


















Preview text:
Chương 1: giới thiệu về kinh tế học I.Lựa chọn kinh tế
Dựa trên nguyên tắc: cost and benefit analysis
Ví dụ: Một bạn Nam muốn mở một cửa hàng trà sửa trên mặt bàng của một ngôi nhà thuộc sở hữu gia
đình ở mặt đường. mặt bằng này trước đây được bố mẹ bạn sử dụng cho thuê 20tr tháng. Bây giờ chuyển
sang kinh doanh cho Nam. Nam đầu tư cửa hàng này 90tr tháng và thu về 100 triệu.
Chi phí đầu tư cửa hàng trà sữa? Nam có nên tiếp tục kinh doanh hay không?
Định nghĩa: Chi phí cơ hội là giá trị của cơ hội tốt nhất bị bỏ qua khi đưa ra sự lựa chọn kinh tế.
Trong kinh tế học, chi phí luôn được hiểu là chi phí cơ hội
Mọi lựa chọn kinh tế đều bao hàm chi phí cơ hội
Ví du 1: một bạn trai mời một bạn gái đi ăn tối và bạn gái đồng ý với lời mời này? Bạn gái ko phải trả tiền
cho bữa tối, vậy bạn gái có đối diện với chi phí nào không?
Ans: thực tế, kể cả lựa chọn này là miễn phí thì bạn gái vẫn đối diện với các chi phí: thời gian ăn tối (thay
vi ăn tối thì bạn đi làm thêm và kiếm thu nhập), hoặc do bạn quyết định đi ăn tối nên bạn ấy phải trả một
số chi phí đi lại phát sinh…
Cách tiếp cận sử dụng chi phí cơ hội để ra quyết định:
Chi phí cơ hội (Opportunity Cost-OC) = chi phí hiện (Explicit Cost- EC) + chi phí ẩn (Implicit Cost-IC)
Chi phí hiện (EC): chi phí mà chúng ta thực tế chi trả cho các lựa chọn kinh tế. Ví dụ, thuê lao
động trả lương cho lao động, mua cốc cà phê với giá 20k…
Chi phí ẩn (IC): chi phí mà chúng ta không phải trả thực tế nhưng phải cân đối nó vào chi phí khi
thực hiện các quyết định của mình. Nó bao quát những cơ hội bị bỏ qua khi chúng ta lựa chọn.
Ví dụ 2: Giả sử các em định đâu tư vào một dự án với số tiền 100 triệu, xem xét hai tình huống và đánh
giá chi phí của mỗi tình huống (giả sử lãi suất ngân hàng là 5%):
-)Tình huống Chính: bạn có 40tr trong tài khoản ngân hàng và đi vay 60tr còn lại từ ngân hàng.
-)Tình huống Phương: bạn có toàn bộ 100tr trong tài khoản ngân hang.
Lợi ích tiềm năng của đầu tư vào dự án là 4 tr
Đâu là chi phí đầu tư tài chính trong từng tính huống?
Các em nghĩ có nên đầu tư vào dự án hay không? Ans:
Tình huống Chính: số tiền trả cho ngân hàng là 3tr. Đối với số tiền 40tr, nếu các em không đầu tư vào dự
án này thì tiền vẫn ở tài khoản ngân hàng và hưởng lãi suất 5%--> Đây chi phí ẩn (implicit costs) liên
quan tới việc đầu tư dự án này. EC=3tr, IC=2trà OC=3+2=5tr
Tình huống B: IC=100*0.05=5tr
Trong cả hai tình huống số tiền chi phí đầu tư = 5tr
Cả hai không nên đầu tư vào dự án này. Bài tập 1.1.
