triển kinh tế xã hội)
Chi phí thiệt hại cận biên của KNK (MDC): chi phí thiệt hại của việc phát thải thêm 1 đơn vị KNK
=> Khả năng tích tụ tăng làm hệ thống khí hậu bị tổn thương nhiều hơn-> thiệt hại nhiều
hơn , khả năng hấp thụ yếu. -Chi phí giảm KNK:
Tổng chi phí giảm KNK (TAC) là toàn bộ chi phí để làm giảm/loại bỏ/ kiểm soát KNK
+ Lắp đặt thiết bị xử lý: CN thu hồi và lưu trữ các bon
+ Thay đổi CN sản xuất để tạo ra ít KNK: năng lượng tái tạo
+ thay đổi nhiên liệu đầu vào tạo ra ít KNK : than thành dầu, khí tự nhiên
+ Sử dụng hiệu quả năng lượng + giảm chặt phá rừng
+Tăng cường trồng rừng
Chi phí làm giảm KNK cận biên là chi phí của việv loại bỏ thêm 1 đơn vị KNK
2. Xác định phát thải KNK toàn cầu tối ưu kinh tế
-Hiệu quả trên quan điểm lợi ích ròng Lợi ích ròng=TDC-TAC
Lợi ích ròng lớn nhât khi MDC=MAC -Hiệu
quả trên quan điểm chi phí
TC= (TDC+TAC)min => MAC=MDC *Thách thức:
Các yếu tôa phải xem xét khi xác định MDC, MAC : tính toàn cầu , tính công bằng, tính
không chắc chắn, tính dài hạn, mối quan hệ giữa giảm nhẹ và thích ứng, nhiều loại KNK khác nhau.
23. Trình bày các công cụ mệnh lệnh – kiểm soát (tiêu chuẩn phát thải, tiêu chuẩn công
nghệ) để giảm phát thải khí nhà kính. lOMoAR cPSD| 58504431
-Tiêu chuẩn phát thải: hạn chế tổng lượng phát thải KNK ở một mức nhất định = các quy
định , tiêu chuẩn phát thải KNK đối với phát thải cá nhân tòa nhà, xe thiết bị,) sao cho tổng
phát thải cá nhân =tổng phát thải mục tiêu đề ra
Kí hiệu; S=1000 tấn co2/ năm . Nghị định 06/2022/nd-cp phân bổ hạn ngạch phát thải KNK
-Tiêu chuẩn công nghệ: quy định loại thiết bị và công nghệ nhất định có thể áp dụng Ví dụ:
Công nghệ thu hồi và lưu trữ các bon hoặc công nghệ màng lọc khí đối với sử dụng nhiên
liệu hóa thạch; loại bỏ sử dụng nhiên liệu hóa thạch thì phải chuyển sang công nghệ năng lượng tái tạo.
24. Trình bày các công cụ kinh tế (thuế các bon, thuế năng lượng, thuế phát thải khí nhà
kính, giấy phép phát thải khí nhà kính có thể chuyển nhượng, trợ cấp giảm phát thải
khí nhà kính) để giảm phát thải khí nhà kính. a. Thuế cacbon; ( dầu mỏ, than , khí tự nhiên):
+ Đánh vào nhiên liệu hóa thạch
+Đánh vào thải CO2 (gián tiếp - thuế gián thu: đánh vào hh)
+Thuế môi trường (thuế Pigou)
+Tác động : là công cự giá-> giá nhiên liệu hóa thạch tăng -. Ng chịu thuế phản ứng
trước sự tăng giá-> giảm cầu ; chuyển sang nhiên liệu hóa thạch ít các bon hơn
Ví dụ : Phần Lan 1990 mức thuế 15euro/ tấn b. Thuế năng lượng:
+Là thuế đánh vào hh / sp năng lượng( xăng, dầu, điện, ga)dựa vào hàm lượng nhiệt của năng lượng
+là loại thuế đánh vào phát thải CO2: thuế gián thu
+Là thuế môi trường(Pigou)
+Còn gọi là thuế nhiên liệu
+Tác động: công cụ giá: năng lượng tăng-> người sản xuất và tiêu dùng phản ứng trước
sự tăng giá : giảm tiêu dùng hoặc chuyển sang dùng năng lượng khác: gió, mặt trời, sinh học c. Thuế KNK :
+Loại thuế đánh vào từng đơn vị KNK được phát thải
+ Đánh vào CO2,N20,CH4 .. là chủ yếu co2
+ Đánh trực tiếp vào phát thải KNK
+Khuyến khích xử lí (làm giảm) KNK nhờ đổi mới công nghệ xử lí cuối đường ống ;
màng lọc, thu hồi, lưu trữ
