



















Preview text:
lOMoAR cPSD| 58950985
TRƯỜNG ĐẠI HỌC KINH TẾ QUỐC DÂN
BÀI TẬP HỌC PHẦN
QUẢN TRỊ CHUỖI CUNG ỨNG QUỐC TẾ
Đề tài: Chuỗi cung ứng toàn cầu của Toyota và vị thế của
doanh nghiệp này trong chuỗi cung ứng toàn cầu toàn ngành sản xuất ô tô lOMoAR cPSD| 58950985 MỤC LỤC
LỜI MỞ ĐẦU...................................................................................................................3
I.TỔNG QUAN VỀ CHUỖI CUNG ỨNG TOÀN CẦU CỦA NGÀNH Ô TÔ............4
1.1. Tổng quan về ngành công nghiệp ô tô.....................................................................4
1.2. Thực trạng về chuỗi cung ứng toàn cầu của ngành ô tô...........................................4
1.2.1. Đại dịch Covid-19............................................................................................4
1.2.2. Cuộc xung đột Nga - Ukraine...........................................................................5
1.2.3. Khủng hoảng năng lượng ở Trung Quốc..........................................................6
1.3. Phân tích các yếu tố ảnh hưởng đến chuỗi cung ứng toàn cầu ngành ô tô...............7
1.3.1. Nhóm nhân tố thị trường..................................................................................7
1.3.2. Nhóm nhân tố chi phí.......................................................................................9
1.3.3. Nhóm nhân tố chính phủ................................................................................11
1.3.4. Nhóm nhân tố cạnh tranh...............................................................................12
II. PHÂN TÍCH CHUỖI CUNG ỨNG TOÀN CẦU CỦA TOYOTA........................15
2.1. TỔNG QUAN VỀ TOYOTA................................................................................15
2.1.1. Quá trình hình thành và phát triển..................................................................15
2.1.2. Cơ cấu tổ chức............................................................................................16
2.2. MÔ HÌNH QUẢN TRỊ CHUỖI CUNG ỨNG CỦA TOYOTA............................17
2.2.1. Tổng quan về chuỗi cung ứng của Toyota......................................................18
2.2.2. Quy trình vận hành chuỗi cung ứng của Toyota.............................................22
III. ĐỊNH VỊ TOYOTA TRONG CHUỖI CUNG ỨNG TOÀN NGÀNH.................36
3.1. Nhà cung cấp.........................................................................................................36
3.2. Sản xuất.................................................................................................................37
3.3. Phân phối...............................................................................................................37 TỔNG
KẾT....................................................................................................................37 lOMoAR cPSD| 58950985 LỜI MỞ ĐẦU
Ngày nay, toàn cầu hóa đang diễn ra mạnh mẽ và trở thành xu hướng tất yếu không thể
đảo ngược trong quá trình phát triển của nền kinh tế thế giới.Trong xu thế mở cửa thị trường
và hội nhập kinh tế sâu rộng đấy, các đối thủ luôn phải đương đầu với sự cạnh tranh khốc
liệt của các đối thủ trong và ngoài ngành và để cạnh tranh thành công trong môi trường
kinh doanh đầy biến động như hiện nay, đòi hỏi các doanh nghiệp phải tham gia vào công
việc kinh doanh của nhà cung cấp cũng như khách hàng của họ bằng việc xây dựng riêng
cho mình một chuỗi cung ứng hoàn chỉnh. Phát triển chuỗi cung ứng hoàn chỉnh sẽ tạo nền
tảng cho doanh nghiệp tiết kiệm chi phí không cần thiết; nâng cao giá trị gia tăng cho sản
phẩm, tăng sức cạnh tranh của các sản phẩm với đối thủ. Ngoài ra, nó còn giúp cho nền
công nghiệp trong nước gia nhập chuỗi giá trị sản xuất toàn cầu, phát triển thị trường tiêu
thụ ra toàn thế giới. Điều này đòi hỏi doanh nghiệp phải quan tâm sâu sắc đến toàn bộ dòng
dịch chuyển nguyên vật liệu, cách thức thiết kế và đóng gói sản phẩm và dịch vụ của nhà
cung cấp, cách thức vận chuyển, bảo quản sản phẩm hoàn thiện và những điều mà người
tiêu dùng yêu cầu. Đặc biệt với ngành công nghiệp ô tô đang tăng trưởng như vũ bão hiện nay.
Vậy thì thực trạng của chuỗi cung ứng toàn cầu của ngành ô tô đang đi theo chiều
hướng nào và các doanh nghiệp trong ngành ô tô phải làm gì để xây dựng được chuỗi cung
ứng đáp ứng được những yêu cầu của thị trường, để đứng vững trong giai đoạn cạnh tranh
gay gắt như hiện nay. Xin mời cô và các bạn đồng hành cùng nhóm 1 nghiên cứu đề tài:
“Chuỗi cung ứng toàn cầu của Toyota và vị thế của doanh nghiệp này trong chuỗi cung ứng
toàn cầu toàn ngành sản xuất ô tô”. Từ đó tìm ra các ưu và nhược điểm, những thuận lợi và
khó khăn của hệ thống, hiểu rõ về mô hình, chiến lược Toyota đã và đang sử dụng để hoàn
thiện chuỗi cung ứng cho mình và đạt được vị thế như hiện tại.
Dù đã rất nỗ lực và cố gắng, nhưng do hạn chế về thời gian, nguồn tài liệu và kiến thức
còn hạn hẹp nên nội dung của đề tài không tránh khỏi thiếu sót, rất mong nhận được sự
đóng góp ý kiến của Cô và các nhóm còn lại trong lớp để bài tiểu luận được hoàn thiện hơn. Chân thành cảm ơn. lOMoAR cPSD| 58950985
I. TỔNG QUAN VỀ CHUỖI CUNG ỨNG TOÀN CẦU CỦA NGÀNH Ô TÔ
1.1. Tổng quan về ngành công nghiệp ô tô
Ngành công nghiệp ô tô bao gồm nhiều công ty và tổ chức tham gia vào việc thiết kế,
phát triển, sản xuất, tiếp thị và bán xe có động cơ. Đây là một trong những ngành công
nghiệp lớn nhất thế giới tính theo doanh thu (từ 16% như ở Pháp lên đến 40% ở các nước
như Slovakia). Đây cũng là ngành có mức chi tiêu cho nghiên cứu và phát triển cao nhất trên mỗi công ty.
Từ những chiếc xe đầu tiên chạy bằng hơi nước ở thế kỷ 18, đến nay làng ô tô thế giới
đã cho ra đời những chiếc xe động cơ điện sang trọng, hiện đại. Tuy Đức là đất nước đầu
tiên đưa ô tô vào sản xuất hàng loạt nhưng Mỹ mới là nơi chứng kiến công nghiệp xe hơi
lên ngôi. Trong bối cảnh ngành còn sơ khai, người dân đất nước cờ hoa chỉ hào hứng vào
những chiếc xe hơi xa hoa, đắt tiền mang thương hiệu Cadillac, Pascal thì xuất hiện một
nhân vật đi ngược xu hướng, đó là Henry Ford. Người sau này trở thành nhân vật tên tuổi
nhất nền công nghiệp xe hơi Mỹ.