Chi phí hiện = 2000+200+1400= 22003600
Bạn dự định đi học thêm vào
mùa hè này. Nếu đi học bạn sẽ Chi phí ẩn = 6000
không thể đi làm với thu nhập Chi phí cơ hội =8200
là 6000 USD và bạn không
thể ở nhà nghỉ ngơi. Học phí là
Note: Chi phí cơ hội là chi phí gắn
2000 USD, tiền mua giáo
với sự lựa chọn của các cá nhân.
trình 200 USD, sinh hoạt phí
là 1400 USD. Hãy xác định chi
Giả sử bạn đang sống ở Hải Phòng
phí cơ hội của việc đi học thêm
với mức sinh hoạt phí là 1000 USD. vào mùa hè này.
Bạn quyết định lên HN học và ở
đây với mức sinh hoạt phí là 1400 USD.
Bạn đang phải quyết định
Với tình huống ban đầu:
lựa chọn giữa một trong -) EC=30 hai dự án đầu tư sau: -) IC=120-40=80
Dự án A: Đem lại cho bạn
100 đồng nhưng bạn phải -) OC =30+80=110 bỏ ra 30 đồng.
Chú ý: Các lựa chọn bỏ qua thì chúng
ta xét tới lợi ích RÒNG.
Dự án B: Đem lại cho bạn
120 đồng nhưng bạn phải Tình huống sửa đổi: bỏ ra 40 đồng. -EC=30
Dự án C: Đem lại cho bạn -IC=(190-10)=180
190 đồng nhưng bạn phải bỏ ra 10 đồng. -OC=180+30=210
Giả sử chúng ta chọn dự án A, chi phí của lựa chọn này là gì. Giả định:
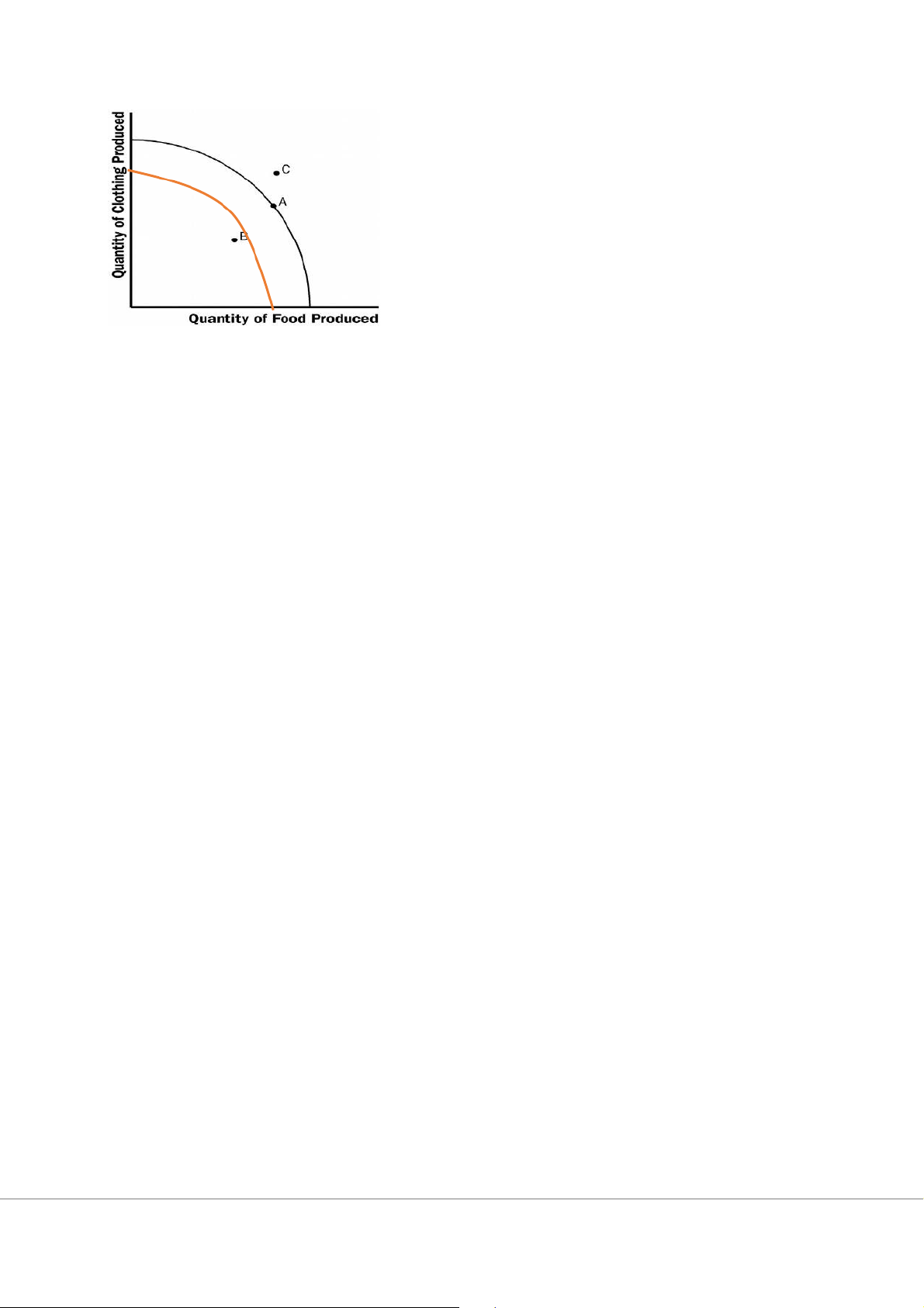
Nền kinh tế này chỉ sản xuất 2 mặt hàng: quần áo, thực phẩm
Mỗi nền kinh tế sẽ sở hữu một công nghệ sản xuất và số lượng đầu vào nhất định.
Đầu vào chỉ là lao động
Tối ưu hóa: nền kinh tế đó sử dụng hết nguồn lực và năng lực công nghệ mà họ đang sở hữu thì họ có thể xuất được
các điểm kết hợp trên PPF.
Các điểm (phương án sản xuất) A, B, C, D, F G nằm trên đường màu xanh là điểm hiểu quả sản xuất và đường màu