d. Giấy phép phát thải KNK có thể chuyển nhượng;
+ có thể trao đổi mua bán
+thị trường cung-cầu=> P*, Q*
+Là công cụ kiểm soát KNK kết hợp giữa công cụ kiểm soát số lượng và công cụ giá
(do tt): hạn ngạch giấy phép liên quan đến tiêu chuẩn phát thải;
+ Là sự kết hợp vai trò nhà nước và thị trường lOMoAR cPSD| 58504431
+ Là kết hợp tiêu chuẩn phát thải và thuế phát thải : thuế phát thải xấp xỉ giá giấy phép
+ có thể diễn ra cấp quốc gia hoặc cấp toàn cầu
e. Trợ cấp giảm phát thải KNK
+ là công cụ kinh tế sử dụng khuyến khích kinh tế (giống thưởng =lợi ích kinh tế=> thay đổi hành vi) +Trực tiếp; tiền
+Gián tiếp: ưu đãi => giảm chi phí: thuế, lãi xuất , hỗ trợ đất, csht, trợ giá nguyên liệu đầu vào
25. Trình bày phương pháp phân tích chi phí – lợi ích và các chỉ tiêu đánh giá hiệu quả
được sử dụng trong phân tích chi phí – lợi ích các biện pháp thích ứng với BĐKH.
*CBA là công cụ phân tích kinh tế nhằm cung cấp thông tin cho viêhc ra quyết định lựa
chọn vấn đề phân bổ nguồn lực khan hiếm.
Giúp đánh giá đomgs góp thực sự của dự án/chính sách/chương trình cho xã hội (có mang
lại sự xải thiện phúc lợi cho xã hội)
Giúp lựa chọn dự án/chương trình/ chínha sách trong lĩnh vực kinh tế, xã hội, môi trường
hiệu quả nhất đối với xã hội.
=> CBA là việc xác định và so sánh tất cả chi phí thực hiện dự án/ chính sách/ chương trình
với tất cả các lợi ích mà dự án mang lại để đưa ra quyết định có nên thực hiện hay không.
*Ra quyết định: 1. Lợi ích > chi phí=> lợi ích ròng >0-> nên
2. lợi ích< chi phí=> lợi ích ròng <0-> không
nên => CBA là công cụ hỗ trợ ra quyết định => Nguyen tắc của CBA:
+Chi phí: tất cả các chi phí phát sinh bất kể ai gánh chịu
+lợi ích: tất cả lợi ích thu được bất kể ai thụ hưởng
+phải có đơn vị đo lường chung là tiền
+nên so sánh giữa 2 phương án : có và không có dự án
+tránh tính 2 lần lợi ích và chi phí
*quy trình thực hiện CBA: Nhận dạng vấn đề-> nhận dạng lợi ích và chi phí-> ước tính
thành tiền-> chiết khấu(quy về 1 thời điểm)-> tính toán các chỉ tiêu đánh giá hiệu quả->
phân tích độ nhạy-> kết luận
*Các chỉ tiêu đánh giá hiệu quả:
-Giá trị hiện tại ròng NPV: tổng giá trị hiện tại của tất cả lợi ích ròng của dự án n
NPV=∑ Bt−Ctt ( Bt: lợi ích tại năm t; Ct là chi phí tại năm t; r là chiết khấu) t=0 (1+r)
+TH1; Có tiền để thực hiện dự án nào cững được( độc lập với nhau)-> NPV>0
+TH2: chỉ thực hiện 1 trong các dự án (loại trừ nhau)=> NPV lớn nhất khi thời gian bằng nhau lOMoAR cPSD| 58504431
-Tỷ suất lợi ích-chi phí BCR: tỷ lệ giữa giá trị hiện tại của các khoản lợi ích và tổng giá trị
hiện tại của các khoản chi phí của dự án n Bt ∑ t
BCR= t=n0 (1+r) Ct ∑ t t=0 (1+r)
+TH1: độc lập với nhau=> chọn BCR>1
+TH2: loại trừ nhau=> chọn BCR >1 và lớn nhất
-Hệ số hoàn vốn nội bộ: là giá trị của tỷ lệ chiết khấu làm cho NPV=0 (tỷ lệ chiết khấu cao nhất) n n n Ct =0 => = t t t t=0 (1+k) t=0 (1+r) t=0 (1+r)
Ý nghĩ aIRR:t ỷlệchiế tkhấucaonhấ tmàdự ánchấ pnhận
k<IRR(đãcho)→NPV >0-> nên thực hiện
26. Trình bày phương pháp phân tích chi phí – hiệu quả và các chỉ tiêu đánh giá hiệu quả
được sử dụng trong phân tích chi phí – hiệu quả các biện pháp thích ứng với BĐKH.
