
CHƯƠNG 5
DOANH NGHIỆP DU LỊCH
5.1. Doanh nghiệp du lịch
5.1.1 Khái niệm và phân loại các doanh nghiệp du lịch
5.1.2 Đặc điểm của doanh nghiệp du lịch
5.2. Các cấu trúc thị trường trong ngành du lịch
5.2.1 Cạnh tranh hoàn hảo trong du lịch
5.2.2 Các nhà độc quyền
5.2.3 Độc quyền nhóm và những hình thức cạnh tranh không hoàn hảo khác
5.3. Xu hướng hợp tác và liên kết các doanh nghiệp trong du lịch
5.3.1 Hội nhập ngang
5.3.2 Hội nhập dọc và bổ sung
5.3.3 Đa dạng hóa
5.3.4 Tập trung hóa
Tài liệu học tập
TL1 Đọc chương 5, Bài giảng Tổng quan du lịch
TL2 Chương 8, 12, 13, 14, 15, 18, 20 của The Business of Tourism; J.
Christopher Holloway; Nxb FT Prentice Hall, 9
th
edition, 2012
TL3 A Companion To Tourism, Lew, (2004)
TL4 Essentials of Tourism, Cooper, (2011)
Chương 5: DOANH NGHIỆP DU LỊCH
5.1. ĐẶC ĐIỂM CỦA CÁC DOANH NGHIỆP DU LỊCH
5.1.1. KHÁI NIỆM VỀ DOANH NGHIỆP VÀ DOANH NGHIỆP DU LỊCH
Theo Luật Doanh nghiệp Việt Nam, "Doanh nghiệp là tổ chức có tên riêng, có
tài sản, có trụ sở giao dịch, được đăng ký thành lập theo quy định của pháp luật nhằm
mục đích kinh doanh", trong đó, cũng theo Luật doanh nghiệp, "Kinh doanh là việc
thực hiện liên tục một, một số hoặc tất cả các công đoạn của quá trình, đầu tư, từ sản
xuất đến tiêu thụ sản phẩm hoặc cung ứng dịch vụ trên thị trường nhằm mục đích
sinh lợi" (Quốc hội nước CHXHCNVN, 2014).
1

Doanh nghiệp du lịch là những tổ chức kinh tế có tên riêng, có tài sản, có trụ
sở giao dịch, được đăng ký kinh doanh theo quy định của pháp luật nhằm mục đích
kinh doanh thông qua việc cung ứng các sản phẩm du lịch riêng lẻ hay các chương
trình du lịch.
Cũng như các doanh nghiệp thuộc các ngành khác, doanh nghiệp du lịch có thể
thuộc các loại hình công ty trách nhiệm hữu hạn, công ty cổ phần, công ty hợp danh
và doanh nghiệp tư nhân, có thể là doanh nghiệp nhà nước, doanh nghiệp có vốn đầu
tư nước ngoài, doanh nghiệp trong nước.
Tuy nhiên, trong du lịch, tham gia cung ứng các dịch vụ du lịch không chỉ là
những doanh nghiệp mà còn có:
+ Các hộ kinh doanh cá thể, họ có thể là các cơ sở kinh doanh lưu trú nhỏ, các
homestay, các quán ăn, các chủ phương tiện tham gia vận chuyển du khách, các quày
hàng lưu niệm,… Cùng với xu thế phát triển du lịch cộng đồng hiện nay, các hộ kinh
doanh cá thể không còn là các hiện tượng cá biệt mà ngày càng tham gia nhiều vào
tất cả các ngành kinh doanh lưu trú, ăn uống, vận chuyển, mua sắm và cả tham quan,
giải trí.
+ Các đơn vị hành chính sự nghiệp có thu (các viện bảo tàng, các đơn vị quản lý di
tích,…), các tổ chức phi lợi nhuận (các cơ sở cung ứng các dịch vụ du lịch (lưu trú,
ăn uống,…) cho những học sinh, sinh viên, những người có điều kiện khó khăn
không vì mục đích lợi nhuận), các doanh nghiệp xã hội (Mục tiêu hoạt động nhằm
giải quyết vấn đề xã hội, môi trường vì lợi ích cộng đồng; Sử dụng ít nhất 51% tổng
lợi nhuận hàng năm của doanh nghiệp để tái đầu tư nhằm thực hiện mục tiêu xã hội,
môi trường như đã đăng ký)
Dù vậy, tất cả các doanh nghiệp du lịch và các loại hình cơ sở cung ứng dịch
vụ du lịch đều phải hạch toán, chịu trách nhiệm cung ứng sản phẩm, dịch vụ đủ số
lượng, đúng chất lượng và thời hạn đã cam kết. Trong đó, doanh nghiệp du lịch là bộ
phận chủ yếu cung ứng các dịch vụ du lịch.
Doanh nghiệp du lịch cùng với các đơn vị cung ứng khác trong du lịch là một
trong 4 chủ thể của hệ thống du lịch.
5.1.2. NHỮNG ĐẶC ĐIỂM CỦA DOANH NGHIỆP DU LỊCH
1. Doanh nghiệp du lịch là các doanh nghiệp dịch vụ có mức
độ cá nhân hóa sản phẩm thấp nhưng có sự tiếp xúc cao với
khách hàng
Xét theo hai tiêu thức: mức độ cá nhân hóa sản phẩm (sản phẩm khác nhau cho
từng khách hàng khác nhau) và mức độ tiếp xúc giữa nhân viên và khách hàng,
chúng ta có 4 nhóm doanh nghiệp dịch vụ khác nhau (hình 5.1). Đa phần các doanh
2

nghiệp du lịch là những doanh nghiệp có mức độ cá nhân hóa sản phẩm khá thấp và
tiếp xúc rất cao. Các tiện nghi, dịch vụ trong khách sạn, nhà hàng, máy bay, các
chương trình du lịch,… thường là các sản phẩm được tiêu chuẩn hóa, tức ít có sự
khác biệt thật sự về sản phẩm cho các khách hàng khác nhau. Đồng thời, trong quá
trình tiêu dùng dịch vụ du lịch, khách hàng thường xuyên gặp gỡ, tiếp xúc với doanh
nghiệp và nhân viên của doanh nghiệp du lịch.
Tính tiêu chuẩn hóa sản phẩm cao cho phép các doanh nghiệp du lịch cung
ứng dịch vụ theo các quy trình phục vụ được xây dựng trước một cách chặt chẽ. Tuy
nhiên, sự tiếp xúc thường xuyên làm cho doanh nghiệp trở thành tủ kính trước mắt
khách hàng, mọi sự sắp xếp, trưng bày, tình trạng vệ sinh,… đều trong suốt trước mắt
khách hàng. Mức độ tiếp xúc cao còn làm cho yếu tố con người, đặc biệt là nhân viên
tiếp xúc trực tiếp với khách hàng, là hết sức quan trọng trong việc mang lại sự hài
lòng cho khách. Yêu cầu đối với nhân viên tiếp xúc trực tiếp không chỉ là sự thành
thạo tay nghề mà còn ở khả năng giao tiếp.
Mức độ tiếp xúc giữa nhân viên và khách hàng
Cao Thấp
Mức độ
cá nhân
hóa sản
phẩm
Cao
Thấp
Hình 5.1. Doanh nghiệp du lịch trong phân loại doanh nghiệp dịch vụ theo mức độ cá nhân
hóa sản phẩm và tiêu chuẩn hóa dịch vụ
2. Các doanh nghiệp du lịch có lượng cung tương đối cứng
nhắc; tỷ trọng vốn cố định trong cơ cấu vốn, tỷ trọng chi phí
cố định trong cơ cấu chi phí thường khá cao
Có thể nói ngoại trừ các doanh nghiệp lữ hành, đây là đặc điểm phổ biến của
các doanh nghiệp du lịch.
Lượng cung có thể có của doanh nghiệp du lịch thể hiện qua số lượng phòng
có thể cung ứng, số ghế của nhà hàng, số chỗ ngồi trên máy bay, tàu lửa,.. không thể
thay đổi được trong ngắn hạn. Hơn nữa, doanh nghiệp du lịch phải hoạt động liên
tục, không thể tăng giảm ca kíp; sản phẩm không thể tồn kho nên không thể điều
3
DN
tư vấn
DN sửa
chữa ô tô
DN
Du lịch
Công ty
Bảo hiểm

