



















Preview text:
lOMoAR cPSD| 59595715
Giảng viên: Tiến sĩ Đặng Quốc Vương
Email: vuong.dangquoc@hust.edu.vn Phone: +84-963286734 GIỚI THIỆU CHUNG 1. Mục đích
Cung cấp cho sinh viên kiến thức cơ bản về máy điện.
Sau khi học xong học phần này sinh viên hiểu rõ cấu tạo và nguyên lý làm việc
của các loại máy điện, mô hình toán mô tả các quá trình vật lí trong máy điện
và các đặc tính chủ yếu của các loại máy điện.
Nắm được phạm vi ứng dụng của các loại máy điện.
2. Tài liệu tham khảo
Bài giảng: Máy điện (nhóm Máy điện – BM Thiết bị điện - Điện tử) Sách tham khảo:
- Bài giảng MĐ. PGS Phạm Văn Bình, Ths. Lê Minh Tiệp, TS. Đặng Quốc Vương
- Máy điện. Tập 1 & 2. Bùi Đức Hùng. Triệu Việt Linh. NXB Giáo dục. Hà nội 2007
- Máy điện 1 & 2. Vũ Gia Hanh, Trần Khánh Hà, Phan Tử Thụ, Nguyễn Văn Sáu 2 MÁY ĐIỆN I
Nội dung Chương 1. Máy biến áp
Chương 2. Những vấn đề chung về MĐ quay
Chương 3. Máy điện không đồng bộ Chương
4. Máy điện đồng bộ
Chương 5. Máy điện một chiều 3
Chương 1. Máy biến áp Nội dung
I. Tổng quan về hệ thống năng lượng điện
II. Khái niệm chung về Máy biến áp
III. Quan hệ điện từ trong Máy biến áp
IV. Các chế độ làm việc trong Máy biến áp
V. Máy biến áp ba pha 4
Chương 1. Máy biến áp Nội dung
I. Tổng quan về hệ thống năng lượng điện
II.Khái niệm chung về Máy biến áp III. Quan hệ điện từ
trong Máy biến áp IV. Các chế độ làm việc trong Máy
biến áp V. Máy biến áp ba pha 5 Nhà máy đ i ệ n MBA truy ề n t ả i Ngu ồ n phát Đ dây truy ề n t ả i TBA truy ề n t ả i TBA phân ph ố i Đườ dây Khu ng
v ự c tiêu th ụ đ i ệ n n ă ng phân ph ố i đ iên Thi ế t b ị t ự độ ng phân ph ố i (1/6) H tiêu th đ n 6 ộ ụ i ệ n ă ng
1.1. Hệ thống năng lượng điện (2/6)
1.2. Các định luật điện từ thường dùng trong máy điện
a. Định luật cảm ứng điện từ (định luật Faraday)
Khi từ thông bieến thiên xuyên qua v ng dây, trong v ng dây sẽ cảm ứng sức điện động "
Sđđ cảm ứng trong một v ng dây được tính theo công thức Maxwell: e " Trường hợp
cuộn dây có w v ng, sđđ cảm Hinh 1.1 ứng là:
trong đó, = w (Wb) là từ thông móc v ng của cuộn dây 7 (3/6)
a. Định luật cảm ứng điện từ (định luật Faraday) (tiếp)
Khi thanh dẫn chuyển động với vận tốc v, nằm vuông góc từ trường sẽ cảm ứng
sđđ e theo quy tắc bàn tay phải (hình 1.2): e = Blv, trong đó:
- B mật độ từ cảm (Wb) e - l chiều dài của thanh dẫn v ,B Hinh 1.2 ,B 8 (4/6)
b. Định luật lực điện từ
Thanh dẫn mang d ng điện đặt vuông góc với từ trường, thanh dẫn sẽ ch ịu
một lực điện từ tác dụng, có trí số là trong đó: Fdt = Bil, - B từ cảm (T)
- i d ng điện chạy trong thanh dẫn (A)
- l chiều dài của thanh dẫn (m) i F dt ,B Hinh 1.3 ,B