xanh được hiểu là đường PPF
Hiệu quả sản xuất hàm ý là tôi dùng hết năng lượng công nghệ sản xuất và nguồn lực sở hữu thì các kết hợp này
được xem là tối ưu dựa trên những gì họ có
Hiệu quả được phân chia:
(+) HIệu quả sản xuất (kỹ thuật): là tạo được ra đầu ra tối đa dựa vào nguồn lực hiện có (là các điểm nằm trên PPF: A, B, C, D, E)
(+) HIệu quả phân phối: sản xuất các mặt hàng mà đáp ứng được nhu cầu mà xã hội hiện đang cần
(+) Hiệu quả kinh tế bao gồm cả hiệu sản xuất và hiệu quả phân phối
Các điểm nằm trên đường PPF (A, B, C, D, E) các kết hợp tối
ưu và khả thi mà nền kinh tế có thể sản xuất với công nghệ và nguồn lực sở hữu. Note:
Điểm I: Điểm nền kinh tế đạt được nhưng không
hiệu quả vì vẫn còn không gian để nền kinh tế có
thể tạo ra nhiều hơn hàng hóa dịch vụ.
Điểm N: Điểm không đạt được do nền kinh tế bị giới
hạn về nguồn lực và công nghệ. Quantity of Quantity of Clothes Food Possibilities A 10 0 B 9 20 C 7 40 D 4 60 E 0 80
Implications: Khi dịch chuyển từ điểm A tới E trên đường PPF, điều này sẽ phản ánh
Nguyên tắc của sự đánh đổi: nếu chúng ta muốn sản xuất nhiều hơn một mặt hàng khác thì bắt
buộc chúng ta phải hy sinh các nguồn lực trước đây sản xuất để chuyển sang. Nếu muốn sản xuất
nhiều hơn thực phẩm thì nền kinh tế này phải hy sinh nguồn lực sản xuất quần áo để chuyển qua
khu vực thực phẩm.--> Số lượng quần áo giảm để tăng sản xuất thực phẩm--> chi phí cơ hổi là
bao nhiêu đơn vị quần áo cần hy sinh để sản xuất thểm được 1 đơn vị thực phẩm--> Chi phí cơ
hội được phản ánh bằng tỷ lệ đánh đổi.