chỉnh lượng sản phẩm đưa ra thị trường. Những yếu tố trên khiến khối lượng sản
phẩm dịch vụ mà doanh nghiệp du lịch cung ứng là cứng nhắc.
Ở khía cạnh khác, lượng vốn đầu tư xây dựng các công trình kiến trúc và trang
thiết bị của khách sạn, nhà hàng, vốn mua sắm máy bay, tàu thủy của các hãng hàng
không, tàu biển du lịch là những lượng vốn khổng lồ nên doanh nghiệp du lịch
thường có tỷ trọng vốn cố định cao. Điều này dẫn đến các chi phí cố định như chi phí
khấu hao, vận hành, bảo trì các công trình xây dựng, các trang thiết bị luôn ở mức độ
cao. Hơn nữa, trong du lịch, doanh nghiệp không thể trả lương theo sản phẩm mà trả
lương theo thời gian. Đây lại là một khoản chi phí cố định lớn nữa. Vì vậy, so với
nhiều ngành khác, tổng chi phí cố định (TFC) thường chiếm tỷ trọng cao trong cơ
cấu tổng chi phí (TC) của doanh nghiệp du lịch.
Các vấn đề trên dẫn đến, trong kinh doanh du lịch, việc khai thác hết công suất
thiết kế là vấn đề sống còn của doanh nghiệp. Tỷ trọng cao của chi phí cố định khiến
cho kinh doanh du lịch thường có độ rủi ro cao:
+ Với chi phí cố định cao, chi phí biến đổi trên một đơn vị sản phẩm thấp dẫn đến giá
sàn thấp. Trong trường hợp cầu thị trường giảm mạnh, nguồn cung thừa, áp lực khai
thác đầy đủ công suất khiến một số khách sạn phá giá. Lúc đó, đáy giá có thể xuống
đến giá sàn ở mức rất thấp.
+ Một vấn đề khác, do tỷ trọng chi phí cố định cao, chi phí biến đổi thấp nên độ dốc
đường tổng chi phí thấp. Vì vậy, khi doanh thu tăng, giảm thì lợi nhuận cũng tăng,
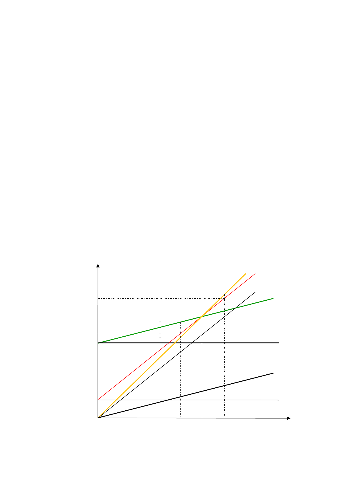
giảm nhưng với tốc độ cao hơn nhiều so với các ngành khác (hình 5.2).
Hình 5.2. Đặc thù đường doanh thu, chi phí của doanh nghiệp du lịch
4
TC
C
NM
T
R
TFC
DL
TFC
CN
M
TC
DL
A
N
M
T
R
P
Q
B
TVC
C
NM
TVC
DL
Q
1
Q
0
Q
2

So sánh giữa doanh nghiệp du lịch và doanh nghiệp các ngành khác, công
nghiệp may chẳng hạn. Đường Tổng chi phí cố định của doanh nghiệp du lịch
(TFC
DL
) cao hơn nhiều so với Tổng chi phí cố định của doanh nghiệp thuộc ngành
công nghiệp may (TFC
CNM
). Ngược lại, chi phí biến đổi trên một đơn vị sản phẩm
của du lịch thấp hơn chi phí biến đổi của doanh nghiệp may vốn sử dụng nhiều
nguyên nhiên vật liệu, tiền lương, điện, nước,… nên độ dốc của đường tổng chi phí
biến đổi của du lịch (TVC
DL
) có độ dốc thấp hơn của công nghiệp may (TVC
CNM
) .
Từ đó, đường Tổng chi phí của doanh nghiệp du lịch (TC
DL
) có độ dốc nhỏ hơn nhiều
so với của doanh nghiệp may (TC
CNM
). Giả định, hai ngành có cùng giá bán một đơn
vị sản phẩm và vì vậy có chung đường Tổng doanh thu (TR). Khi sản lượng tiêu thụ
Q
2
cao hơn 20% so với sản lượng hòa vốn Q
0
, doanh nghiệp du lịch có lợi nhuận
bằng AM cao hơn nhiều so với AN của doanh nghiệp may, ngược lại khi sản lượng
tiêu thụ là Q
1
, mức lỗ của doanh nghiệp du lịch là BP, cao hơn nhiều so với BQ của
doanh nghiệp may.
3. Cung ứng các dịch vụ du lịch là một hệ thống đa dạng các
doanh nghiệp du lịch và đơn vị cung ứng dịch vụ du lịch
Sự đa dạng của doanh nghiệp du lịch chia theo các ngành chuyên môn hóa
trong du lịch: Các sản phẩm, dịch vụ cung ứng cho du khách rất đa dạng, cho nên, hệ
thống các doanh nghiệp du lịch là những đơn vị thuộc các chuyên ngành khác nhau
có những đặc điểm kinh tế, kỹ thuật và tổ chức, quản lý rất khác nhau: vận chuyển,
lưu trú, ăn uống, tham quan, giải trí, bán hàng lưu niệm,…
Sự đa dạng về mục tiêu hoạt động của các đơn vị cung ứng dịch vụ du lịch:
cũng như nhiều ngành khác, du lịch cũng có những tổ chức vì lợi nhuận và những tổ
chức phi lợi nhuận.
Bên cạnh những tổ chức phi lợi nhuận hoạt động vì cộng đồng - đó là những tổ
chức cung ứng các chương trình du lịch, các dịch vụ lưu trú, ăn uống dành cho các
du khách là những đối tượng khó khăn: học sinh, sinh viên, người tàn tật, người
nghèo… du lịch còn có những tổ chức phi lợi nhuận khá đặc thù khác. Do du lịch
khai thác các nguồn tài nguyên là tài sản chung của cộng đồng (di tích lịch sử, di sản
văn hóa, thắng cảnh, hệ sinh thái đặc thù,…) nên tồn tại những tổ chức bán thương
mại (semi-commercial organisation) của Nhà nước dưới dạng các đơn vị hành chính
sự nghiệp có thu. Đó là các Viện Bảo tàng, Ban Quản lý di tích, Ban Quản lý Vườn
quốc gia. Các tổ chức này cũng có nguồn thu từ du khách nhưng không lấy lợi nhuận
làm mục tiêu cuối cùng của mình. Dù vậy, cũng như các tổ chức vì lợi nhuận, họ
cũng hạch toán, cũng cạnh tranh để thu hút nguồn nhân lực, nguồn vốn và các nguồn
lực khác, họ cũng có thể tạo ra lợi nhuận (đúng hơn là thặng dư) nhưng không chia
cho cổ đông mà được giữ lại để tích lũy cho các chương trình và dịch vụ tương lai.
5