Cùng với châu Âu và châu Mỹ, tại châu Á cũng có một đất nước nổi lên là Nhật Bản.
Chiếc xe đầu tiên của Nhật Bản có tên Takkuri, do Uchiyama Komanosuke, kỹ sư ô tô đầu
tiên của xứ mặt trời mọc sản xuất vào năm 1907. Tuy nhiên, số lượng ít, giá thành cao
khiến xe Nhật không thể cạnh tranh được với xe nhập từ Mỹ.
Trong suốt chiến tranh thế giới thứ hai, Nhật chỉ sản xuất ô tô phục vụ cho chiến tranh.
Từ năm 1952, sự phát triển mới bắt đầu trở lại. Nhật Bản vươn lên mạnh mẽ với các hãng
xe hàng đầu thế giới như Toyota, Honda, Nissan xuất khẩu. Sở dĩ xe Nhật được ưa chuộng
rộng khắp bởi nhỏ gọn, ít tốn nhiên liệu, giá cả hợp lý và đặc biệt bền, ít trục trặc.
Đến thời điểm hiện nay, châu Á vẫn là nơi sản xuất nhiều ôtô trên thế giới nhất với sự
nổi lên của Hàn Quốc, Trung Quốc, Đài Loan... Đây cũng là thị trường hấp dẫn với bất cứ
hãng xe nào trên thế giới bởi kinh tế đang trên đà phát triển nóng, dân số đông và lượng xe chưa đạt mức bão hòa.
1.2. Thực trạng về chuỗi cung ứng toàn cầu của ngành ô tô
Một số khó khăn chủ yếu mà các nhà sản xuất ô tô gặp phải đến từ những thực trạng
chung của thế giới có thể kể đến như: lOMoAR cPSD| 58950985
1.2.1. Đại dịch Covid-19
Trong thời gian gần đây, ngành công nghiệp ô tô thế giới phải hứng chịu nhiều tác động
tiêu cực trong đại dịch COVID-19.
Dưới tác động kéo dài của đại dịch Covid-19, các doanh nghiệp ô tô trên toàn cầu đang
đối diện với một loạt khó khăn liên quan đến việc sản xuất và phân phối. a, Thiếu lao động
Khi tình hình đại dịch Covid-19 đang diễn biến phức tạp trên thế giới, 47% tổng số
công ty hoạt động trong ngành cho biết đại dịch đã làm gián đoạn lực lượng lao động, trong
khi nhiều nhân viên được yêu cầu làm việc tại nhà, những người khác - đặc biệt là trong
môi trường nhà máy - phải thích ứng với các yêu cầu mới về khoảng cách vật lý, truy vết
tiếp xúc và phải sử dụng nhiều thiết bị bảo vệ cá nhân hơn. Các công ty ô tô trên thế giới
đang gia tăng không gian làm việc giữa các nhân viên tại nhà máy, điều này sẽ tác động
đến việc thay đổi quy trình sản xuất và dẫn đến năng lực sản xuất hàng ngày trở nên thấp
hơn. Bên cạnh những thay đổi này, để tránh lây nhiễm quy mô lớn, một loạt các biện pháp
phòng ngừa nhằm hạn chế sự lây lan của COVID-19 đã được các chính phủ áp dụng, bao
gồm hạn chế đi lại, đóng cửa tạm thời các nhà máy và cửa hàng, phong tỏa các khu dân cư
cộng với việc cho phép nhân viên làm việc tại nhà, tạo nên những thách thức lớn cho các
công ty trong việc đáp ứng nhu cầu sản xuất ô tô trên toàn cầu.
b, Hạn chế trong vận chuyển:
Trong năm qua, việc đứt gãy chuỗi cung ứng trên toàn cầu đã diễn ra do sự lan rộng
của Covid. Điều này buộc nhiều quốc gia phải đóng cửa biên giới, đóng cửa nơi làm việc
hoặc hạn chế sản xuất, xuất khẩu. Các biến thể mới dễ lây lan hơn làm dấy lên những lo
lắng, các trung tâm sản xuất linh kiện lớn ra lệnh phong tỏa nhằm hạn chế sự gia tăng các
trường hợp Covid. Sự gián đoạn nghiêm trọng trong dịch vụ hậu cần trong và ngoài nước
và từ Trung Quốc dẫn đến thiếu hụt nghiêm trọng của các kênh vận chuyển. Khi các nhà
sản xuất ô tô cố gắng mở lại các nhà máy và xưởng sản xuất phụ tùng, nhiều nhà cung ứng
không có lựa chọn nào khác ngoài việc chuyển sang vận chuyển linh phụ kiện bằng đường
hàng không tốn kém, thay vì tàu biển, để nhanh chóng hoàn tất sản phẩm gửi đến khách hàng.
Mặc dù Covid đã không còn nguy hiểm như thời điểm từ 1 cho đến 2 năm trước, tuy
nhiên những khó khăn này vẫn để lại rất nhiều hậu quả tiêu cực đến các nhà sản xuất ô tô
trên thế giới. Những hậu quả có thể kể đến như: làm quy trình sản xuất bị thu hẹp, hoạt lOMoAR cPSD| 58950985
động giao hàng giảm tiến độ, và chi phí người tiêu dùng bỏ ra để sở hữu xe tăng, vượt ngoài
tầm với của hàng triệu người tiêu dùng và cho đến bây giờ vẫn chưa thể khắc phục được
như thời điểm trước khi đại dịch diễn ra.
1.2.2. Cuộc xung đột Nga - Ukraine
Những khó khăn của ngành ô tô thậm chí còn đang trở nên trầm trọng hơn do tác động
của cuộc xung đột Nga - Ukraine. Nhiều chuyên gia nhận định, căng thẳng Nga - Ukraine
đang làm xáo trộn các chuỗi cung ứng toàn cầu vốn đã rất mong manh sau “cú đánh” của đại dịch Covid-19.