oE.g. tại A, nền kinh tế đang tập trung toàn bộ nguồn lực (lao động) để sản xuất quần áo
và khi tôi chuyển sang phương án sản xuất B, nền kinh tế muốn tăng 20 đơn vị thực
phẩm. Tại đây, họ phải hy sinh nguồn lực để tạo ra được tương ứng là 1 đơn vị quần áo.
Chi phí cơ hội 1 quần áo = 20 thực phẩm.
oĐộ dốc của đường PPF sẽ phản ánh tỷ lệ trao đổi giữa thực phẩm và quần áo.
From A to B to E, the amount of clothe that the economy has to give up tend to increase in order to
produce the same amount of food (20 units of food)à The opportunity cost of producing a given amount of food increases.
2. Hình dạng đồ thị của PPF, hàm ý kinh tế và giải thích nguyên nhân
The slope of PPF reflect a rate of exchange (opportunity cost) between two goods.
The linear PPF (đường PPF tuyến tính) The concave (bow-outward) PPF
Shape: Độ dốc không đổià chi phí cơ hổi để sản
Shape: đường cong lõm so với gốc tọa độ--> có
xuất một khối lượng thực phẩm sẽ luôn không
đặc trưng là độ dốc tăng dần--> chi phí cơ hội để
thay đổi dọc theo đường PPF.
sản xuất một khối lượng thực phẩm bằng nhau sẽ
gia tăng dọc theo đường PPF.
AàB: để sản xuất được 20 đơn vị thực
phẩm đầu tiên thì nền kinh tế cần hy sinh
1 đơn vị quần áo--> chi phí cơ hội: 1 quần áo = 20 thực phẩm
BàC: để sản xuất được 20 đơn vị thực
phẩm tiếp theo thì nền kinh tế cần hy sinh
2 đơn vị quần áo--> chi phí cơ hội: 2 quần áo = 20 thực phẩm
CàD: để sản xuất được 20 đơn vị thực
phẩm tiếp theo thì nền kinh tế cần hy sinh
2 đơn vị quần áo--> chi phí cơ hội: 3 quần áo = 20 thực phẩm Implication:
Implication: Để sản xuất một khối lượng hàng
hóa như nhau, xã hội cần đánh đổi một khối lượng
ngày càng gia tăng các đươn vị hàng hóa khác.-->
chi phí cơ hội tăng dần.
The opportunity cost is increasing when
moving along the PPF from A to E.
The costs of producing food are
increasing when we produce more units of food.
Finding: To produce equal additional units of goods, the society has to trade-off an increasing amount of other goodsà Two striking points:
Slope of PPF reflects a rate of exchange (opportunity costs)
Concave PPF has an increasing slope, thus the trade-off to produce equal additional units of
goods is increasingà opportunity cost is increasing.
Why does the cost of producing equal additional units of goods increase???
Assumption: there is one kind of resource used to produce food and clothes that is the labour. But there
are two type of labor: tailor and chef. Initially, there are 100 tailors and 100 chefs (200 units of labor) and
the economy stands at point A on the PPF.
At point A, the economy uses 100 tailors and 100 chefs to produce 10 units of clothes
When move from point A to point B: the economy has to move some labor from producing
clothes to producing food. Considering two types of labor, they will move the chefs because they
are appropriate for producing food.
oAà B: we need 60 chefs to produce the first 20 units of foodè 60 units of labor, in
general, to produce the first 20 units of food since all labors are appropriate for producing food.
oBà C: since we only have 40 units of chefs, we need to move some tailors that is
inappropriate for producing foodà the economy needs 40 units of chefs and 40 units of
tailorsà80 units of labor, in general, to produce the additional 20 units of food since some
labor is appropriate but some labors are not.
oCà D: we run out of chefs, in order to produce the same of food, we need 120 units of
tailorsà 120 units of labor, in general, to produce the additional 20 units of food since all labors are inappropriate.