Sự đa dạng về hình thức sở hữu: chắc chắn rằng một ngành công nghiệp với
một chuỗi các sản phẩm đa dạng như vậy sẽ hình thành các hình thức người sở hữu
từ mỗi một ông chủ nhỏ đến các công ty đa quốc gia và các doanh nghiệp nhà nước.
Điều không tránh được từ sự đa dạng trên là những nhà cung ứng sẽ không
hoạt động theo cùng một mục tiêu thương mại. Như đã lưu ý trong chương 1, ngành
thường thu hút nhiều nhà cung ứng mà mục đích của họ không phải là vấn đề tài
chính. Cũng có nhiều cơ quan Chính phủ và doanh nghiệp nhà nước đóng vai trò nhà
cung ứng, thường có những mục tiêu mâu thuẫn, có nguy cơ dẫn đến khó khăn trong
quản trị. Bên cạnh những cơ quan và doanh nghiệp nhà nước, trong du lịch, chủ yếu
là các doanh nghiệp tư nhân, được đăng ký (legal entreprise), hầu hết hoạt động với
mục tiêu dài hạn cổ điển là tối đa hóa lợi nhuận, nhưng vì nhiều lý do, mục tiêu này
có thể ít quan trọng so với những mục tiêu hay những nhu cầu ngắn hạn.
Cuối cùng, sự năng động và bản chất quốc tế ngày càng tăng của công nghiệp
du lịch đã dẫn thay đổi trong cấu trúc của ngành khi các nhà cung ứng thâm nhập hay
rời khỏi những ngành khác nhau hay thích nghi với điều kiện của thị trường mới. Để
hiểu bản chất của nguồn cung trong du lịch, cần phải xem xét những mục tiêu, cấu
trúc tổ chức có thể và sự năng động của các doanh nghiệp cung ứng. Cũng cần có sự
xem xét xu hướng hội nhập giữa các doanh nghiệp trong môi trường toàn cầu.
5.2. CÁC CẤU TRÚC THỊ TRƯỜNG TRONG DU LỊCH
Cấu trúc thị trường, nơi các doanh nghiệp du lịch hoạt động, là khác nhau giữa
các chuyên ngành du lịch và giữa các quốc gia - từ gần như là cạnh tranh thuần túy
cho đến độc quyền hoàn toàn. Sở dĩ có sự khác nhau này là do ở các chuyên ngành
khác nhau, doanh nghiệp có quy mô tối ưu rất khác nhau dẫn đến sự khác nhau về
khả năng hình thành độc quyền tự nhiên. Mặt khác, ở các quốc gia khác nhau có
những quy định khác nhau về điều tiết ngành. Ở chương này, chúng ta quan tâm đến
dạng đường cầu mà doanh nghiệp đối diện và những quyết định của họ trong từng
loại thị trường.
5.2.1. CẠNH TRANH HOÀN HẢO VÀ THUẦN TÚY
Cạnh tranh hoàn hảo có thể được định nghĩa, trên quan điểm người bán, như là
tình trạng nơi đó người bán đối mặt với một mức giá do thị trường xác định và có thể
bán tất cả đầu ra của họ ở mức giá này; như vậy, người bán đối diện với đường cầu
nằm ngang như ở hình 5.3.
6
Gi
á
P
1
A B

Hình 5.3. Đường cầu của một doanh nghiệp trong điều kiện cạnh tranh hoàn hảo
Doanh nghiệp này, đối diện với đường cầu AB, có thể bán bất kỳ số lượng nào
của đầu ra ở mức giá P
1
, nhưng không thể nỗ lực để bán ở một mức giá cao hơn vì
những người mua sẽ ngay lập tức di chuyển đến người thay thế khác, một cách hoàn
hảo, ở mức giá P
1
.
Tình trạng này thường gặp trong các ngành mà quy mô tối ưu của doanh
nghiệp rất bé so với cầu thị trường. Ở đó, chúng ta có nhiều nhà sản xuất nhỏ, tất cả
là 'những người nhận giá nhưng tạo ra sản lượng' (price takers but quantity makers').
Tình huống rõ ràng nhất cho trường hợp này là những motel và khách sạn cấp hạng
thấp ở một điểm du lịch lớn hay hoạt động taxi trong những thành phố lớn của quốc
gia mà taxi không phải là ngành kinh doanh có điều kiện ngặt nghèo.
Mặc dù vậy, trong thực tế chúng ta rất ít gặp cấu trúc thị trường cạnh tranh
thực sự hoàn hảo. Các motel hay khách sạn nhỏ (khách sạn mini) chẳng hạn, có thể
thay đổi giá của nó một ít trong khi vẫn giữ được khách hàng bằng cách lợi dụng
những sự khác biệt nhỏ như vị trí, chất lượng dịch vụ hay sự trang trí. Vì vậy, chúng
tạo ra lợi thế so sánh hay sự khác biệt hóa sản phẩm, vốn vi phạm điều kiện cần có
của cạnh tranh hoàn hảo nên không thể gọi là thị trường cạnh tranh hoàn hảo. Tuy
nhiên, trong trường hợp này, doanh nghiệp vẫn không có đủ năng lực trên thị trường
để ấn định giá ở mức họ mong muốn, họ chỉ có một khoảng giá chấp nhận được để
hoạt động. Đây là hình thức của cạnh tranh không hoàn hảo, gần với cạnh tranh thuần
túy. Như vậy, một motel, khách sạn nhỏ riêng biệt phải chịu sự tác động của mô hình
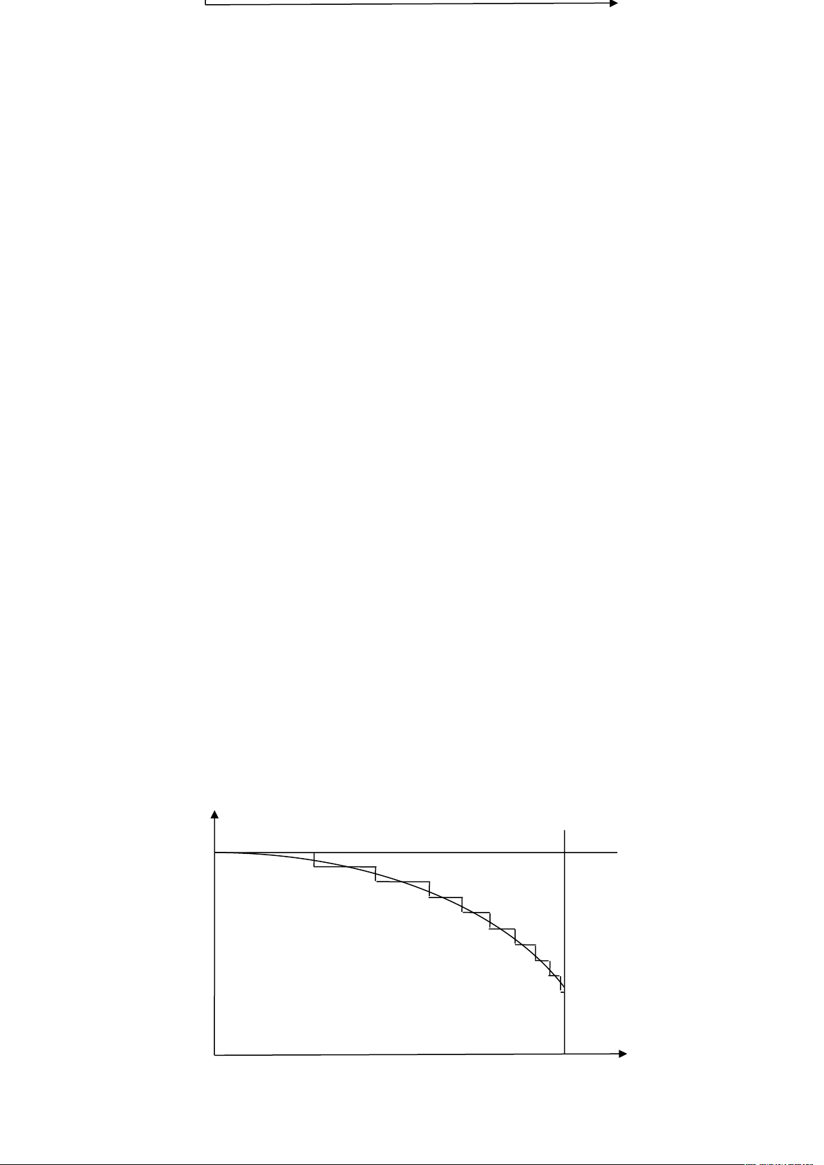
đường cầu là tập hợp của nhiều đoạn nằm ngang như ở hình 5.4.
7
Khối lượng đầu ra của
DN
Gi
á
P
m
A
B
Q
Q
1