-CEA: thường sử dủng khi lợi ích của dự án không thể đo lường được hoặc không thể so
sánh được bằng tiền; lợi ích của dự án là như nhau=> lựa chọn dự án chi phí thấp Ví dụ:
xây dựng hệ thống khử mặn, nâng cấp hệ thống nước ngọt, thu gom nước mưa từ mái nhá -Quy trình: giống CBA
*Các chỉ tiêu đánh giá:
-Tỷ lệ chi phí-hiệu quả: Tổngchi phí
CER= (kết quả: số người hưởng lơi; klg nước được tạo ra; diện tích đất Kếtquảđầura
được tưới tiêu; số k gia thông được nâng cấp) -Tỷ
lệ chi phí-Hiệu quả tăng thêm: Cb−Ca ICER=
( Ca: chi phí phương án đang thực hiện ; Cb: chi phí dự an can Eb−Ea
thiệp mới; Ea: đầu ra phương án đang thựuc hiện; Eb: đầu ra phương án can thiệp mới)
=> ICER cho biết chi phí phải bỏ ra để có thêm 1 đơn vị đầu ra khi chuyển từ phương án A sang B
27. Trình bày các công cụ kinh tế đối với thích ứng với BĐKH. - Tài chính thích ứng -Bảo hiểm BDKH
-Trợ cấp thiên tai và thích ứng BDKH lOMoAR cPSD| 58504431 -Các quỹ dự phòng
-Chi trả dịch vụ môi trường
28. Trình bày một số giải pháp toàn cầu nhằm ứng phó với biến đổi khí hậu.
Bao gồm: chính sách giảm nhẹ và thích ứng
• Chính sách giảm nhẹ và thích ứng có thể tạo ra các tác động (tích cực và tiêu cực) đến cácmục
tiêu kinh tế-xã hội-môi trường:
• Về kinh tế: tăng trưởng kinh tế, tăng thu nhập, an ninh lương thực • Về xã hội: sức khỏe, công bằng, sinh kế •
Về môi trường: đa dạng sinh học, chất lượng môi trường địa phương
• Các chính sách khác với các mục tiêu về kinh tế, xã hội và môi trường có thể ảnh hưởng
đếnviệc đạt được các mục tiêu giảm nhẹ BĐKH và thích ứng với BĐKH.
• Cần xem xét đến yếu tố rủi ro và không chắc chắn trong việc hoạch định các chính sách BĐKH.
1.Chính sách giảm nhẹ nhằm hạn chế độ lớn và tốc độ gia tăng
BĐKH trong dài hạn Cần xác định mục tiêu cụ thể về giảm phát thải khí nhà kính
Ví dụ, tại COP 26 năm 2021, gia tăng nhiệt độ không quá 1,5oC vào cuối thế kỷ 21 cần cắt
giảm phát thải KNK và đạt phát thải ròng bằng 0 vào năm 2050..