That explain why the opportunity costs of producing the same amount of food are increasing. Sum up:
•When the produced quantity is low, we only use appropriate resources that are inappropriately produce other goods.
•When the produced quantity increases, we have to use less appropriate resources that are more
appropriately used to produce other goodsà opportunity costs increase.
Phân tích sự thay đổi của đường PPF do các cú sốc gây ra:
3 bước phân tích sự thay đổi của đường PPF: Quy trình phân tích 3 bước
Step 1: Đánh giá xem cú sốc này tác động tới 1 hàng hóa hay cả hai
(cú sốc mang tính chất cục bộ hay toàn diện, hàm ý là nó tác động tới một khu vực hay toàn bộ nền kinh tế)
Step 2: cú sốc là tích cực hay tiêu cực (negative effects or positive effects)
Step 3: Sử dụng đường PPF để mô phỏng thay đổi dưới tác động của cú sốc.
Affect two goods: PPF will shift (dịch chuyển)
oPositively: PPF shifts outwardà the possible combination between produced
goods increases. (Note: càng ra ngoài xa so với gốc tọa độ thì các kết hợp khả thi
về khối lượng hàng hóa mà nền kinh tế có thể sản xuất ra càng gia tăng)
oNegatively: PPF shifts inwardà the possible combination between produced
goods decreases. (Note: càng vào gần so với gốc tọa độ thì các kết hợp khả thi về
khối lượng hàng hóa mà nền kinh tế có thể sản xuất ra càng giảm đi)
Affect one good: PPF will rotate (xoay)
The shocks can be economic growth, technology improvement, natural disaster (like pandemic, flood, drought…) crisis and so on. PPF dịch chuyển PPF xoay Reasons
Cả 2 hàng hóa đều bị tác động bởi cú sốc
Chỉ 1 hàng hóa bị tác động Situation
Economic growth or technological (Dịch tả lợn diễn ra) improvement
-Step 1: Affect only one good (Food)
-Step 1: tác động tới cả 2 mặt hàng -Step 2: Negative shock -Step 2: cú sốc tích cực Tăng Giảm
+)Các đầu mà đường PPF căt trục tungg
và trục hoành cho thấy số lượng hàng hóa
tương ứng mà nên kinh tế tối đa có thể sản
xuất ra khi tập trung sản xuất 1 mặt hàng duy nhất
+)Ví dụ: điểm cắt trục tung sẽ là khối
lượng quần áo lớn nhất mà nền kinh tế có
thể sản xuất ra được nếu họ tập trung toàn
bộ nguồn lực của mình để sản xuât quần áo More
PPF shifts outwardà productivity implications of both X and Y increases
PPF shifts inwardà productivity of both X and Y decreases Opportunity
Shape: Increasing slope, implying: costs
AàB: produce first 20 units of food, the economy needs to reduce 1 unit of clothesà
Opportunity costs: 1 clothes=20 food
BàC: produce the additional 20
units of food, the economy needs to reduce 2 units of clothesà OC: 2 clothes = 20 foodà 1 clothe=10 food
CàD: produce the additional 20 units of
food, the economy needs to reduce 3 units
of clothesà OC: 3 clothes =20 food The case of rotating PPF Only affecting the X Only affecting the Y Y Y Tăng Giảm X X
Đường màu xanh dương là PPF ban đầu
Đường mầu xanh lá cây là PPF thay đổi do cú số tích cực à PPF xoay ra ngoài
Đường mầu da cam là PPF thay đổi do cú sốc tiêu cựcà PPF xoay vào trong Example:
Understanding the point A, B, C.