Hình 5.4. Mô hình đường cầu tiêu biểu của khách sạn nhỏ trong thị trường cạnh tranh
không hoàn hảo
Từ hình 5.4, P
m
là giá tối đa còn có thể tiêu thụ được của khách sạn, giá mà
khách sạn thấy rằng, chất lượng và những thuộc tính sản phẩm của mình không cách
biệt quá so với sản phẩm có giá rẻ hơn của đối thủ cạnh tranh. Q
1
là khối lượng đầu
ra khai thác hết công suất - mọi đơn vị sản phẩm đã được tiêu thụ. Mô hình cầu từng
nấc AB biểu thị khách sạn nhỏ phải đứng trước một dãy mức độ biến đổi giá (bản
chất từng nấc giả định rằng cầu phản ứng khó khăn với những thay đổi nhỏ của giá).
Bộ giá thực tế sẽ phụ thuộc vào cấu trúc chi phí và các mục tiêu kinh doanh.
Cấu trúc cạnh tranh không hoàn hảo khá phổ biến trong du lịch, đặc biệt vì
trong ngành du lịch tồn tại nhiều doanh nghiệp nhỏ nhưng dễ có sự khác biệt hóa về
sản phẩm. Vì sao trong du lịch có nhiều doanh nghiệp nhỏ? Đó là vì nhân tố cơ bản
tạo sự khác biệt là phong cách và mức chất lượng dịch vụ. Nếu trong công nghiệp,
việc nâng cao mức chất lượng hay thay đổi sản phẩm đòi hỏi một sự đầu tư lớn thì
trong du lịch, sản phẩm dịch vụ là chuỗi hành động thực hiện theo quy trình, cảm
nhận chất lượng ít có tính phân tích, nên việc thay đổi sản phẩm thường dễ dàng và ít
tốn kém, dẫn đến thu nhập biên có được từ giá trị tăng thêm này sẽ cao hơn chi phí
biên để tạo ra nó. Kết quả là không phải quy mô càng lớn là càng có ưu thế trong
nâng cao chất lượng, thay đổi sản phẩm hoặc hạ giá thành, chỉ có giới hạn của lượng
cầu mới cản trở sự mở rộng quy mô. Từ đó, việc mở rộng quy mô trong dịch vụ ít tạo
ra lợi thế của quy mô lớn.
Trong khi cấu trúc ở trên có thể giúp mô tả tương đối rõ thị trường của một vài
chuyên ngành cạnh tranh không hoàn hảo như taxi, motel, khách sạn mini và các cửa
hàng lưu niệm, các cấu trúc thị trường trong du lịch nói chung sẽ phức tạp hơn bởi:
Sự khó khăn trong định nghĩa sản phẩm, từ đó khó khăn trg xác định phạm vi
ngành,
Ranh giới địa lý của các thị trường và sự khác nhau về tính chất thị trường của
người sản xuất và người tiêu dùng, đặc biệt khi tính đến du lịch quốc tế.
Nhiều doanh nghiệp vượt biên giới quốc gia và có thể hoạt động trong những
cấu trúc thị trường khác ở những quốc gia khác; chẳng hạn, Saigontourist đối diện
với sự cạnh tranh đáng kể trong hoạt động bán các chương trình du lịch trọn gói ở thị
trường các tỉnh phía Bắc hay thị trường Nga, trong khi ở thành phố Hồ Chí Minh, nó
là thế lực độc quyền đáng kể. Tương tự là Vietnam Airlines tại thị trường Châu Âu
đối diện với đường cầu khác với tại thị trường Việt Nam. Sự khác biệt này thậm chí
còn rõ nét hơn với những doanh nghiệp lữ hành nhận khách thuộc sở hữu nhà nước ở
nhiều quốc gia kém phát triển. Do đó, cần xem xét sự tác động của cấu trúc thị
trường lên các doanh nghiệp du lịch gắn liền với mỗi thị trường tiêu dùng (within
each consuming market), và nếu có thể, với mỗi loại hay nhóm sản phẩm.
8

5.2.2 CÁC NHÀ ĐỘC QUYỀN
Vì những lý do như đã nói ở trên, đôi khi cũng rất khó xác định những nhà độc
quyền thực sự trong du lịch vì người mua có thể có những sản phẩm thay thế khác do
nhiều doanh nghiệp cung ứng. Chẳng hạn, một du khách doanh nhân cần một phương
tiện vận chuyển nhanh để đến điểm tổ chức hội nghị, cung đường này được phục vụ
chỉ bởi một hãng hàng không duy nhất, còn vận chuyển đường bộ có lẽ là quá chậm.
Với nhiều người tiêu dùng, tình huống này đúng là một sự độc quyền, tuy nhiên, đối
với những người khác thì chưa hẳn, bởi họ có khả năng thuê máy bay hoặc sử dụng
công nghệ viễn thông để tổ chức hội nghị online. Mặc dù vậy, một nhà độc quyền có
thể được cho là tồn tại khi những sự thay thế này là:
không có sẵn vào lúc nhu cầu đòi hỏi, hay
giá không thể chấp nhận được bởi người tiêu dùng, hay
có sự khác biệt đủ lớn trong tập các thuộc tính của chúng để sản phẩm thay thế
bị coi là không phù hợp với những mục tiêu nhu cầu của người tiêu dùng.
Một nhà độc quyền có điều kiện để ấn định mức giá (hay các mức giá (khi
thực hiện phân biệt giá)) chỉ căn cứ trên chi phí và mục tiêu riêng của doanh nghiệp
và dưới tác động của cầu thị trường. Việc thiếu cạnh tranh cho phép đề ra giá trong
một phạm vi rộng, và vì lý do này, nhiều doanh nghiệp luôn nỗ lực tìm kiếm vị thế
độc quyền trong kinh doanh. Trong du lịch, khi mà sản phẩm dễ có được sự khác biệt
hóa, điều đó thường tương đối dễ thực hiện:
trên thực tế, bằng chất lượng dịch vụ, vị trí hay những đặc điểm khác,
trong nhận thức của người tiêu dùng, bằng những hoạt động truyền thông cổ
động tinh vi về hình ảnh sản phẩm trong tâm trí khách hàng.
Một chiến lược chủ yếu khác mà nhà độc quyền có thể sử dụng, đó là chính
sách giá phân biệt - ấn định những giá khác nhau cho những đoạn thị trường khác
nhau. Một cách cổ điển, điều này chỉ có thể áp dụng khi có thể phân đoạn thị trường
và các đoạn thị trường này không liên thông với nhau (người ở đoạn thị trường này
không thể bán lại sản phẩm đã mua cho người ở đoạn thị trường khác với mức giá
cao hơn). Việc phân đoạn thị trường hàm ý những đoạn thị trường khác nhau có
đường cầu khác nhau, và do đó người tiêu dùng ở các đoạn thị trường khác nhau sẵn
lòng chấp nhận các mức giá khác nhau.
Một ví dụ tiêu chuẩn, và đơn giản, của sự phân biệt giá là ngành vận chuyển
như ngành hàng không xác định khách doanh nhân và du khách giải trí như là hai
đoạn thị trường chính trên một tuyến bay. Du khách công vụ buộc phải thực hiện
chuyến đi, vì vậy, cầu của họ ít co giãn hơn, trong khi du khách giải trí có thể có
nhiều lựa chọn hơn và vì vậy cầu co giãn hơn (Toh, Kelly và Hu 1986). Lý thuyết
kinh tế cổ điển chỉ ra rằng để đạt lợi nhuận tối đa, hãng hàng không nên ấn định các
9

giá cước bằng mức thu nhập biên trên hai thị trường (Baumol 1977). Biểu diễn định
lượng của vấn đề này sẽ được thể hiện ở Phụ lục A chương này, nhưng hiệu quả sẽ
được thể hiện ở Hình 5.5.
Cầu của hai thị trường kết hợp lại là đường gãy khúc gồm nửa đường thẳng
CA thể hiện mô hình cầu của khách hàng công vụ và CD biểu hiện phần cầu thêm
vào của du khách giải trí, khi đó P
1
biểu hiện giá cước cho khách công vụ và P
2
biểu
hiện giá cước cho du khách giải trí.
Với mức giá P
1
duy nhất, hãng bán được Q
1
chỗ ngồi cho du khách doanh
nhân, Q'
2
cho du khách giải trí, tương tự, với mức giá P
2
duy nhất, hãng bán được Q
2
chỗ ngồi cho khách giải trí và Q'
1
cho cho khách doanh nhân. Khi áp dụng hai mức
giá phân biệt P
1
và P
2
cho hai đối tượng khách, tổng thu nhập của hãng hàng không là
P
1
Q
1
+ P
2
Q
2
, sẽ lớn hơn trong trường hợp bán tất cả ở mức giá P
2
, nó chỉ có doanh
thu P
2
Q
2
+ P
2
Q'
1
, hoặc bán tất cả ở giá P
1
, hãng chỉ có P
1
Q
1
+ P
1
Q'
2
. 'Miếng ăn' tăng
thêm của thu nhập này là do cắt vào thặng dư của người tiêu dùng (consumers'
surplus) (giá trị tăng thêm của sản phẩm mà người tiêu dùng nhận được, vượt quá và
trên mức giá mà nếu không họ cũng phải trả).
Hình 5.5. Các giá cước được xác định bằng phân biệt giá
Các hãng hàng không, cũng như nhiều doanh nghiệp du lịch khác có khả năng
áp đặt chính sách giá phân biệt, bởi vì họ bán các dịch vụ dành cho khách - hàng - cụ
thể (buyer-specific service). Đối với những quốc gia cấm phân biệt giá cho một sản
phẩm tương tự, hoặc để tránh tâm lý không thuận lợi từ phía khách hàng khi gặp tình
trạng phân biệt giá, các hãng cũng có thể áp đặt những điều kiện bán để phân biệt các
đoạn thị trường một cách mạnh mẽ. Chẳng hạn, giá cước P
2
thấp chỉ dành cho vé khứ
hồi, với số ngày lưu trú ngắn ở điểm đến và yêu cầu phải mua vé trước X tuần.
Không điều nào trong những điều kiện này có thể phù hợp với du khách doanh nhân
và vì vậy ngăn cản đoạn thị trường này sử dụng giá rẻ. Như vậy câu hỏi ở đây là phải
10
Gi
á
cư
ớc
Số lượng ghế bán
được
A
C
P
1
P
2
Q
1
Q
2
B
D
Q
'
1
Q
'
2