Giảm thiểu các nguồn gây ra khí nhà kính
• Giảm phát thải KNK liên quan đến năng lượng
• Giảm phát thải KNK không liên quan đến năng lượng Tăng cường các bể hấp thụ khí nhà kính
• Tăng cường hấp thụ các bon từ đất •
Tăng cường hấp thụ các bon từ rừng
• Tăng cường hấp thụ các bon từ biển và đại dương
Giảm thiểu các nguồn gây ra khí nhà kính • Từ năng lượng •
Các nguồn năng lượng bao gồm: • Năng lượng hóa thạch: than, dầu thô, khí tự nhiên;
•Năng lượng tái tạo: thủy năng (năng lượng nước), địa năng (năng lượng từ đất), gió, mặt trời,
sinh học (biogas, biomas, bio fuel) • Năng lượng hạt nhân: công nghệ hạt nhân tách năng lượng
từ hạt nhân nguyên tử thông qua các lò phản ứng hạt nhân •
Ngành cung cấp năng lượng: bao gồm các quá trình • Khai thác • Chuyển đổi • Lưu trữ
•Truyền tải • Phân phối
Cung cấp năng lượng cuối cùng đến các khu vực sử dụng cuối cùng (công nghiệp, giao thông
vận tải, xây dựng, nông nghiệp và lâm nghiệp). 1.
Giảm phát thải KNK từ năng lượng hóa thạch • Giảm tiêu dùng năng lượng hóa
thạchthông qua cải thiện hiệu quả sử dụng năng lượng: Sử dụng năng lượng ít hơn, tiết kiệm hơn •
Chuyển đổi nhiên liệu hóa thạch: Chuyển từ than sang khí tự nhiên 2.
Phát triển công nghệ phát thải thấp khí nhà kính • Công nghệ thu gom và lưu trữ các bon:
•Thu gom CO2 và nén CO2 • Vận chuyển CO2 đến địa điểm thích hợp (bằng đường ống) •
Bơm CO2 vào các kho chứa ngầm để lưu trữ • Áp dụng các công nghệ đo lường, giám sát và
thẩm tra để đảm bảo sự an toàn và cô lập hoàn toàn CO2 khỏi khí quyển • Công nghệ nhiệt điện kết hợp 3.
Phát triển các công nghệ không phát thải khí nhà kính • Công nghệ năng lượng tái
tạo:Nước, gió, mặt trời, sinh học, địa nhiệt, thủy triều, sóng biển • Công nghệ năng lượng hạt nhân
Không liên quan đến năng lượng lOMoAR cPSD| 58504431
• Từ ngành nông nghiệp • Trồng trọt
• Quản lý đất nông nghiệp: giảm cày xới đất, chống thoái hóa đất và cải tạo đất bị suy thoáiđể
giảm phát thải và tăng hấp thụ các bon từ đất; •
Canh tác lúa theo hướng tiết kiệm các yếu tố đầu vào: quản lý hiệu quả nước, phân bón, năng
lượng để giảm phát thải;
• Thu gom, tái sử dụng và tái chế phế phẩm nông nghiệp để sản xuất thức ăn chăn nuôi, làmphân
bón hữu cơ, giảm đốt phế phẩm để giảm phát thải;
• Thực hiện thâm canh bền vững trên đất đã canh tác để tăng năng suất cây trồng và giảmphá
rừng, qua đó giảm phát thải từ phá rừng và suy thoái rừng
Chăn nuôi • Quản lý thức ăn chăn nuôi: chọn giống năng suất cao để giảm khối lượng thức ăn,
thức ăn hợp lý về thành phần dinh dưỡng và kỹ thuật cho ăn phù hợp, thay thế dần thức ăn thô
bằng thức ăn tinh, nâng cao chất lượng thức ăn ủ chua,… sẽ góp phần tăng năng suất vật nuôi,
đồng thời giảm phát thải CH4 từ quá trình tiêu hóa và N20 từ chất thải gia súc; • Quản lý chất
thải gia súc: sử dụng chất thải gia súc làm phân bón hữu cơ để giảm sử dụng phân bón tổng
hợp sẽ góp phần giảm CH4 và N2O;
Từ quản lý chất thải • Giảm thiểu chất thải • Tái sử dụng chất thải • Tái chế chất thải Tăng
cường các bể hấp thụ khí nhà kính Từ đất
• Quản lý đất đai • Luôn trồng cây trên đất • Quản lý đất canh tác: tối thiểu hóa việc canh tácđất,