Suppose: Nền kinh tế sản xuất 2 mặt hàng là thực phầm và quần áo, nếu nền kinh tế trải qua một
cú sốc hạn hán. PPF sẽ thay đổi ra sao. Solution:
Step 1: Hạn hán ảnh hưởng tới thực phẩm Step 2: Cú sốc tiêu cực Step 3:
Cú sốc thứ 2: Nền kinh tế trải qua thời kỳ suy thoái (recession)
Step 1: Anh hưởng tới thực phẩm và quần áo Step 2: Cú sốc tiêu cực
Suppose that the economy experiences a Covid-19. Let explain impacts of this event on the curve? 3-step analysis:
Step 1: a drought only affects the productivity of food.
Step 2: it is a negative effect. Step 3: Simulation
Conclusion: The effects of a drought are shown below. The drought reduces the amount of food
that can be produced, shifting the production possibilities frontier inward.
Principle 3: Các cá nhân thực hiện các quyết định ở cận biện
Marginal Analysis: Hành vi của doanh nghiệp và quá trình thực hiện quyết định của họ
Phân tích hành vi của doanh nghiệp với giả định là doanh nghiệp có mục tiêu là tối đa hóa lợi nhuận. Và
để đạt được mục tiêu này có rất nhiều vấn đề mà doanh nghiệp phải trả lời:
Tôi nên đặt giá và bán bao nhiêu sản phẩm ra thị trường thì có thể đạt được mục tiêu này?
Giả sử quy mô hiện tại chưa đạt được mục tiêu, thì doanh nghiệp cần thay đổi quy mô của mình
ra sao hướng tới mục tiêu này?
Marginal analysis can help us to answer this answer.
Important definition in the economics: (What is the marginal)
Based on the cost-benefit analysis, doanh nghiệp thực hiện các quyết định dựa trên việc so sánh giữa lợi
ích và chi phí của các lựa chọn.
NB (Net Benefit) = TB (Total Benefit)-TC (Total Costs) is maximized.
Khi chúng ta nói về doanh nghiệp thì NB chính là lợi nhuận (profit)
Lợi nhuận = tổng doanh thu – tổng chi phí Doanh thu (Benefits)
Tổng doanh thu (TR): Tổng số tiền/thu nhập doanh nghiệp đạt được từ việc bán/cung ứng sản
phẩm ra thị trường. (TR= Price (P) x Quantity (Q))
Doanh thu cận biên (MR): sự thay đổi của tổng doanh thu từ việc bán/cung ứng thêm các sản
phẩm ra thị trường. Doanh thu từ việc bán sản phẩm cuối cùng đem lại. For example, your company:
Sell Q=100 to the market and earn TR(Q=100)= $1500
You decide to sell more units of product to the market Q’=101 and earn TR’(Q’=101)=$1600
oIt implies that selling one additional unit of product cause the TR to increase by $100 (1600-1500).