chăng các hãng hàng không bán hai sản phẩm khác nhau dành cho hai tầng lớp khách
khác nhau; có thể đưa ra câu trả lời là không bởi các điều kiện được áp đặt ở trên
không làm thay đổi chi phí của hãng hàng không trong việc cung cấp sản phẩm.
5.2.3 ĐỘC QUYỀN NHÓM VÀ NHỮNG HÌNH THỨC CẠNH TRANH
KHÔNG HOÀN HẢO KHÁC
Như hầu hết các ngành sản xuất khác, các doanh nghiệp du lịch chủ yếu hoạt
động trong những thị trường cạnh tranh không hoàn hảo. Trong đó, độc quyền nhóm
là cấu trúc thị trường bị khống chế một cách hoàn toàn hay chủ yếu bởi số ít các
doanh nghiệp có thể hoặc không cạnh tranh quyết liệt với nhau. Trong thị trường này,
có thể nói là có sự tập trung hóa các doanh nghiệp ở mức độ cao, mỗi doanh nghiệp
có một thị phần đáng kể, nhờ vậy, họ có thể chủ động trong các quyết định về giá
nhưng chỉ trong một giới hạn nhất định, họ bị ảnh hưởng mạnh bởi các quyết định
cung ứng của mỗi doanh nghiệp khác và luôn dè chừng trước các phản ứng của đối
thủ cạnh tranh.
Độc quyền nhóm và những hình thức cạnh tranh không hoàn hảo khác là kiểu
thị trường khá phổ biến trong du lịch. Các điểm đến du lịch nỗ lực tối đa dị biệt hóa
sản phẩm và cổ động mạnh mẽ để tạo sự khác biệt đó trong tâm trí du khách, nhưng
họ luôn ý thức rằng có các điểm đến với những thuộc tính tương tự sẽ sẵn sàng thay
thế mình (dù không hoàn hảo). Một cách chính xác, điều tương tự cũng có thể thích
hợp với các hãng hàng không, các công ty cho thuê xe, các khách sạn cấp hạng cao
quy mô lớn, các trung tâm hội nghị, các điểm tham quan,… ở bên trong điểm đến và
có thể nói thích hợp với toàn bộ các doanh nghiệp du lịch.
Độc quyền nhóm là một cấu trúc thị trường mà những người tối đa hóa lợi
nhuận hay tối đa hóa doanh thu thường đối diện với mô hình đường cầu 'thắt nút' như
ở hình 5.6. Đó là trường hợp khi doanh nghiệp bán một khối lượng sản phẩm Q
1
ở
mức giá P
1
, họ sẽ có một đường cầu ít co giãn khi hạ giá nhưng co giãn mạnh khi
tăng giá.
Lý do là ở chỗ các đối thủ cạnh tranh sẽ nhanh chóng giảm giá phản ứng với
bất kỳ sự giảm giá nào (bởi nếu không thế thì thị phần của họ bị tụt giảm mạnh) vì
vậy, không ai có lợi nhờ giảm giá. Nếu doanh nghiệp tăng giá lên hơn P
1
, các đối thủ
cạnh tranh sẽ không tăng giá theo và khi đó doanh nghiệp sẽ mất thị phần vào tay các
đối thủ cạnh tranh có giá thấp hơn. Sự biện giải này đã được sử dụng để giải thích 'sự
bùng nhùng' hay gặp của giá trong thị trường cạnh tranh độc quyền; dù vậy, những
nhận thức không hoàn hảo của người tiêu dùng và những dị biệt trong các thuộc tính
sản phẩm mà đã được lưu ý ở Chương 1 thường cho phép một vài sự thay đổi giá mà
không bị trả giá.
11

Hình 5.6. Mô hình đường cầu 'thắt nút' của thị trường cạnh tranh độc quyền
Tình trạng này là nét chung trong các thị trường du lịch. Chẳng hạn, với thị
trường gửi khách Bắc Âu, các nhà cung ứng chính là các điểm đến Tây Ban Nha,
Italy, Hy Lạp và Thổ Nhĩ Kỳ. Các điểm đến này khai thác thế mạnh mặt trời, biển và
bãi biển ở mức giá khá rẻ. Mỗi quốc gia trong nhóm này luôn theo dõi sản phẩm du
lịch, hoạt động marketing, giá và tỷ giá hối đoái của các quốc gia còn lại trong nhóm
và sẵn sàng phản ứng quyết liệt với các nỗ lực cạnh tranh của họ.
Điều tương tự cũng xảy ra với các doanh nghiệp. Chẳng hạn, trong thị trường
resort 5 ven biển Đà Nẵng, thị trường này bị khống chế bởi nửa tá resort cho thuê
phòng hoặc biệt thự. Riêng mảng cho thuê phòng, hiện nay chỉ gồm Furama resort,
Hyatt regency, Vinpearl luxury. Những doanh nghiệp này đang biểu hiện một sự
cạnh tranh lẫn nhau vô cùng quyết liệt, và kết quả là họ có phổ sản phẩm và giá
tương tự nhau cố định trong khoảng thời gian tương đối dài (xem Bảng 5.1); chính
điều này bảo đảm sự ổn định thị trường.
Bảng 5.1 So sánh các mức giá cho thuê phòng resort 5
ven biển
(Đà Nẵng, phòng tiêu chuẩn cho 2 người, giá booking tháng 09/2014
- chưa bao gồm thuế và phí)
VND
Garden/pool view Ocean view
Furama resort 3.660.000 4.530.000
Hyatt regency 3.767.000 4.216.000
Vinpearl luxury 3.691.000 4.051.000
12
G
iá
Số lượng SP bán
được
A
P
1
Q
1
B