Chiều của Fđt xác định theo qui tắc bàn tay trái (hình 1.3) 9 (5/6)
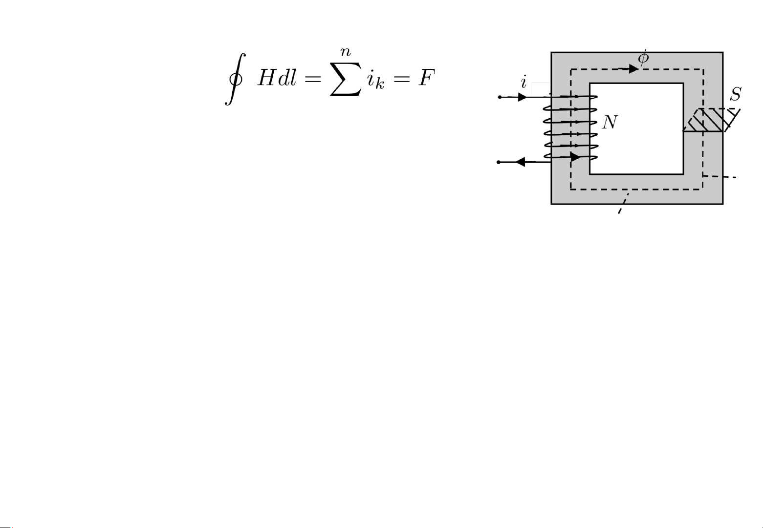
c. Định luật toàn d ng điện
Goi H là cường độ từ trường tạo bởi tập hợp các d ng điện i1; I2; …In vqf C
là đường cong khép kín trong không gian bao quanh các dây dẫn mang tập
hợp d ng điện trên. Theo định luật ampere ta có: C k=1 Áp dụng vào
mạch từ hình 1.4, ta viết như sau: trong đó:
Hl = wi = F
- H cường độ từ trường trong mạch (A/m)
- l chiều dài trung bình của mạch từ đo bằng mét l
- w là số v ng của cuộn dây lõi thép Hinh 1.4
wiD ng gọ iđ làiệ ns ứi ct ạtừo độtrang từ. thông cho mạch từ, gọi là d
ng điện từ hoá. Tích số 10 (6/6)
1.3. Các loại vật liệu dùng trong máy điện
a. Vật liệu dẫn điện: Cu, Al, hợp kim
b. Vật liệu dẫn từ: Vật liệu sắt từ : thép kỹ thuật điện, gang, thép đúc, thép rèn… c.
Vật liệu cách điện:
Cườ ng độ cách điện cao, chịu nhiệt tốt, tản nhiệt tốt, chống ẩm & bền cơ học
Phần lớn ở thể rắn : 4 nhóm :
Chất hữu cơ thiên nhiên : giấy, lụa …
Chất vô cơ : amiăng, mica, sợi thủy tinh … Các chất tổng hợp
Các loại men, sơn cách điện
Cách điện thể khí (không khí), thể lỏng (dầu)
Nhiệt độ tăng quá nhiệt độ làm việc cho phép 8 ~ 10°C => tuổi thọ giảm ½ (15-20) Cấp cách điện Y A E B F H C Nhiệt độ làm việc cho phép 90 105 120 130 155 180 > 180
7 cấp cách điện của vật liệu cách điện 11
Chương 1. Máy biến áp Nội dung
I. Tổng quan về hệ thống năng lượng điện
II. Khái niệm chung về Máy biến áp
III.Quan hệ điện từ trong Máy biến áp IV. Các chế độ
làm việc trong Máy biến áp V. Máy biến áp ba pha 12 (1/29) 2.1. Định nghĩa
Máy biến áp (MBA) là thiết điện từ tĩnh, làm việc dựa theo nguyên lý cảm ứng
điện từ, dùng để biến đổi hệ thống d ng điện xoay chiều ở điện áp này thành
một hệ thống d ng điện xoay chiều ở một điện áp khác nhưng giữ nguyên tần số
Ký hiệu MBA trong hệ thống điện lực: 13 (2/29)
2.2. Vai tr của MBA
MBA cã vai trß ®Æc biÖt quan träng trong mäi lÜnh cña nÒn kinh tÕ
Lµ thiÕt bÞ ®Æc biÖt quan träng trong hÖ thèng truyÒn t¶i vµ ph©n phèi ®iÖn n¨ng,
gióp gi¶m tæn hao trªn hÖ thèng truyÒn t¶i ®iÖn.
2.3. Công dụng của MBA
Sử dụng để truyền tải và phân phối điện năng
Đường dây truyền tải H ộ tiêu th ụ 0,4 – 6kV MF MBA 35 , 110, 220, MBA Đ 3 t áp 500 kV h áp ÷ 21kV ă ng ạ Cùng
công su ấ t S , n ế u ↑ U → ↓ d đế d I d ẫ n n :
→ trọng lượng, tiết diện chi phi làm dây dẫn giảm
→ ∆U = RdId ↓
→ ∆P = RdI2d ↓ 14 (3/29)
2.3. Công dụng của MBA (tiếp)
MBA sử dụng trong các thiết bj chuyên dụng: Trong l nung: MBA l
Trong hàn điện: MBA hàn
Trong thí nghiệm: MBA thí nghiệm
Trong đo lường: Máy biến điện áp, máy biến d ng điện… 15