Theo thống kê sản lượng ô tô thị trường châu Âu bị sụt giảm mạnh một phần là do
nguyên nhật trực tiếp đến từ sản xuất tại Nga và Ukraine, mặc dù 2 nước này chỉ đóng góp
vào một phần nhỏ doanh thu tiêu thụ ô tô toàn cầu.
a, Thiếu linh kiện
Một lượng lớn hợp chất palladium và platinum cung cấp cho thế giới đến từ 2 quốc gia
Ukraine và Nga. Các hợp chất này được sử dụng trong bộ chuyển đổi xúc tác của động cơ,
cũng như nhôm, thép và chrome. Sự thiếu hụt một số nguyên liệu quan trọng như palladium
và xenon, được sử dụng trong sản xuất chất bán dẫn và ô tô, có thể làm tăng thêm các khó
khăn mà những ngành công nghiệp này đang phải đối mặt. Tình trạng thiếu hụt chất bán
dẫn khiến nhiều nhà sản xuất ô tô và một số cơ sở sản xuất khác buộc phải dừng hoạt động,
thúc đẩy tình trạng tăng giá hàng hóa và ảnh hưởng đến doanh số bán hàng. Dẫn chứng là
những sản phẩm linh kiện dây điện mà các nhà sản xuất ở Ukraine cung cấp cho các hãng
xe Đức được sản xuất riêng cho từng mẫu và khó tìm được nguồn cung thay thế dễ dàng
và giá rẻ từ các quốc gia khác. Việc thiếu hụt linh kiện cũng dẫn đến giá linh kiện liên tục
tăng cao, làm cho các nhà máy không thể tiếp tục sản xuất một cách ổn định và đúng tiến độ.
b, Hạn chế vận chuyển
Một số các quốc gia đã ra lệnh cấm vận và trừng phạt kinh tế đối với Nga, cụ thể là
việc tạm dừng hoạt động vận tải qua đường hàng không, đường thủy và đường bộ đi qua
Nga. Điều này làm “tổn thương” nghiêm trọng các nhà sản xuất ô tô, nặng nề nhất là các
hãng ô tô của Châu Âu. Đối phó với tình hình căng thẳng này buộc các hãng ô tô như KIA,
Hyundai… thay đổi những chính sách để đáp ứng và duy trì doanh thu. Các nhà phân phối
tại Nga cũng phản ánh rằng, các đơn hàng nhập khẩu của họ đã được vận chuyển tới kho
hàng ở Nga tuy nhiên nhà sản xuất từ chối giao hàng cho họ. Hành động này của nhà sản lOMoAR cPSD| 58950985
xuất đáp ứng lệnh cấm vận toàn cầu đối với Nga. Vô hình chung lại ảnh hưởng trực tiếp
đến ngành ô tô tại Nga nói riêng và các hãng ô tô nói chung.
1.2.3. Khủng hoảng năng lượng ở Trung Quốc
Khủng hoảng thiếu hụt điện ở Trung Quốc cũng góp phần gián đoạn chuỗi cung ứng
ngành ô tô toàn cầu. Khi một quốc gia xuất khẩu lớn nhất thế giới như Trung Quốc gặp
phải tình trạng mất điện có thể tác động trực tiếp lên chuỗi cung ứng toàn cầu đang phải
chật vật hồi sinh sau dịch bệnh. a, Thiếu linh kiện
Mặt hạn chế của các hãng xe đến từ việc phụ thuộc quá nhiều vào nguồn linh kiện của
Trung Quốc. Hạn chế sử dụng điện do hạn hán khiến cho hoạt động sản xuất của các ngành
công nghiệp lớn trong đó có bán dẫn rơi vào trạng thái báo động. Thị trường lo ngại nguồn
cung bán dẫn sẽ bị tác động mạnh nếu tình hình không được cải thiện. Việc mất điện ở
Trung Quốc khiến cho các nhà máy sản xuất linh kiện giảm số lượng đơn hàng xuất khẩu,
thay đổi lịch trình vận chuyển. Không chỉ vậy các nhà sản xuất ô tô nội địa cũng gặp phải
vấn đề lớn khi buộc phải dừng hoạt động. Khủng hoảng điện ở Trung Quốc gặp đúng thời
điểm khi mà các hãng đang phải đối mặt với tình hình tắc nghẽn trong việc vận chuyển
hàng hóa đến nhà phân phối, điều này làm cho hàng hóa tăng giá cao hơn. Toyota,
Volkswagen và Tesla đều đã bị chính quyền ở một số tỉnh đặt nhà máy buộc phải đình chỉ
hoặc cắt giảm hoạt động sản xuất của các nhà máy trong một khoảng thời gian nhất định,
do các biện pháp phong tỏa hoặc tình trạng hỗn loạn nguồn cung.
1.3. Phân tích các yếu tố ảnh hưởng đến chuỗi cung ứng toàn cầu ngành ô tô
1.3.1. Nhóm nhân tố thị trường
a, Phong cách tiêu dùng và mức độ hiểu biết của khách hàng
Ngày nay, ô nhiễm môi trường đang diễn ra mạnh mẽ. Người tiêu dùng nói chung và
người tiêu dùng của ngành ô tô nói riêng cũng đang hướng đến những sản phẩm an toàn và
bảo vệ môi trường hơn. Theo kết quả nghiên cứu của Deloitte Toàn cầu về người tiêu dùng
ô tô cho biết có hơn 90% người tiêu dùng ở Đông Nam Á mua ô tô dựa vào công nghệ an
toàn. Hay ở các Quốc gia Châu Âu và Châu Mĩ người tiêu dùng đang có nhu cầu rất lớn về
xe điện bởi những chính sách ưu đãi và trợ cấp từ chính phủ cho ngành sản xuất này. Ngoài
những điều kiện mà chính phủ cũng như doanh nghiệp sản xuất đem lại thì xu hướng tiêu
dùng xanh vẫn đang chi phối lớn hành vi của người tiêu dùng. Có thể thấy rằng, người tiêu
dùng đang ngày càng trở nên khắt khe và quan tâm đến môi trường hơn. Đó chính là động lOMoAR cPSD| 58950985
lực để thôi thúc họ tìm hiểu kỹ càng hơn khi tiến hành tiêu dùng sản phẩm bởi nó là một
trong những phương tiện không thể thiết và được sử dụng thường xuyên. Với mức độ hiểu
biết ngày càng cao của khách hàng như vậy đã ảnh hưởng rất lớn đến chuỗi cung ứng toàn
cầu của các doanh nghiệp sản xuất ô tô. Nó gây nên một áp lực lớn về vấn kiểm soát các
yếu tố đầu vào, đổi mới công nghệ và đầu ra là các ô tô hoàn chỉnh phải ngày càng hiện đại
hơn, tiết kiệm nhiên liệu hơn và thân thiện với môi trường hơn. b, Gia tăng dân số
Với tốc độ gia tăng dân số như hiện nay đã làm tăng nhu cầu về phương tiện đi lại và
ô tô là một trong số đó, dẫn đến các doanh nghiệp tiến hành mở rộng thị trường đến nhiều
quốc gia trên thế giới hơn và kéo theo các trung tâm phân phối và sản xuất đến các quốc
gia đó. Cùng với đó là những nhu cầu của khách hành ngày trở nên đa dạng. Dẫn đến các
doanh nghiệp phải quản lý một mạng lưới sản xuất và phân phối rộng khắp trên toàn cầu.