oOr the revenue from selling the 101th (the last unit) unit is $100
à This is the marginal revenue of 101th unit (Phân biệt giữa tổng doanh thu từ việc bán 101 đơn
sản phẩm ra thị trường và doanh thu từ việc bán sản phẩm thứ 101 (MR))
MR of 101th = TR(Q’=101)-TR(Q=100)
oWhere MR is the revenue from selling the 101th
oTR(Q=101) is the revenue from selling 101 units and TR(Q=100) is the revenue from selling 100 units. Q= Quantity Total Revenue (TR) Marginal revenue (MR) 0 0 1 20 MR of 1st product supplied=20 2 38
MR of 2nd product supplied =38- 20=18
Tôi bán sản phẩm thứ 2 sẽ làm
tổng doanh thu của cửa hàng tăng lên = 38-20=18. 3 53 MR of 3rd product supplied =53-38=15
Hiện tại tôi đang bán 2 sản
phẩm, tôi quyết định bán thêm
sản phẩm thứ 3 thì sản phẩm thứ
3 này giúp cửa hàng của tôi tăng
thêm doanh thu bằng= 53-38=15 4 65 MR of 4th product supplied
=65-53=12 (doanh thu từ việc bản sản phẩm thứ 4)
Hiện tại tôi đang bán 3 sản
phẩm, tôi quyết định bán them
sản phẩm thứ 4 thì sản phẩm thứ
4 này giúp cửa hang của tôi tang
them doanh thu bằng= 65-53=12 5 71 6
How to compute the marginal revenue: MRn=TRn−TRn−1
MRn: The marginal revenue of the nth product
TRn: the total revenue from selling/suppling total n units of products
TRn−1: the total revenue from selling/suppling total (n-1) units of products
Dựa theo định nghĩa, MR có thể được tính như sau: MR=∆T ∆ R Q=∂TR
∂Q =TR '(Q)
Note:∆ means a large amount of change and ∂ means a small amount of change. Nếu sự thay đổi diễn ra
với quy mô nhỏ thì chúng ta xác định được hàm doanh thu cận biên: MR=TR’(Q) (Đạo hàm bậc 1 của
hàm tổng doanh nghiệp). For example, TR=Q2−4Q→ MR=TR' (Q )=2Q−4. The slope of TR is the MR.
The change occurs by a very small amount, the MR is slope of the line that is tangent with the TR curve MR=∆T ∆ R Q=∂TR
∂Q =TR'(Q)
TR=Q2−4Q→ MR=TR' (Q )=2Q−
When TR is maximized? MR=TR’(Q)=0 Cost:
Total Costs (TC): Tổng số tiền doanh nghiệp bỏ ra để sản xuất sản xuất
Marginal costs (MC): phần chi phí thay đổi khi doanh nghiệp sản xuất thêm các sản phẩm ra thị trường.
How to compute the marginal cost: MCn=TCn−TCn−1
MCn: The marginal cost of the nth product (the last units)
TCn: the total cost from producing n products
TCn−1: the total costs from producing (n-1) products MC=∆T ∆C Q=∂TC
Based on the definition, you also compute the MC as follows:
∂Q=TC' (Q)
e.g. Q1=10; Q2=11à change in total cost from TC1(Q1)=100 to TC2(Q2)=110
MC of 11th unit product is TC2(Q2)-TC1(Q1)=110-100=10 (units)
Assuming a very very small change in quantity (Q), just like a point along the TC curve, you can compute
the marginal costs by drawing the line that is tangent to the TC curve and compute the slop of this line at this point.
For simplicity, if you have the functional form of TC, you can obtain the function of MC by taking the
first derivative of TC function.
E.g., TC= Q^2-4Q+100à MC= TC’(Q)= 2Q-4
Dựa vào nguyên tắc phân tích cận biên:
Goal of firms: Maximize the profits.
Question 1: Đâu là mức giá (P) và sản lượng (Q) để doanh nghiệp tối đa hóa lợi nhuận
Giá bán và khối lượng bán như thế nào để giúp doanh nghiệp có thể tối đa hóa được lợi nhuận của mình?
π (Profit )=TR−TC
The ultimate goal of firm is to maximize the profit (net benefit from joining into the market)à what are price (P) and quantity (Q)?
Problem of firms: Finding P, Q to maximize π
Để tối đa hóa lợi nhuận, chúng ta sử dụng điều kiện bậc 1 trong bài toán tối ưu: xác định P và Q để đạo hàm bậc 1 bằng 0:
{TR (Q)−TC (Q )}'=0→TR' (Q)=TC' (Q)→MR (Q )=MC(Q)
Conclusion: Để tối đa hóa lợi nhuận thì doanh nghiệp cần đặt P và Q sao cho MR=MCà firms will obtain
the profit-maximization purpose. Economic Logical discussion:
Marginal analysis is the common things to help individuals make a rational choice.