Nguồn: www.ivivu.com (ngày 22/8/2014)
Bất kỳ sự giảm giá của một doanh nghiệp nào đó trong nhóm này sẽ có xu
hướng dẫn đến sự giảm giá của các doanh nghiệp còn lại và vì vậy ít có được một sự
tăng trưởng thị phần đáng kể cho người khởi động giảm giá. Cũng tương tự như vậy,
không có một doanh nghiệp nào đơn phương tăng giá, ít nhất là tăng khá cao (trừ phi
nó bị buộc phải làm điều đó do sự gia tăng chi phí) vì sẽ ảnh hưởng đến sự cân bằng
cạnh tranh. Thay vào đó, các khách sạn quy mô lớn, cấp hạng cao, công ty hàng
không, cũng như những nhà độc quyền nhóm khác, thường cho phép mình thực hiện
những cạnh tranh phi giá như cổ động, chất lượng dịch vụ hay giảm giá ngắn hạn
mang tính chiến thuật cho thị trường mục tiêu riêng của mình, vốn không dành thời
gian cho đối thủ cạnh tranh kịp phản ứng. Những hoạt động kiểu đó thường thể hiện
qua các chiến dịch 'Tôi là số 1', 'Chúng tôi sẽ cố gắng hơn nữa',… mà các resort
thường sử dụng trên thị trường nội địa vào mùa trái của du khách quốc tế hay những
hoạt động thương mại nửa hạn chế đặc biệt (special semi-restrictive trade practices)
(chẳng hạn, hoa hồng ưu đãi cho các đại lý có quan hệ đặc biệt).
Để tránh 'chiến tranh về giá', các doanh nghiệp độc quyền nhóm có thể công
khai hay lén lút, cam kết một thỏa thuận không cạnh tranh về giá, và có thể để hạn
chế cạnh tranh hơn nữa bằng hạn ngạch thị phần hay thỏa thuận phân chia thị trường.
Một thỏa thuận như vậy, nếu công khai, là một liên minh (cartel), và nói chung, ngày
nay, chính quyền không cho phép nếu nó được xem là cản trở sự tự do thương mại.
Mặc dù vậy, những câu kết kiểu này vẫn thường thấy trong kinh doanh du lịch.
Trường hợp nổi tiếng nhất trong du lịch có lẽ là Hiệp hội vận chuyển hàng
không quốc tế - IATA - trong hình thức nguyên thủy của nó. IATA bao gồm khoảng
82 hãng hàng không chủ yếu, hầu hết là các hãng vận chuyển hành khách quốc tế, có
nhiều vai trò trong thỏa thuận liên kết các tuyến bay, đăng ký giữ chỗ và bán vé, đại
diện thương mại,v.v… . Trên khía cạnh thông đồng thị trường, IATA chịu trách
nhiệm xây dựng các giá vé máy bay cố định trước năm 1978, mặc dù sự tuân thủ quy
định này là hoàn toàn tự nguyện. Lý do ban đầu cho việc xác định giá này là tạo sự
thuận lợi cho hoán đổi vé và đơn giản trong thanh toán giữa các hãng hàng không
bảo đảm cho việc du hành quốc tế được thuận tiện. Kết quả là điều này làm mất áp
lực cạnh tranh lên các thành viên. Cuối cùng sự thông đồng giá này làm nhiều hãng
hàng không tự lâm vào khó khăn, bởi duy trì một giá cao hơn so với giá cân bằng thị
trường trên nhiều tuyến bay kéo theo sự thiếu hụt cầu, và vì vậy doanh thu thấp, và
họ không gánh nổi chi phí cố định cao của ngành.
Thỏa thuận giá cố định của IATA thực tế đã không còn từ năm 1978, vì những
lý do chủ yếu sau:
13

Sự thắng thế của triết lý thị trường tự do, đặc biệt là quá trình phi điều tiết
(deregulation) vào những năm này của ngành hàng không Mỹ và Châu Âu
(xem thêm ở phần 4.3.1.).
Sự xuất hiện của những hãng hàng không hiệu quả, mạnh và mới, họ quyết
định không tham gia vào Hiệp ước cố định giá của IATA;
Sự thay đổi phương pháp tác nghiệp hàng không theo xu hướng nhắm đến
hiệp ước của hai hay ba hãng và tối thiểu hóa cước phí trong hiệp hội.
Những thế lực tương tự đã làm giảm số lượng và sức mạnh của các cartel trong
những chuyên ngành khác của du lịch, từ hệ thống giá cố định của một nhóm được
hỗ trợ bởi nhà nước đối với các khách sạn ở Hy Lạp cho đến dãy mức hoa hồng cố
định phải trả cho những đại lý thành viên của Hiệp hội các đại lý du lịch Anh. Nói
chung, mặc dù các hiệp ước phân phối và tác nghiệp có thể còn tồn tại, nhưng sự
thông đồng giá công khai đã không còn nữa.
5.3. XU HƯỚNG HỢP TÁC VÀ LIÊN KẾT CÁC DOANH NGHIỆP TRONG
DU LỊCH
5.3.1. HỘI NHẬP TRONG DU LỊCH
Hội nhập được coi là một lựa chọn cho các quyết định chiến lược của các
Công ty có mục tiêu tối đa hóa lợi nhuận hoặc tối đa hóa doanh thu bởi các lý do sau:
Đó là cách thức để có được lợi thế nhờ khai thác tính kinh tế của quy mô,
Cho phép nâng cao năng lực thương lượng cả trên thị trường người cung ứng
và thị trường người mua,
Khai thác tốt hơn các lợi thế khác biệt mà doanh nghiệp đang có.
Một doanh nghiệp có thể mở rộng hay tự phát triển để khai thác cơ hội của
mình hay nó có thể hợp nhất với các doanh nghiệp khác. Ba kiểu hội nhập phản ánh
ba lĩnh vực được miêu tả trong Hình 5.7.
14
Doanh nghiệp D
(Công ty cung cấp
suất ăn hàng không)
Doanh nghiệp B
(Công ty hàng không)
Doanh nghiệp A
(Công ty Khách sạn)
Doanh nghiệp C
(Công ty Khách sạn)
Doanh nghiệp E
(T.O, Đại lý Du lịch)
HỘI NHẬP DỌC
VỀ PHÍA SAU
HỘI NHẬP DỌC
VỀ PHÍA TRƯỚC
HỘI NHẬP BỔ
SUNG
HỘI NHẬP
NGANG

Hình 5.7. Các loại hình hội nhập chính trong du lịch
Trước hết, hình này thể hiện ví dụ về Hội nhập ngang (horizontal integration)
khi doanh nghiệp A và C (đều là hai doanh nghiệp chủ khách sạn) hợp nhất để đạt
tính kinh tế của quy mô.
Thứ hai, doanh nghiệp B (hãng hàng không chẳng hạn) có thể tìm kiếm sự an
toàn cho đầu vào của mình như suất ăn cho hành khách và các dịch vụ sân bay khác,
nó mua lại doanh nghiệp B là nhà cung cấp suất ăn hàng không là trường hợp Hội
nhập dọc về phía sau (backward vertical integration).
Để kiểm soát tốt hơn hoạt động phân phối sản phẩm, doanh nghiệp B có thể
đạt sự Hội nhập dọc về phía trước (Forward vertical integration) với doanh nghiệp E
thuộc hệ thống phân phối sản phẩm của nó.
Cuối cùng, những doanh nghiệp cung ứng những sản phẩm bổ sung nhau như
A và B có thể hợp nhất để cùng có lợi.
Cũng như trong các ngành công nghiệp khác, các hình thức hội nhập trong du
lịch thay đổi từ tiếp quản thẳng hoặc mua lại, rồi sáp nhập doanh nghiệp, cho đến
nắm giữ cổ phiếu chéo đa số và thiểu số
1
, nhượng quyền kinh doanh thương hiệu
(franchising) hay các liên minh chiến lược, hiệp hội tự nguyện
2
. Các hình thức hội
nhập sau, có tính linh hoạt và ít ràng buộc hơn, hiện nay đang có xu hướng chiếm ưu
thế trong du lịch. Điều này phản ánh các kiểu lợi thế kinh doanh có thể có trong du
lịch, đó không phải là lợi thế từ quy mô lớn trong sản xuất, thu mua và phân phối như
sản xuất công nghiệp mà là những lợi thế có được từ điều hành các mạng hoạt động
liên kết. Những lợi thế như vậy xuất phát từ nhận thức rằng các doanh nghiệp ngày
càng có quan điểm quản trị định hướng thị trường và phải phục vụ nhu cầu khách
hàng:
thông qua sự phân chia địa lý giữa những nơi gửi khách và các điểm đến
trong việc cung cấp các bộ phận của một sản phẩm du lịch tổng thể, theo cảm
nhận của người tiêu dùng, hơn là tập trung vào một ngành riêng lẻ.
1
Sở hữu chéo (cross-stock họldings): nói một cách khái quát là việc một số chủ thể sở hữu cổ phần, một cách trực tiếp
hoặc gián tiếp, ở từ hai công ty trở lên hoặc sở hữu cổ phần lẫn nhau, dẫn đến hiện tượng một công ty con đầu tư góp
vốn, mua cổ phần của công ty mẹ của nhóm công ty. Nó khiến việc một nhóm cổ đông có thể kiểm soát toàn bộ công ty
mà không nhất thiết phải nắm cổ phiếu đa số trong công ty đó. Tuy là một hình thức hỗ trợ nhau một cách hiệu quả về
thương hiệu, công nghệ hay đơn giản vì các cổ đông thiểu số muốn như vậy để có uy tín từ những tập đoàn hùng mạnh
nhưng nó có thể tạo ra doanh thu giả, lợi nhuận giả, hay chuyển giá giữa các thành viên trong công ty. Trong lĩnh vực
tài chính ngân hàng, sở hữu chéo khiến cho ngân hàng này chỉ đạo ngân hàng kia cho vay, gây thiệt hại cho các cổ
đông thiểu số hay thiệt hại cho chính ngân hàng bị chỉ đạo. Theo điều 193 (nhóm công ty mẹ, công ty con) tại dự thảo
Luật Doanh nghiệp sửa đổi của nước ta, việc sở hữu chéo trong tập đoàn đã bị hạn chế
2
Hiệp hội bao gồm các Công ty liên kết nhau ở một hoặc nhiều lĩnh vực nhưng vẫn là những thực thể riêng về lợi
nhuận và sứ mệnh.. Chẳng hạn, một số khách sạn liên kết nhau trong xây dựng và vận hành hệ thống đăng ký giữ chỗ,
trong quảng cáo, huấn luyện nhân viên nhưng vẫn kinh doanh độc lập với mục tiêu và kế hoạch riêng của mình.
15