Nhu cầu của mỗi quốc gia và mỗi khu vực là không giống nhau. Với mỗi quốc gia lại cần
phải có những chiến lược phát triển sản phẩm riêng phù hợp với văn hóa tiêu dùng tại đó
đã làm tăng thêm sự khó khăn trong công tác quản lý doanh nghiệp.
c, Thương mại điện tử toàn cầu
Thương mại điện tử đang trở nên rất phổ biến, xu hướng tiêu dùng vượt qua biên giới
không còn mấy xa lạ với người tiêu dùng ngày nay. Thương mại điện tử phát triển kéo theo
sự phát triển của các dịch vụ hậu cần khác và hoạt động logistic là một điển hình. Đối với
ngành ô tô, để mang lại lợi thế cạnh tranh lớn trong ngành thì hoạt động chăm sóc khách
hàng và dịch vụ hậu mãi là một trong những chiến lược quan trọng. Trong quá trình mua
sản phẩm nhu cầu gia tăng giá trị cho chuỗi cung ứng bằng cách đưa hàng hóa tới địa điểm
của khách hàng đã dẫn đến số lượng hàng hóa bị trả lại tăng lên. Khi người tiêu dùng gặp
vấn đề về sản phẩm, doanh nghiệp cần tiếp nhận thông tin nhanh chóng và giải quyết kịp
thời. Để làm được điều đó thì hoạt động của dòng luân chuyển hàng hóa xuôi và ngược
phải gánh vác một áp lực rất lớn khi tiến hành giải quyết quyết quá trình cung cấp các linh
kiện để bảo hành, sửa chữa hay thậm chí là hoạt động trả lại hàng của người tiêu dùng.
Ngoài ra, thương mại điện tử toàn cầu phát triển dẫn đến các sản phẩm phải cung cấp thông
tin chi tiết và từ đó khách hàng có thể so sánh một cách chi tiết các sản phẩm của các hãng
với nhau. Dẫn đến một áp lực vô hình lớn cho doanh nghiệp khi phải luôn luôn tối ưu và
cắt giảm các giai đoạn không cần thiết để giảm thiểu chi phí và tăng tính cạnh tranh cho sản phẩm. lOMoAR cPSD| 58950985
d, Cơ sở hạ tầng
Tại thị trường các nước phát triển và một số nước đang phát triển nhanh có thể thấy cơ
sở hạ tầng giao thông phát triển và có hiệu quả cao. Nhờ đó mà hoạt động logistic của
doanh nghiệp hoạt động khá trơn chu và phát triển, nó giúp đáp ứng các nhu cầu sản xuất,
phân phối, vận chuyển nguyên vật liệu và lưu trữ hàng hóa của doanh nghiệp. Từ đó, giúp
cho doanh nghiệp giảm thiểu được đáng kể chi phí. Ngoài ra tại một số quốc gia có cơ sở
hạ tầng chưa phát triển thì đây lại là một vấn đề lớn mà doanh nghiệp đang phải đối mặt.
Nhu cầu về sử dụng phương tiện đi lại có giá trị cao tại những thị trường này cũng không
lớn do thu nhập bình quân đầu người thấp và một phần có thể do hệ thống đường xá cầu
cống chưa phát triển dẫn tới khi tham gia giao thông thường gặp phải các vấn nạn như tắc
đường và tai nạn… Những nguyên nhân này đã gây nên áp lực lớn cho doanh nghiệp trong
công đoạn vận chuyển hay tiến hành phân phối sản phẩm tại thị trường này. e, Đối thủ cạnh tranh
Đối với ngành ô tô nói chung, hầu hết tất cả các công ty đa quốc gia tham gia vào thị
trường này đều là những công ty lớn và có tiềm lực tài chính hùng hậu, vì vậy các công ty
này luôn phải chuẩn bị kĩ lưỡng nếu muốn cạnh tranh được với đối thủ của mình ở trong
thị trường. Việc này có thể bắt đầu từ việc kiểm soát chất lượng từ khâu đầu vào như nhập
phụ kiện từ các đối tác để đảm bảo chất lượng. Trong quá trình sản xuất phải đảm bảo độ
chính xác và mức độ an toàn lao động hay trong hoạt động phân phối phải có những chính
sách đáp ứng được nhu cầu của khách hàng. Nếu doanh nghiệp không thể thực hiện tốt các
công đoạn trên thì sự chấp nhận của thị trường gần như bằng 0 và dẫn đến doanh nghiệp sẽ
thất bại trên thị trường đó. Tuy nhiên, trong bối cảnh hiện nay các doanh nghiệp thực hiện
hoạt động ‘thuê ngoài’ là chủ yếu và chỉ đảm nhiệm một phần nhỏ cùng với đó là tiến hành
kiểm soát chặt chẽ chất lượng từ các đối tác khác cung cấp. Nhờ đó áp lực cho chuỗi cung
ứng cũng được phần nào giảm bớt. f, Truyền thông
Những phương tiện truyền thông và chiến dịch quảng cáo ảnh hưởng rất lớn đến kết
quả bán hàng của doanh nghiệp, đặc biệt là với các sản phẩm có giá trị cao như ô tô. Để
đạt được hiệu quả cao thì cần phải có một sự hiểu biết rất lớn đến văn hóa của các quốc gia
khác nhau. Chiến dịch đó có thể phù hợp với nước này nhưng có thể sẽ không phù hợp với
nước khác bởi sự đa dạng về văn hóa của từng khu vực. Đối với các nước tham gia giao
thông bằng tay trái thì hoạt động lắp ráp và sản xuất đã phải thay đổi vị trí của vô lăng ô lOMoAR cPSD| 58950985
tô. Nghe thì có vẻ là dễ dàng nhưng hoạt động này không hề dễ chút nào khi phải thay đổi
lại cơ cấu của chiếc xe. Hay tại Việt Nam những hoạt động truyền thông trái với thuần
phong mỹ tục cũng sẽ bị dư luận lên án và không chấp nhận tiêu dùng sản phẩm đó. Từ đó
có thể thấy hoạt động truyền thông đóng vai trò quan trọng trong việc doanh nghiệp tiếp
cận thị trường dẫn đến quá trình Marketing quốc tế cần được chuẩn bị kỹ càng và thận trọng.
1.3.2. Nhóm nhân tố chi phí
a, Tính kinh tế theo quy mô
Kinh tế quy mô chính là lợi thế chi phí mà các doanh nghiệp có được nhờ vào quy mô
doanh nghiệp, quy mô sản xuất hoặc quy mô hoạt động, với chi phí trên mỗi đơn vị đầu ra
thường giảm đi với quy mô ngày càng tăng khi chi phí cố định được chia đều trên mỗi đơn
vị đầu ra. Có rất nhiều công ty toàn cầu theo đuổi điều này, đặc biệt là những doanh nghiệp
trong lĩnh vực sản xuất ô tô.
Chúng ta có thể thấy khi tăng sản lượng từ Q lên Q2 thì chi phí giảm tử C xuống C1.
Tuy nhiên, với bối cảnh hiện nay các doanh nghiệp có thể sản xuất khó có thể đạt được
điểm sản xuất với sản lượng tối ưu là Q2 hoặc có thể sản xuất quá mức sản lượng tối ưu.