ví dụ như cày xới, làm đất • Quản lý đất chăn thả • Quản lý đất bị thoái hóa • Quản lý phân
bón trong nông nghiệp • Hạn chế sử dụng phân bón vô cơ • Tăng cường sử dụng phân bón hữu cơ Từ rừng
• Lâm nghiệp: REDD – Reduction of Emission from Deforestation and Degradation (Giảmphát
thải từ mất rừng và suy thoái rừng), bao gồm: • Giảm phát thải từ mất rừng; • Giảm phát thải
từ suy thoái rừng; • Bảo tồn trữ lượng các-bon rừng; • Quản lý rừng bền vững; • Tăng cường
trữ lượng các-bon rừng • Thay đổi sử dụng đất: giảm chặt phá rừng để chuyển đổi sang đất nông nghiệp
Từ hệ sinh thái biển và đại dương
• Nếu lượng CO2 được lưu trữ trong các hồ chứa như các đại dương, nó có thể được giữ lạihàng
trăm hoặc thậm chí hàng nghìn năm (lượng CO2 được lưu trữ ở các khu rừng trong khoảng
thời gian ngắn hơn nhiều). • Các đại dương ngày càng chứa nhiều chất axít do kết quả của
hấp thụ CO2 và gây ra những tác động rất lớn đối với hàng loạt hệ sinh thái dưới nước và các
bãi san hô ngầm. 2 Chính sách thích ứng
Các chính sách thích ứng dựa vào nhu cầu
1. Chính sách kỹ thuật để thích ứng với BĐKH chủ yếu liên quan đến đầu tư vào cơ sở hạ
tầng ứng phó với BĐKH, bao gồm • Xây dựng hệ thống đường giao thông và nhà ở
thích ứng với lũ • Xây dựng hệ thống đê để thích ứng với nước biển dâng và bão lụt •
Các công trình chống sạt lở bờ sông và bờ biển • Khu neo đậu tránh, trú bão cho tàu
thuyền • Quản lý và sử dụng bền vững tài nguyên thiên nhiên (rừng, đất, nước, rừng ngập mặn,…)
2. Chính sách công nghệ để thích ứng với BĐKH • Nông nghiệp (công nghệ sử dụng nước
tưới và phân bón hiệu quả hơn, phát triển các giống cây trồng có khả năng chịu hạn và
chịu mặn cao hơn) • Xây dựng (công nghệ vật liệu xây dựng và kỹ thuật xây dựng để
tránh tác động của bão, lũ, lốc xoáy, nước biển dâng) • Giám sát và dự báo BĐKH (công
nghệ thông tin cung cấp cơ hội phổ biến thông tin về dự báo thời tiết, cảnh báo sớm về
sự nguy hiểm của các hiện tượng khí hậu cực đoan như bão và lũ)
3. Chính sách thông tin để thích ứng với BĐKH - Tạo lập các thông tin về BĐKH: Thực
tế BĐKH đã và đang diễn ra - Dự báo BĐKH trong tương lai - Các tác động của BĐKH
đến các ngành/lĩnh vực/đối tượng và các biện pháp thích ứng - Phổ biến thông tin về
BĐKH thông qua các kênh như: - Giáo dục (thông qua các chương trình giáo dục có
lồng ghép nội dung BĐKH ở các cấp/bậc học) - Truyền thông (thông qua các phương
tiện như báo, đài, tivi) - Các cuộc họp ở cộng đồng địa phương - Hoạt động của cơ quan lOMoAR cPSD| 58504431
khuyến nông ở địa phương - Mạng lưới xã hội những người quan tâm đến BĐKH (các
nhà khoa học, hoạch định chính sách, cơ quan nghiên cứu, NGOs)
4. . Chính sách tài chính để thích ứng với BĐKH • Sử dụng ngân sách nhà nhà nước • Ưu
tiên sử dụng nguồn vốn ODA • Khai thác các nguồn tài chính quốc tế cho thích ứng với
BĐKH (ví dụ như từ Quỹ Thích ứng) • Tạo lập các cơ chế khuyến khích và huy động
các cá nhân, tổ chức, doanh nghiệp trong và ngoài nước cung cấp tài chính cho các hoạt
động và dự án thích ứng với BĐKH
5. Chính sách xã hội để thích ứng với BĐKH • Hỗ trợ đào tạo chuyển đổi nghề, chuyển