Đặc thù về sự trải rộng không gian của du lịch khiến cho các doanh nghiệp
được kết nối mạng trong các khu vực địa lý khác nhau có khả năng hỗ trợ nhau trong
cung cấp nguồn khách. Điều này phù hợp cả trong hội nhập nhập ngang và dọc.
Chẳng hạn, một mạng đăng ký giữ chỗ trong ngành hàng không hay lưu trú sẽ tốn
nhiều chi phí cố định để hình thành và để mọi người biết đến, nhưng chi phí biến đổi
để phát triển sang khu vực địa lý mới lại rất thấp nên khả năng mở rộng hội nhập
ngang là cần thiết và vô cùng thuận lợi. Trên một mạng lưới marketing triển khai ở
nhiều thị trường gửi khách, việc đưa vào một điểm đến du lịch mới đa sản phẩm sẽ
làm hiệu quả của mạng lưới marketing tăng lên, điều đó tạo động lực mạnh mẽ cho
sự hợp nhất của du lịch.
5.3.1.1. Hội nhập ngang
Những doanh nghiệp cùng cấp hạng trong cùng một ngành thường liên kết
nhau để đạt hiệu quả quy mô sản xuất (trong hoạt động marketing, huấn luyện nhân
viên,…), trong năng lực thương lượng bán, mua, hay hạn chế hoặc loại bỏ sự cạnh
tranh. Với sự tăng trưởng của nhu cầu du lịch quần chúng toàn cầu, xu hướng hội
nhập ngang khá rõ nét. Trong ngành vận chuyển hành khách du lịch chẳng hạn, hội
nhập ngang cho phép khai thác hiệu quả hơn các phương tiện vận chuyển bằng cách
chia sẻ đội bay, đội xe, tàu giữa các doanh nghiệp có quy luật thời vụ khác nhau hay
liên kết trong bảo trì; nó cũng cho phép tạo ra nhiều tuyến hành trình phức tạp (cần
phối hợp các tuyến phục vụ của các hãng khác nhau) và khai thác hiệu quả mạng lưới
phân phối qua mạng.
Do vốn đầu tư cần thiết là tương đối thấp, sự hội nhập của các T.O. và đại lý
du lịch thường là hội nhập đầy đủ hoặc mua lại. Đa số các vụ sáp nhập này diễn ra
giữa các hãng lữ hành nội địa, dù vậy vẫn có một vài hãng lữ hành quốc tế thực hiện
hội nhập ngang như Thomas Cook (Bản thân Thomas Cook của 'hội nhập bổ sung'
trong kinh doanh tài chính, là công ty con của Westdeutsche Landesbank của Đức).
Ngược lại, do chi phí vốn của việc mua lại các hãng hàng không là quá lớn nên ít có
sự mua lại mà phổ biến là các quan hệ đối tác thông qua liên danh chia sẻ chuyến bay
hay hợp tác trong cổ động, chẳng hạn như liên kết giữa USAir và British Airways,
Swissair và Singapore Airlines.
Mục tiêu của những liên doanh trong du lịch đã nêu ở trên là do nhu cầu an
toàn trong một thị trường cạnh tranh hơn là khai thác lợi thế quy mô lớn. Lợi ích kinh
tế của hội nhập ngang của các T.O. chẳng hạn, là đạt được lợi thế cạnh tranh thông
qua nâng cao năng lực thương lượng của người mua với các nhà cung ứng hơn là
giảm giá thành sản xuất bên trong doanh nghiệp nhờ quy mô lớn. Điều tương tự cũng
diễn ra trong lĩnh vực kinh doanh lưu trú và những ngành khác trong du lịch, khi mà
hiệu quả đồng nghĩa với việc kiểm soát cầu nhằm phù hợp với lượng cung tương đối
16

cố định. Các chuỗi khách sạn và motel có thể đạt được một vài hiệu quả kinh tế nhờ
sáp nhập, mua lại, quản trị được tập trung hóa, nhưng giá trị chủ yếu của hội nhập
ngang là trong marketing, bao gồm cả hoạt động phân phối. 'Liên minh chiến lược
(Strategic alliance)
3
' được hình thành thường nhằm tạo ra một độ bao phủ thị trường
cao và toàn cầu hóa các nguồn lực. So với hội nhập tất cả các hoạt động một cách
hoàn toàn, lợi ích của liên minh chiến lược là ở chỗ mỗi doanh nghiệp thành viên có
thể hoạt động với quy mô hiệu quả nhất về mặt kinh tế (có nghĩa là ở đây các đơn vị
thành viên không tìm kiếm việc đạt hiệu quả bên trong có được nhờ mở rộng quy
mô); hiệu quả của liên minh là do các hoạt động có được với bên ngoài)
5.3.1.2. Hội nhập dọc và bổ sung
Một lần nữa, lợi thế về marketing và phân phối là lý do chính của hội nhập dọc
trong du lịch. Một hãng hàng không có thể xây dựng một T.O. là công ty con nhằm
hoạt động như là một kênh phân phối trong tiêu thụ vé máy bay của hãng. Mặt khác,
T.O. này có thể thiết kế và bán các chương trình du lịch trọn gói cho các đoạn thị
trường mà không sử dụng dịch vụ hàng không của hãng. Hãng hàng không có thể
không bị ảnh hưởng nghiêm trọng nếu T.O. này bị lỗ hay thậm chí phá sản miễn là có
sự gia tăng doanh số vé máy bay mang lại lợi nhuận biên tăng thêm cho hãng. Công
ty hàng không cũng có thể mua các đại lý du lịch để bảo đảm rằng sản phẩm của nó
được phân phối hiệu quả hơn hẳn các đối thủ cạnh tranh.
Lý do như vậy cũng được áp dụng trong hội nhập với những nhà cung ứng các
sản phẩm bổ sung, gọi là hội nhập bổ sung. Một hãng hàng không hay T.O. mua hay
trở thành người liên doanh với các khách sạn trong những thành phố nó phục vụ
khách hàng để bảo đảm rằng du khách luôn có được chỗ nghỉ nhằm củng cố quyết
định mua vé máy bay (hay chương trình du lịch) của họ. (Chính PanAm đã làm như
vậy với Intercontinental hotels giữa những 1950-1981). Tập đoàn hàng không hay
T.O. cũng có thể mua một công ty vận tải hành khách đường bộ để kiểm soát sự vận
chuyển mặt đất và đưa khách đi tham quan, và phát triển các điểm tham quan, giải trí
để tăng cường nhu cầu du lịch của du khách. Doanh nghiệp của bất kỳ lĩnh vực nào
cũng có thể là người khởi đầu cho quá trình hội nhập này, chẳng hạn Công ty Walt
Disney điều hành các khách sạn và vận chuyển mặt đất ở Florida, Hapag Lloyd, kinh
doanh dịch vụ hàng không, tàu biển du lịch, đại lý du lịch và T.O. ở Đức, và những
tổ chức như Thomson (Anh), Accor / Wagon - Lits / PLM và Câu lạc bộ Địa Trung
Hải (Pháp), All Nippon Airways (Nhật),… đã hội nhập mạnh mẽ trên hầu hết các
hoạt động kinh doanh du lịch. Nhiều hãng hàng không quốc tế và nội địa đặc biệt
3
Liên minh chiến lược: Hai hay nhiều công ty thỏa thuận hợp tác thông qua các hợp đồng dài hạn chỉ trong một lĩnh
vực nào đó (có thể là hệ thống đăng ký giữ chỗ chung, tiêu chuẩn chất lượng chung hay hợp tác R&D…) để chia sẻ rủi
ro, chi phí và lợi ích liên quan đến việc phát triển các cơ hội kinh doanh mới.
17