Các công ty hoạt động trong lĩnh vực sản xuất ô tô sẽ thường lựa chọn việc thuê ngoài để
tiến đến sản lượng tối ưu cần tìm kiếm các đối tác lớn nhằm tận dụng được quy mô sản
xuất của đối tác và tinh giảm chi phí. b, Đổi mới và sáng tạo công nghệ
Đổi mới và sáng tạo công nghệ là một công việc chiến lược nếu các tập đoàn toàn cầu
muốn phát triển rộng rãi trong thời đại hiện nay, đối với cả các tập đoàn về công nghệ và lOMoAR cPSD| 58950985
sản xuất phụ kiện, trong đó đặc biệt quan trọng đối với ngành công nghiệp ô tô. Tuy nhiên,
chi phí cho quá trình này lại tương đối lớn, gây khó khăn cho nhiều doanh nghiệp. Cũng
giống như việc thông qua định vị mạng lưới sản xuất toàn cầu để giảm thiểu chi phí sản
xuất, các hãng ô tô cũng tạo thuận lợi cho việc phát triển, đổi mới và sáng tạo công nghệ
bằng việc định vị mạng lưới R&D của mình.
c, Các nước công nghiệp mới
Các nước công nghiệp mới thường nhận được vốn đầu tư từ các nước phát triển. Nguồn
vốn được thu hút bởi chi phí lao động thấp, đất đai, hoặc các yếu tố đầu vào khác của những
nước này mang lại. Bởi các nước công nghiệp mới thường trải qua tốc độ tăng trưởng năng
suất và công nghiệp hóa. Chính phủ của các quốc gia công nghiệp mới có xu hướng kiểm
soát quá trình công nghiệp hóa của họ và khuyến khích các ngành sản xuất và xuất khẩu.
Lợi nhuận tạo ra thông qua xuất khẩu thường được tái đầu tư vào nền kinh tế trong nước.
Mang lại những lợi ích to lớn về kinh tế xã hội, bao gồm tăng trưởng doanh nghiệp từ đó
dẫn đến tăng tiền lương, tiền công, nâng cao mức sống người dân, cải thiện về cơ sở hạ
tầng, giáo dục, y tế và nhiều lĩnh vực khác. Từ đó dẫn đến người dân khuyến khích chi tiêu
của người tiêu dùng các sản phẩm từ chính những công ty đầu tư. Ngoài ra, các hãng ô tô
có thể nhìn thấy cơ hội trong sự ổn định của các nước công nghiệp mới những cơ hội có
thể dẫn đến việc các công ty phải thuê ngoài thêm các cơ sở tại những quốc gia này. Những
sự dịch chuyển chuỗi cung ứng có thể làm giảm đáng kể chi phí lao động cho các hãng với
rủi ro thấp hơn so với việc thuê ngoài tại các quốc gia kém ổn định cả về mặt kinh tế và chính trị.
d, Sự khan hiếm về nguồn lực
Sự khan hiếm về nguồn lực có thể được hiểu là tình trạng hàng hóa, dịch vụ và những
yếu tố đầu vào không đủ so với mong muốn sản xuất hay nhu cầu. Nguồn lực khan hiếm
vì số lượng nguồn lực sử dụng để sản xuất ra hàng hóa và dịch vụ là có hạn và có thể bị
cạn kiệt. Đặc biệt là sự cạn kiệt về tài nguyên thiên nhiên. Trong khi nhu cầu về hàng hóa
và dịch vụ là vô hạn, ngày càng gia tăng, đa dạng, nhất là nhu cầu về hàng hóa dịch vụ có
chất lượng cao. Chẳng hạn, nhu cầu về phương tiện đi lại của con người từ xe đạp đến xe
máy, ô tô và máy bay. Với những nguy cơ đó dẫn đến chi phí sản xuất tăng lên buộc các
hãng xe phải thay đổi chiến lược kinh doanh của mình bằng cách phát triển các sản phẩm
chạy bằng điện. Thậm chí một số hãng xe đã chuyển cơ sở sản xuất của mình đến những
quốc gia có nhiều tài nguyên thiên nhiên để có thể tận dụng ngay nguồn vật liệu đầu vào
giá rẻ nhằm hạ giá thành sản phẩm tăng tính cạnh tranh trong ngành. lOMoAR cPSD| 58950985
e, Thích nghi với điều kiện địa phương
Có thể thấy trong quá trình kinh doanh quốc tế đã bị chi phối và ảnh hưởng rất nhiều
bởi yếu tố văn hóa. Thành công của các công ty đa quốc gia đều bị ảnh hưởng mạnh mẽ
bởi yếu tố thái độ, cảm xúc và quan niệm… Ở môi trường địa phương, văn hóa và điều
kiện địa phương tác động đến các trao đổi giữa các cá nhân với nhau và giữa các cá nhân
và tổ chức dẫn đến việc vận hành chuỗi cung ứng như việc thực hiện các chiến dịch
Marketing và bán hàng. Các nhà quản lý khi thiết kế sản phẩm phải chú ý đến văn hóa kể
cả vấn đề về màu sắc cũng rất được coi trọng. Sự khác nhau về giá trị, thái độ của các nhà
quản lý địa phương và các nhà quản lý ở nước ngoài ở các chi nhánh, các nhà quản lý nước
ngoài và người lao động địa phương có thể dẫn đến những vấn đề nghiêm trọng trong việc
vận hành và thực hiện các chức năng của hoạt động kinh doanh quốc tế của các hãng xe.
Những vấn đề này nảy sinh không phải từ cá nhân và xuất phát từ điều kiện địa phương.
Nó đã tạo ra các khuôn mẫu về thái độ đối với các khía cạnh cơ bản của cuộc sống như thời
gian, tiền bạc, năng suất và thành quả hay thậm chí là tỷ lệ tham nhũng. Tất cả những yếu
tố đó đều rất khác nhau ở các quốc gia và có thể dẫn tới những kỳ vọng khác nhau giữa
những nhà quản lý. Bởi họ cần kiểm soát chặt chẽ và chấp nhận những quy tắc ngầm dẫn
đến việc để bán được xe thì phải trải qua nhiều thủ tục giấy tờ và chính những hoạt động
bôi trơn đó chiếm một tỷ lệ lớn trong việc hình thành chi phí sản phẩm.