đổi việc làm theo hướng ít bị tổn thương hơn trước tác động của BĐKH • Tăng cường
các chương trình an sinh xã hội: mở rộng diện thụ hưởng các chính sách trợ giúp đột
xuất • Xây dựng chương trình việc làm công • Đảm bảo tiếp cận các dịch vụ cơ bản của
người dân, ví dụ như thực phẩm, y tế, điện, nước, vệ sinh môi trường, nhà ở, giáo dục
Các chính sách thích ứng theo ngành
• Ngành nông nghiệp • Tăng cường đầu tư vào cơ sở hạ tầng nông nghiêp • Tăng cường trợgiúp
kỹ thuật của hệ thống khuyến nông ở nông thôn • Tăng cường công tác chuyển giao tiến bộ khoa học kỹ thuật
• Ngành thủy sản • Xây dựng hệ thống thông tin về nghề cá • Tăng cường quản lý tài
nguyênbiển dựa vào cộng đồng • Cải tiến công tác quản lý nuôi trồng thủy sản.
29. Một số vấn đề thực tiễn về kinh tế và chính sách biến đổi khí hậu trên thế giới (ví dụ:
thực tiễn áp dụng thuế các bon của các quốc gia trên thế giới và khả năng áp dụng
thuế các bon ở Việt Nam, chiến lược phát thải ròng bằng 0 – Net zero emission trên
thế giới và khả năng thực hiện ở Việt Nam, kinh tế tuần hoàn nhằm giảm nhẹ biến đổi
khí hậu và tiềm năng áp dụng ở Việt Nam, thị trường các bon và tiềm năng thực hiện ở Việt Nam, …).
* Thực tiễn thuế cacbon trên thế giới và khả năng áp dụng của Việt Nam : 1. Nam Phi.
Bộ trưởng Tài chính Nam Phi Pravin Gordhan lần đầu tiên công bố mức thuế carbon vào
năm 2010 và bắt đầu từ năm 2015. Sau nhiều lần trì hoãn, thuế cuối cùng đã được thông
qua vào năm 2019 và có hiệu lực vào năm 2022. Thuế được đặt ở mức cơ bản R120 (8,12
USD) cho mỗi tấn CO2 tương đương, với mức hiệu dụng là R6–48 (Mỹ $ 0,42–3,32) sau
khi hạch toán các khoản giảm thuế. Bộ Tài chính Quốc gia đã đề xuất tăng mức thuế
carbon tối thiểu là 1 đô la Mỹ từ năm 2023 đến năm 2025 với mức tăng dần lên 20 đô la
Mỹ (~ R350) vào năm 2026 và lên 30 đô la Mỹ (~ R530) vào năm 2030. 2. Singapore.
Vào ngày 20 tháng 2 năm 2017, Singapore đề xuất đánh thuế carbon. Đề xuất đã được
tinh chỉnh để đánh thuế các nhà phát thải lớn ở mức 5 đô la Singapore (3,73 đô la Mỹ)
cho mỗi tấn phát thải khí nhà kính. Đạo luật định giá carbon đã được thông qua vào
ngày 20 tháng 3 năm 2018 và có hiệu lực vào ngày 1 tháng 1 năm 2019.
Ngân sách năm 2022 của Singapore đề xuất tăng thuế carbon lên 25 đô la Singapore (18,66
đô la Mỹ) vào năm 2024, 45 đô la Singapore (33,58 đô la Mỹ) vào năm 2026 và 50 đô la
Singapore (37,31 đô la Mỹ) – 80 đô la Singapore (59,7 đô la Mỹ) vào năm 2030. 3. Australia. lOMoAR cPSD| 58504431
Vào ngày 1 tháng 7 năm 2012, chính phủ Liên bang Úc đã đưa ra mức giá carbon là 23 đô
la Úc (17,29 đô la Mỹ) / tấn đối với một số loại nhiên liệu hóa thạch được tiêu thụ bởi các
nhà phát thải công nghiệp lớn và các cơ quan chính phủ như hội đồng. Để bù đắp khoản
thuế này, chính phủ đã giảm thuế thu nhập (bằng cách tăng ngưỡng miễn thuế) và tăng nhẹ
lương hưu và trợ cấp phúc lợi, đồng thời đưa ra mức bồi thường cho một số ngành bị ảnh
hưởng. Vào ngày 17 tháng 7 năm 2014, một báo cáo của Đại học Quốc gia Úc ước tính
rằng chương trình của Úc đã cắt giảm lượng khí thải carbon tới 17 triệu tấn. Thuế đặc biệt
giúp giảm ô nhiễm từ ngành điện.