quan tâm đặc biệt đến các khách sạn như tập đoàn khách sạn Golden Tulip, Penta và
Nikko Hotels được sở hữu chủ yếu bởi các hãng hàng không.
5.3.2. ĐA DẠNG HÓA
Đa dạng hóa là quá trình xây dựng, mua lại, sáp nhập hay liên minh với các
doanh nghiệp không liên quan hoặc ít liên quan đến hoạt động kinh doanh hiện tại
của doanh nghiệp. Trong thực tiễn kinh doanh trên thế giới, chúng ta cũng có thể
thấy một điều khá thú vị về các lĩnh vực mà sự đa dạng hóa bước vào và bước ra khỏi
du lịch. Chúng ta sẽ tương đối hiếm gặp một doanh nghiệp kinh doanh hoàn toàn
trong du lịch thực hiện đa dạng hóa vào những ngành không du lịch. Lý do có thể là:
ít có doanh nghiệp du lịch đủ lớn, sẵn khối lượng lớn vốn nhàn rỗi, có cơ sở tài
sản lớn
trong khi những doanh nghiệp hoạt động trong du lịch không có sự thuận lợi
tài chính, họ lại luôn cho rằng du lịch có tỷ suất lợi nhuận cao hơn nhiều ngành
khác; vì vậy họ có xu hướng mở rộng hoạt động của công ty chỉ trong du lịch.
Ngược lại, chúng ta thường thấy quá trình đa dạng hóa vào trong du lịch của
các cơ quan nhà nước đến các doanh nghiệp từ tất cả các ngành khác, từ các công ty
thép đến Ban Quản lý rừng. Nguyên nhân là rào chắn thâm nhập ngành của du lịch
thường thấp (kể cả vốn đầu tư đòi hỏi của nhiều hoạt động du lịch khá thấp), nhận
thức về sự tăng trưởng của ngành, sự không có mặt của các công ty khống chế thị
trường du lịch và tính thời vụ, nhận thức (thường là sai) về sự thú vị và dễ dàng khi
kinh doanh du lịch, và đó là cơ hội để đầu tư vào bất động sản.
5.3.3. TẬP TRUNG HÓA
Kết quả của sự tăng trưởng của các doanh nghiệp riêng lẻ và sự hội nhập bên
trong du lịch là sự gia tăng của quá trình tập trung hóa, nghĩa là ngày càng ít các doanh
nghiệp du lịch cung cấp đa phần các sản phẩm du lịch hay nói khác đi sản phẩm du
lịch được cung ứng bởi số lượng ngày càng ít các doanh nghiệp du lịch. Chúng ta xem
xét điều này trong từng quốc gia, ở chương sau chúng ta sẽ xem xét đến vai trò của các
công ty đa quốc gia trong quá trình tập trung hóa trong du lịch thế giới.
Mức độ tập trung hóa của lĩnh vực nào trong tương lai của du lịch cũng phụ
thuộc vào hai nhân tố trái ngược nhau.
Thứ nhất, luôn có một lượng cầu của du khách muốn tìm đến những trải
nghiệm và sản phẩm du lịch mới, điều này dẫn đến sự phong phú và đa dạng các
doanh nghiệp du lịch và vì vậy làm cho quá trình tập trung hóa suy giảm.
Thứ hai, công nghệ (mà trong du lịch thường đòi hỏi lượng vốn lớn và vì vậy
đòi hỏi một thị trường lớn để khai thác có hiệu quả) kích thích quá trình hội nhập và
các doanh nghiệp du lịch quy mô lớn, đặc biệt trong ngành hàng không và những
18

dịch vụ không có sự tiếp xúc trực tiếp giữa nhân viên và khách hàng (marketing và
truyền thông du lịch, bảo hiểm du lịch,, thanh toán du lịch, T.O…. chẳng hạn). Trong
những ngành này, quá trình tập trung hóa diễn ra một cách mạnh mẽ.
Tập trung hóa có thể được đo lường bởi nhiều cách khác nhau. Một cách đơn
giản và thô sơ là đo lường một ít các doanh nghiệp lớn nhất của ngành chiếm tỷ lệ
bao nhiêu phần trăm các hoạt động của ngành. Bằng phương pháp này, bảng 5.2.
phản ánh mức độ tập trung hóa khác nhau ở 4 ngành chuyên môn hóa du lịch khác
nhau ở bốn quốc gia.
Rõ ràng ngành hàng không có mức độ tập trung hóa cao nhất ở cả 4 quốc gia.
Đó là do hiệu quả quy mô cao được hình thành từ đòi hỏi vốn và áp dụng tiến bộ
công nghệ cùng với hậu quả để lại từ sự điều tiết của chính phủ trong ngành này. Các
doanh nghiệp lớn trong hàng không và T.O. bao phủ gần hết thị trường 4 quốc gia
này trong khi diễn ra điều ngược lại ở ngành khách sạn và đại lý du lịch. Như đã nói
ở trên, khó có được hiệu quả quy mô ở hai ngành sau. Thêm vào đó là các khách sạn
riêng lẻ có một quá trình tồn tại lâu dài cùng với rào chắn thâm nhập và rời ngành
khá thấp. Các chuỗi khách sạn lớn như Choice ở Canada, Price ở Nhật, Fort ở Anh,
Accor ở Pháp chỉ chiếm 5 - 6% tổng số phòng của mỗi nước.
Bảng 5.2. Tỷ lệ % chiếm lĩnh trong của các doanh nghiệp lớn nhất trong các ngành chuyên
môn hóa du lịch năm 2004
Quốc gia T.O.
(% lượt
khách)
Đại lý du lịch
(% điểm giao
dịch)
Khách sạn
(% buồng
phòng)
Hàng không
(% lượt
khách)
Canada
3 DN lớn nhất 54 … 14 91
5 DN lớn nhất 76 … 21 99
Nhật Bản
3 DN lớn nhất 32 10 12 84
5 DN lớn nhất 40 13 15 91
Anh
3 DN lớn nhất 55 18 13 69
5 DN lớn nhất 63 28 15 78
Pháp
3 DN lớn nhất 52 23 … 91
5 DN lớn nhất 61 28 … 95
Nguồn: Các nguồn khác nhau từ các Tạp chí các chuyên ngành
Tuy chưa có dữ liệu về các lĩnh vực tham quan, giải trí và các ngành chuyên
môn hóa khác nhưng hẳn là mức độ tập trung hóa ở các ngành này khá thấp, phản
ánh sự phân tán và cơ hội hạn chế để có được hiệu quả quy mô trong du lịch.
19

5.4. MỘT SỐ TỔ CHỨC DU LỊCH VÀ HIỆP HỘI CÁC DOANH NGHIỆP DU
LỊCH
5.4.1. CÁC TỔ CHỨC THẾ GIỚI VÀ KHU VỰC
1. UNWTO (United Nations World Tourism Organisation)
2. IATA (International Air Transport Association)
3. ICAO (International Civil Aviation Organisation)
4. PATA (Pacific Asia Travel Association)
5.4.2. CÁC CƠ QUAN QUẢN LÝ NHÀ NƯỚC VÀ HIỆP HỘI DU LỊCH
VIỆT NAM
1. Chính phủ
2. Bộ Văn hóa - Thể thao - Du lịch
3. Tổng cục Du lịch thuộc Bộ Văn hóa - Thể thao - Du lịch
4. Ủy Ban Nhân dân tỉnh, thành
5. Sở Văn hóa - Thể thao - Du lịch (hoặc Sở Du lịch)
6. VITA - Hiệp hội du lịch Việt Nam (Vietnam Tourism Association)
20
Bấm Tải xuống để xem toàn bộ.