1.3.3. Nhóm nhân tố chính phủ
a, Chính sách và các quy định
Những chính sách và quy định của chính phủ đều có tác động hai mặt đến các doanh
nghiệp toàn cầu. Ví dụ, một xu hướng mới của chính phủ thực hiện các quy định buộc các
doanh nghiệp thực hiện chuỗi cung ứng xanh. Hiện nay để khuyến khích cho sự phát triển
của đất nước. Việt Nam đã có rất nhiều những chính sách ưu đãi cho các doanh nghiệp toàn
cầu. Toyota là một trong những ví dụ điển hình, để khuyến khích Toyota đầu tư nhà máy
sản xuất ở Vĩnh Phúc. Nước ta đã miễn thuế thu nhập doanh nghiệp trong một thời gian
nhất định và cùng với một số ưu đãi khác. Từ đó làm cho các doanh nghiệp muốn tận dụng
những lợi thế như nước ta đem lại thì phải tiến hành đầu tư và mở rộng chuỗi cung ứng của
mình đến những quốc gia có những chính sách và quy định có lợi cho họ. Tuy nhiên, từ
những chính sách của chính phủ cũng có thể làm cho doanh nghiệp rời bỏ bởi những quy
định khắt khe nhằm bảo hộ ngành sản xuất trong nước. Một áp lực lớn mà các doanh nghiệp
toàn cầu phải gánh chịu là chuỗi cung ứng toàn cầu của họ không được ổn định. lOMoAR cPSD| 58950985
d, Chi tiêu chính phủ
Trong các quốc gia phát triển thì hoạt động chi tiêu chính phủ cho cơ sở hạ tầng là rất
lớn. Khi đó, hệ thống giao thông mở rộng đã tạo điều kiện thuận lợi cho hoạt động vận
chuyển hàng hóa và hoạt động logistics phát triển mạnh mẽ làm cho doanh nghiệp có thể
giảm thiểu chi phí từ đó giá thành sản phẩm giảm xuống và làm tăng tính cạnh tranh trong
ngành. Ngoài ra, chính phủ còn là một người tiêu dùng lớn mà các doanh nghiệp quan tâm
do hoạt động chi tiêu cho dịch vụ công là lớn và chiếm một tỷ lệ phần trăm cao trong ngân
sách nhà nước. Có thể thấy rằng ô tô như là một phương tiện đi lại thiết yếu và quan trọng
trong quá trình công tác cũng như là phương tiện cho cảnh sát giao thông thực hiện nghiệp
vụ. Đây có thể xem là một tiềm năng lớn mà các hãng ô tô muốn tận dụng.
f, Các yêu cầu về phát triển bền vững
Ngày nay, biến đổi khí hậu ngày càng được nhiều quốc gia quan tâm và trở thành vấn
đề toàn cầu đòi hỏi sự hợp tác chặt chẽ để cùng nhau giải quyết. Các hiệp định về phát thải
đang ngày càng được ký kết nhiều hơn làm cho các quốc gia đã ban hành các chính sách
chặt chẽ đối với hoạt động sản xuất kinh doanh. Hoạt động vận chuyển hàng hóa ngày càng
khó khăn khi các quy định ngặt nghèo về phương tiện và tỷ lệ phát thải ra môi trường hay
thậm chí trong hoạt động sản xuất nguồn nước thải phải được kiểm soát chặt chẽ và xử lý
chặt chẽ. Hiện tại những quy định này đã gây trở ngại cho các hãng ô tô rất nhiều trong quá
trình sản xuất. Rất nhiều vụ việc mà các doanh nghiệp ô tô đã phải thu hồi sản phẩm của
mình và bồi thường cho khách hàng. Những yêu cầu về phát triển hiện nay đã gián tiếp làm
thay đổi thái độ của người tiêu dùng. Có những doanh nghiệp đã và đang phát triển sản
phẩm mới của mình theo xu hướng sử dụng năng lượng xanh như xe ô tô chạy bằng điện
và hiện tượng này đang ngày càng gia tăng trên toàn cầu. Một sức ép vô hình đè nặng lên
bộ phận phát triển sản phẩm và các trung tâm phân phối toàn cầu. Hiện nay ngay ở cả Việt
Nam, xe ô tô điện đang dần xuất hiện nhiều hơn và chiếm lĩnh một thị phần nhất định, và
nhiều nhất có thể kể đến các mẫu ô tô điện của Vinfast ví dụ như VF e34, VF8, VF9,...
g, Khu vực liên kết thương mại
Xu hướng tự do hóa thương mại đang ngày càng phát triển bởi những lợi ích của nó.
Không có một quốc gia nào muốn phát triển mà không tiến hành mở cửa nền kinh tế của
mình. Các liên kết khu vực ngày càng được mở rộng, các hiệp định thương mại tự do thế
hệ mới ngày càng được ký kết nhiều hơn. Quá trình đó đã tạo nên sự ưu đãi lớn cho những
quốc gia thành viên. Các công ty đa quốc gia đã nhìn nhận thấy những cơ hội đó, tận dụng
sự ưu đãi từ chính phủ thúc đẩy thu hút vốn đầu tư nước ngoài và một cơ hội tiềm năng từ lOMoAR cPSD| 58950985
việc có thể xuất khẩu các sản phẩm với sự ưu đãi từ thuế quan từ các nước sở tại đem lại.
Vì vậy khi mở rộng thị trường ra các quốc gia thuộc cùng một khu vực liên kết thương mại
sẽ đem đến cho các công ty đa quốc gia hoạt động trong ngành sản xuất ô tô đạt được nhiều
thuận lợi. Tuy nhiên, khi tham gia vào nhiều hiệp định thương mại song phương và đa
phương thì những yêu cầu về phát triển sản phẩm bền vững và tỷ lệ phần trăm đóng góp
của quốc gia đó so với giá trị sản phẩm hay còn gọi là nguồn gốc xuất xứ đã được quan
tâm nhiều hơn. 1.3.4. Nhóm nhân tố cạnh tranh a, Các sân chơi cạnh tranh
Cuộc chiến tranh thương mại giữa Mỹ và Trung Quốc từng bước đẩy lùi đà tăng trưởng
kinh tế toàn cầu, qua đó đã tác động trực tiếp lên ngành sản xuất, kinh doanh ô tô. Theo
CNN Business, kể từ giữa năm 2018 đến nay, doanh số bán ô tô toàn cầu bắt đầu bước vào
giai đoạn “lao dốc không phanh”. Theo các chuyên gia phân tích của Fitch Ratings - trang
xếp hạng tín nhiệm trên toàn cầu, doanh số bán ô tô toàn cầu trong năm 2019 dừng lại ở
mức 77,5 triệu xe, giảm khoảng 4% so với năm 2018. Đây là năm thứ 2 liên tiếp doanh số
bán ô tô toàn cầu sụt giảm. Trước đó, vào năm 2017 đã có 81,8 triệu xe ô tô mới bán ra trên
toàn thế giới và đến năm 2018 giảm còn 80,6 triệu xe.
Nguyên nhân khiến nhu cầu sắm ô tô toàn cầu trở nên ảm đảm như vậy là do sự sụt
giảm tại Trung Quốc và Mỹ - hai thị trường ô tô lớn nhất thế giới. Theo báo cáo bán hàng
của Hiệp hội Xe hơi Trung Quốc (CPCA) cho thấy, trong 10 tháng năm 2019, doanh số bán
ô tô tại thị trường này đã giảm 11% so với cùng kỳ năm 2018. Giới phân tích cho rằng, sở
dĩ thị trường ô tô Trung Quốc bị chững lại trước hết là do những căng thẳng của cuộc chiến
thương mại Mỹ - Trung đã khiến một số người thận trọng hoãn lại dự án mua xe. Tiếp đến,
Bắc Kinh đã siết lại các khoản trợ cấp khuyến khích người tiêu dùng mua xe điện, thậm
chí còn dự trù bỏ hẳn khoản hỗ trợ này.