Using the cost-benefit analysis to answer the second question:
Question 2: Nếu hiện tại với P, Q mà doanh nghiệp chưa đạt được mục tiêu tối đa hóa lợi nhuận thì
doanh nghiệp cần thay đổi ra sao
Sử dụng Doanh thu biên (MR) và chi phí biên (MC) để hiểu được quá trình điều chỉnh quy mô của doanh nghiệp-->
Doanh nghiệp nên sản xuất nhiều hơn hay sản xuất ít đi thì lợi nhuận sẽ gia tăng hướng tới mục tiêu tối đa hóa lợi nhuận của mình
Các bạn hiểu như thế nào nếu ở mức sản lượng hiện tại doanh nghiêp đang có MR> MC
MR > MC: nghĩa là ở mức sản lượng mà doanh nghiệp bán thêm ra thị trường thì số tiền mà họ thu về sẽ nhiều hơn
chi phí mà họ bỏ ra để sản xuất thêm các đơn vị sản phẩm
--> Tại thời điểm hiện tại, Doanh nghiệp mà càng bán, càng cung ứng nhiều hơn sản phẩm cho thị trường thì họ
càng đưuọc lợi vì lợi nhuận sẽ được tăng thêm.
MR < MC: nghĩa là ở mức sản lượng mà doanh nghiệp bán thêm ra thị trường thì số tiền mà họ thu về sẽ ít hơn chi
phí mà họ bỏ ra để sản xuất thêm các đơn vị sản phẩm
--> Tại thời điểm hiện tại, Doanh nghiệp nên giảm bớt số sản phẩm mà họ bán ra thị trường thì họ càng đưuọc lợi vì
lợi nhuận sẽ được tăng thêm. Sum up:
Firms will maximize their profit by selling goods and services at the price (P) and quantity (Q) at which MR=MC
MR>MCà Increase Q (expansion) lead to an increase in profit
MRMarginal Analysis for general problem Member Hộ gia đình Doanh nghiệp Chính phủ
Purposes Tối đa hóa lợi ích ròng Tối đa hóa lợi nhuận
Tối đa hóa cái lợi ích xã (mức thỏa mãn) hội
The utility, profit, social utility can be defined as Net Benefit (NB) where NB=TB-TC
TB: Total Benefit (this is TR when we study the behavior of firms)à MB=TB’(Q)
TC: Total Cost (this is TC when we study the behavior of firms)à MC = TC’(Q)
All members/agents of economy wish to maximize their own net benefit. They can achieve this goal by
setting price (P) and quantity (Q) such that:
MB=MCà NB is maximized (MR=MCà we have the profit maximation )
MB>MCà increase in Q will lead to an increase in NB
MBAll members in the economy adapt this principle (Cost-Benefit Analysis) to make a rational decision. Exercise
Hàm tổng lợi ích (TB) và hàm tổng chi phí (TC) của một chủ thể kinh tế được mô tả như sau:
TB=200Q−Q2 --> MB=200-2Q
TC=200+20Q+0,5Q2 --> MC = 20+Q
a. Xác định mức sản lượng để tối đa hóa tổng lợi ích?
b. Xác định mức sản lượng để tối đa hóa lợi ích ròng?
c. Xu hướng điều chỉnh quy mô sẽ diễn ra ra sao nếu hiện tại Q=50
d. Xu hướng điều chỉnh quy mô sẽ diễn ra ra sao nếu hiện tại Q=80 Solution:
a.TO maximize the total benefit (TBmax): TB’(Q)= MB=200-2Q=0 (F.O.C)à Q=100
b. TO maximize the net benefit (NBmax): MB = MC TBà MB=TB’(Q) = 200-2Q TCà MC=TC’(Q) = 20+Q MB= MCà 200-2Q=20+Qà Q=60 c.Q=50 TBà MB=TB’(Q) = 200-2Q TCà MC=TC’(Q) = 20+Q MB=200-2*50=100 and MC = 20+50=70
à MB>MCà chủ thể kinh tế nên tăng sản lượng Q sẽ làm lợi ích ròng gia tăng