Vào ngày 17 tháng 7 năm 2014, Chính phủ Abbott đã thông qua đạo luật bãi bỏ thông qua
Thượng viện và Úc trở thành quốc gia đầu tiên bãi bỏ thuế carbon. Thay vào đó, chính phủ
đã thành lập Quỹ Giảm thiểu phát thải. * Việt Nam
• Bối cảnh của Việt Nam
Việt Nam hiện chưa ban hành Thuế Carbon. Nước ta vẫn đang áp dụng công cụ giấy phép
xả thải tương tự Cap and trade system của hệ thống ETS - EU, bên cạnh đó cũng có chính
sách đề ra mục tiêu giảm CO2 và tăng trưởng xanh của riêng Việt Nam Chúng ta vẫn
đang nghiên cứu để có thể ban hành và áp dụng thuế carbon cho phù hợp với tình hình
kinh tế, xã hội, môi trường của nước ta hiện nay, đặc biệt là để có thể đáp ứng với mục
tiêu của thỏa thuận tại hội nghị COP 21 vừa qua tại Paris 2015. Thời gian qua, mặc dù
chưa có định hướng cụ thể về việc chuyển đổi sang áp dụng thuế các-bon nhưng với vai
trò của thuế trong giảm phát thải khí nhà kính, bảo vệ môi trường cho thấy việc đề xuất
áp dụng thuế các bon và xây dựng lộ trình áp dụng thuế các bon cần được cân nhắc.
• Tính khả thi của việc áp dụng thuế Carbon tại Việt Nam
Hệ thống thuế hiện hành ở Việt Nam bao gồm 9 loại thuế, được chia làm 3 nhóm, gồm: thuế
thu vào thu nhập; thuế thu vào hàng hóa và dịch vụ; thuế thu vào việc khai thác và sử dụng một
số tài sản nhà nước. Trong đó, có 2 loại thuế có đối tượng chịu thuế, bao gồm những sản phẩm,
hàng hóa có nguồn gốc từ môi trường là thuế bảo vệ môi trường và thuế tài nguyên.
Thuế Tài nguyên thu vào hành vi khai thác tài nguyên thiên nhiên bao gồm khoáng sản, dầu
thô, khí thiên nhiên, khí than, lâm sản, hải sản (trừ động vật), tài nguyên nước. Tuy nhiên, dù
thuế tài nguyên thu vào các hoạt động khai thác tài nguyên thiên nhiên nhưng cơ sở ban hành
thuế, phương pháp tính thuế và mục tiêu của thuế không bao gồm các hoạt động kinh tế tạo ra
phát thải khí nhà kính, không hướng tới việc nhằm giảm phát thải khí nhà kính. Do đó, thuế
tài nguyên không được xem là tương thích với thuế carbon. Thuế bảo vệ môi trường thu vào
việc sản xuất, nhập khẩu các hàng hóa khi sử dụng có nguy cơ gây tác động tiêu cực đến môi
trường, bao gồm xăng, dầu, mỡ nhờn, than đá, dung dịch hydro-chloro-fluoro-carbon (HCFC),
túi ni lông thuộc diện chịu thuế, thuốc diệt cỏ thuộc loại hạn chế sử dụng, thuốc trừ mối thuộc
loại hạn chế sử dụng.
Như vậy, thuế bảo vệ môi trường có đối tượng chịu thuế, phương pháp tính thuế, mức thuế
suất được quy định trên cơ sở cụ thể hóa nguyên tắc “người gây ô nhiễm phải trả tiền” và phần