Tại Mỹ - thị trường ô tô lớn thứ 2 thế giới, tình hình cũng không mấy khả quan khi
người tiêu dùng ngày càng tỏ ra ngần ngại với việc chi tiền để sắm ô tô mới. Các hãng xe
hơi lớn như General Motors (GM), Ford và Honda tại thị trường Mỹ đều đã phải cắt giảm
sản lượng xe do thị trường yếu đi. Trước thực trạng này, Fitch Ratings dự báo doanh số bán
ô tô tại Mỹ chỉ đạt khoảng 16,9 triệu xe khi năm 2019 khép lại, giảm khoảng 2% so với năm 2018.
Trong khi đó, tại châu Âu, ngành ô tô Đức cũng đang đứng bên bờ vực suy thoái. Cuối
năm 2019, Audi - một trong những hãng xe sang của Đức đã tuyên bố sẽ cắt giảm 7.500 lao động. lOMoAR cPSD| 58950985
Tại các thị trường khác như Nga, Brazil và các quốc gia thuộc khu vực Tây Âu… doanh
số bán ô tô của nhiều hãng xe cũng sụt giảm. Ngay cả Ấn Độ - thị trường ô tô vốn được
xem là mảnh đất màu mỡ đối với các hãng ô tô phổ thông, tình hình kinh doanh trong năm
2019 cũng không mấy khả quan. Chỉ riêng trong 7 tháng đầu năm 2019, tiêu thụ ô tô tại
Ấn Độ đã giảm tới 31% so với cùng kỳ năm 2018.
Trước thực trạng của ngành ô tô toàn cầu, có rất ít lý do để hy vọng vào sự phục hồi
của thị trường ô tô toàn cầu vào năm 2022 khi cuộc xung đột giữa Nga - Ukraine gần đây
làm tình hình chính trị trên thế giới ngày càng căng thẳng và chiến tranh thương mại Mỹ
Trung cũng chưa có dấu hiệu hạ nhiệt, ngay cả khi doanh số bán hàng tại những thị trường
lớn như Trung Quốc có mức phục hồi khoảng 1%. Vì vậy, các hãng xe cần tính toán lại
việc sản xuất để đáp ứng đủ nhu cầu thị trường.
b, Hoạt động mua lại sáp nhập
Giữa một nền kinh tế thị trường đầy biến động, có rất nhiều cách tạo ra lợi nhuận và sẽ
có rất nhiều cơ hội có thể nắm bắt, một trong những cách nắm bắt cơ hội kinh doanh mà
các thương nhân thường áp dụng là thông qua hoạt động mua - bán doanh nghiệp (M&A).
Điển hình : Fiat Chrysler và PSA - công ty sản xuất Peugeot đã chính thức về chung một
"mái nhà" thương hiệu dù trước đó sự kết hợp này đã bị phía Ủy ban châu Âu nghi ngờ về
khả năng vi phạm pháp luật. Dù được nhận định là thương vụ làm nên lịch sử của nền công
nghiệp ô tô Mỹ, Pháp và Italy, sự kết hợp này vẫn đặt ra dấu hỏi về tương lai của những
thương hiệu cũ trong bối cảnh thị trường ô tô toàn cầu vẫn khá chật vật sau khi hứng chịu cú sốc từ đại dịch.
Tuy nhiên, màn vượt dốc ngoạn mục của Chrysler sau khi thu về 10 tỷ USD trong quý
III/2020 vẫn có thể khiến giới đầu tư lạc quan về đà phục hồi của nền công nghiệp này. Sau
tuyên bố sáp nhập, cổ phiếu của Chrysler ngay lập tức tăng 2,5%, trong khi PSA tăng 3,4%.
Lý do quan trọng nhất để hãng xe lớn nhất Italia mong muốn bắt tay với Chrysler không
gì khác là để có cầu nối thâm nhập vào thị trường Mỹ. Với nội lực vốn có, thông qua
Chrysler, Fiat thừa sức tạo nên điều bất ngờ trên thị trường Mỹ. Những mẫu xe Fiat rất
muốn đưa vào Mỹ hiện nay là mẫu xe nhỏ ăn khách Fiat 500 và một số mẫu Alfa Romeo
mới. Các mẫu xe này nếu có mặt tại Mỹ chắc chắn sẽ rất đắt hàng bởi giá rẻ, tiết kiệm nhiên
liệu và kiểu dáng hấp dẫn. Tuy nhiên, Fiat nhận thấy rằng những mẫu xe của mình sẽ bán
chạy hơn nếu được lắp ráp và sản xuất tại Mỹ.
Về phần mình, Chrysler cũng thu được không ít lợi ích nếu bắt tay với gã khổng lồ của
Ý. Ngoài những nguồn lợi về tài chính giúp Chrysler vượt qua khủng hoảng, hãng xe Mỹ lOMoAR cPSD| 58950985
này còn nhận được sự trợ giúp về mặt công nghệ trong công cuộc chinh phục khách hàng khó tính tại Châu Âu.
Thương vụ Sáp nhập và Mua lại (M&A) Volkswagen – Porsche : Khối ngành ôtô Châu
Âu trong thời gian qua cũng không kém phần nhộn nhịp trong các thương vụ mua lại và
sáp nhập. Ngoài việc khối ngành ô tô Đức đang xem xét việc mua lại phân nhánh Opel của
GM tại Châu Âu, với khuynh hướng thành công nghiêng về hãng Magna của Canada thì
hiện khối ngành ô tô của Châu Âu cũng nhận được thông tin vui về thỏa thuận sáp nhập
giữa hai đại gia ôtô của Đức là Volkswagen và Porsche. Theo đó, tính đến năm 2011, hai
hãng sẽ về chung một mái nhà và trở thành một trong những thương hiệu ô tô lớn nhất tại Châu Âu.
Nhà sản xuất xe lớn nhất châu Âu - Volkswagen và Porsche công bố họ đã đạt được
thỏa thuận sáp nhập hoạt động để trở thành một tập đoàn xe hơi nhất thể hóa dưới sự lãnh
đạo của Volkswagen. Theo thỏa thuận này, cuối năm 2009, Volkswagen sẽ mua 42% cổ
phần của Porsche. Cuộc sáp nhập này sẽ tạo nên một tập đoàn khổng lồ sở hữu 10 thương
hiệu danh tiếng có doanh số gần 6.4 triệu xe và hơn 400,000 công nhân viên. Quá trình
được thực hiện theo giai đoạn và đã hoàn tất vào năm 2011.
Điều thú vị ở chỗ, chính Porsche mới là công ty trong mấy năm gần đây đã nỗ lực để
giành quyền kiểm soát Volkswagen và Porsche cũng đã sở hữu 51% cổ phần của tập đoàn
Đức khổng lồ, thậm chí còn đặt mục tiêu đưa con số này lên 75%. Tuy nhiên, cùng lúc,
Porsche cũng nợ gần 10 tỷ Euro (khoảng 14 tỷ USD) do ảnh hưởng của cuộc khủng hoảng
kinh tế hiện hành, dẫn đến sự ra đi của Porsche CEO Wendelin Wiedeking và buộc công
ty phải tìm kiếm sự giúp đỡ từ Volkswagen.
Những sự bất ổn về cả kinh tế lẫn chính trị trên thế giới những năm gần đây đã gây ra
những ảnh hưởng nặng nề đối với khối ngành ôtô trên thế giới. Do đó, việc hợp tác mua lại
và sáp nhập là một xu hướng tất yếu trong bối cảnh khó khăn chung của khối ngành này.
II. PHÂN TÍCH CHUỖI CUNG ỨNG TOÀN CẦU CỦA TOYOTA
2.1. TỔNG QUAN VỀ TOYOTA
2.1.1. Quá trình hình thành và phát triển
Tập đoàn ô tô Toyota (Toyota Motor Corporation) là một nhà sản xuất ô tô đa quốc gia
của Nhật Bản có trụ sở tại Toyota, Aichi, Nhật Bản. Toyota được thành lập từ những năm
1937 bởi ông Kiichiro Toyoda.
Tính đến ngày 31 tháng 3 năm 2022, Toyota có 522 công ty con và 226 công ty liên
quan, trong đó có 56 công ty là công ty cổ phần và hơn 70,000 nhân viên. Lĩnh vực kinh
doanh của Toyota bao gồm các hoạt động liên quan đến ô tô với hai thương hiệu chính là lOMoAR cPSD| 58950985
Toyota và Lexus, các hoạt động về dịch vụ tài chính và tất cả các hoạt động khác. Các hoạt
động liên quan đến xe hơi của Toyota bao gồm thiết kế, sản xuất, lắp ráp và bán các loại
xe chở khách, xe tải nhỏ và các loại xe chuyên chở dùng trong thương mại như xe tải và
các bộ phận, phụ kiện liên quan. Dịch vụ tài chính của Toyota chủ yếu là cung cấp tài chính
cho đại lý và khách hàng của họ để mua hoặc thuê các loại xe của Toyota. Toyota cũng
cung cấp các dịch vụ tài chính cho thuê bán lẻ thông qua việc mua các hợp đồng cho thuê
có nguồn gốc là các đại lý Toyota. Toyota bán các loại xe của mình tại khoảng 170 quốc
gia và khu vực. Thị trường chính của Toyota cho các sản phẩm xe hơi của mình là Nhật
Bản, Bắc Mỹ, Châu Âu, và châu Á.
Dưới đây là các bảng thể hiện kết quả kinh doanh, kết quả sản xuất và doanh số bán
hàng của Toyota tại mỗi thị trường địa lý của mình trong năm tài chính 2021 vừa qua (năm
tài chính của Nhật tính từ 1/4/2021 - 31/3/2022):
Bảng 2.1: Bảng kết quả kinh doanh của Toyota trong năm tài chính 2021 Quý I Năm (46/2021) Quý Quý Quý tài chính II III IV 2021 (79/2021) (1012/2021) (13/2022) Sản 1,025 826 945 942 3,738 Nhật xuất Bản (hàng nghìn) Bắc Mỹ 519 395 403 435 1,752 199 110 201 197 707 Châu Âu Châu 324 316 419 440 1,499 Á Trung 83 84 81 87 335 và Nam Mỹ lOMoAR cPSD| 58950985 29 25 29 45 127 Châu Phi Doanh 500 445 482 498 1,924 Nhật số Bản (hàng nghìn) Bắc Mỹ 661 621 522 589 2,394 281 229 250 257 1,017 Châu Âu Châu 365 341 413 425 1,543 Á Trung 105 105 111 111 432 và Nam Mỹ Châu 74 74 60 75 282 Đại dương 51 45 58 65 219 Châu Phi 108 84 106 114 412 Trung Đông Khác 2 1 2 2 7
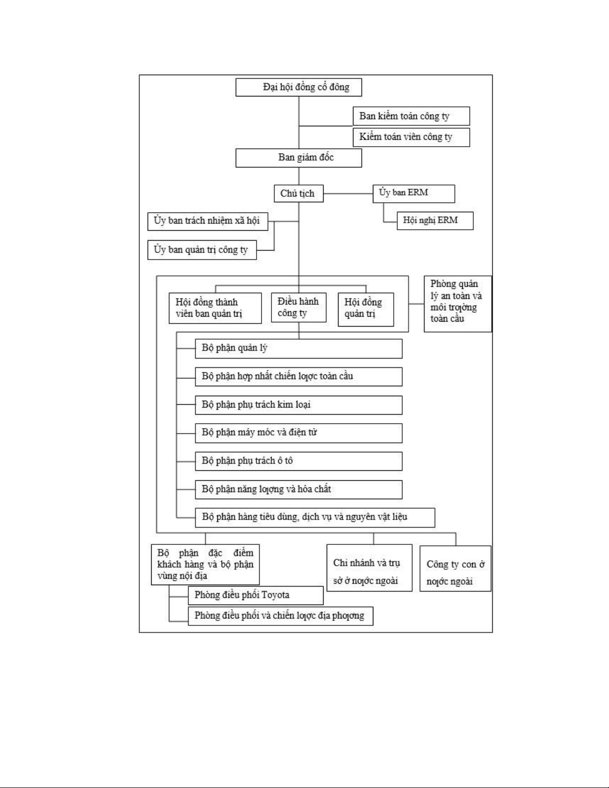
2.1.2. Cơ cấu tổ chức
Toyota là công ty đa quốc gia, có mặt ở 53 quốc gia trên thế giới và bán các loại xe ở
hơn 170 quốc gia. Để thực hiện chiến lược vận hành chuỗi cung ứng hiệu quả, doanh nghiệp lOMoAR cPSD| 58950985
cần phải xây dựng được cơ cấu tổ chức hợp lý để các phòng ban có thể phối hợp với nhau
một cách tốt nhất. Toyota xây dựng cơ cấu tổ chức của mình dựa trên những yêu cầu về
sản xuất, phân phối, tài chính, quan hệ khách hàng, trách nhiệm xã hội của doanh nghiệp,
chi nhánh ở nước ngoài… Các bộ phận, phòng ban của công ty Toyota trụ sở chính tại Nhật
Bản và các chi nhánh trên khắp thế giới phối hợp hoạt động với nhau, các luồng thông tin
di chuyển ở khắp các cấp quản trị để tạo ra hiệu quả vận hành chuỗi cung ứng tốt nhất.
Cơ cấu tổ chức của Toyota được xây dựng như sau:
Hình 2.2. Cơ cấu tổ chức của công ty Toyota lOMoAR cPSD| 58950985
2.2. MÔ HÌNH QUẢN TRỊ CHUỖI CUNG ỨNG CỦA TOYOTA Toyota được
nhiều công ty trên khắp thế giới lấy làm tiêu chuẩn để so sánh (benchmarking) về chất
lượng, năng suất, tốc độ sản xuất và sự linh hoạt. Sản phẩm của
Toyota liên tục đứng đầu bảng xếp hạng của các tổ chức khác nhau trong nhiều năm qua.