



















Preview text:
PHẦN I TỔNG QUAN LÝ THUYẾT VÀ BÀI TẬP
Chương 1 LÝ THUYẾT CHUNG
1.1. CÁC ĐỊNH LUẬT CƠ BẢN
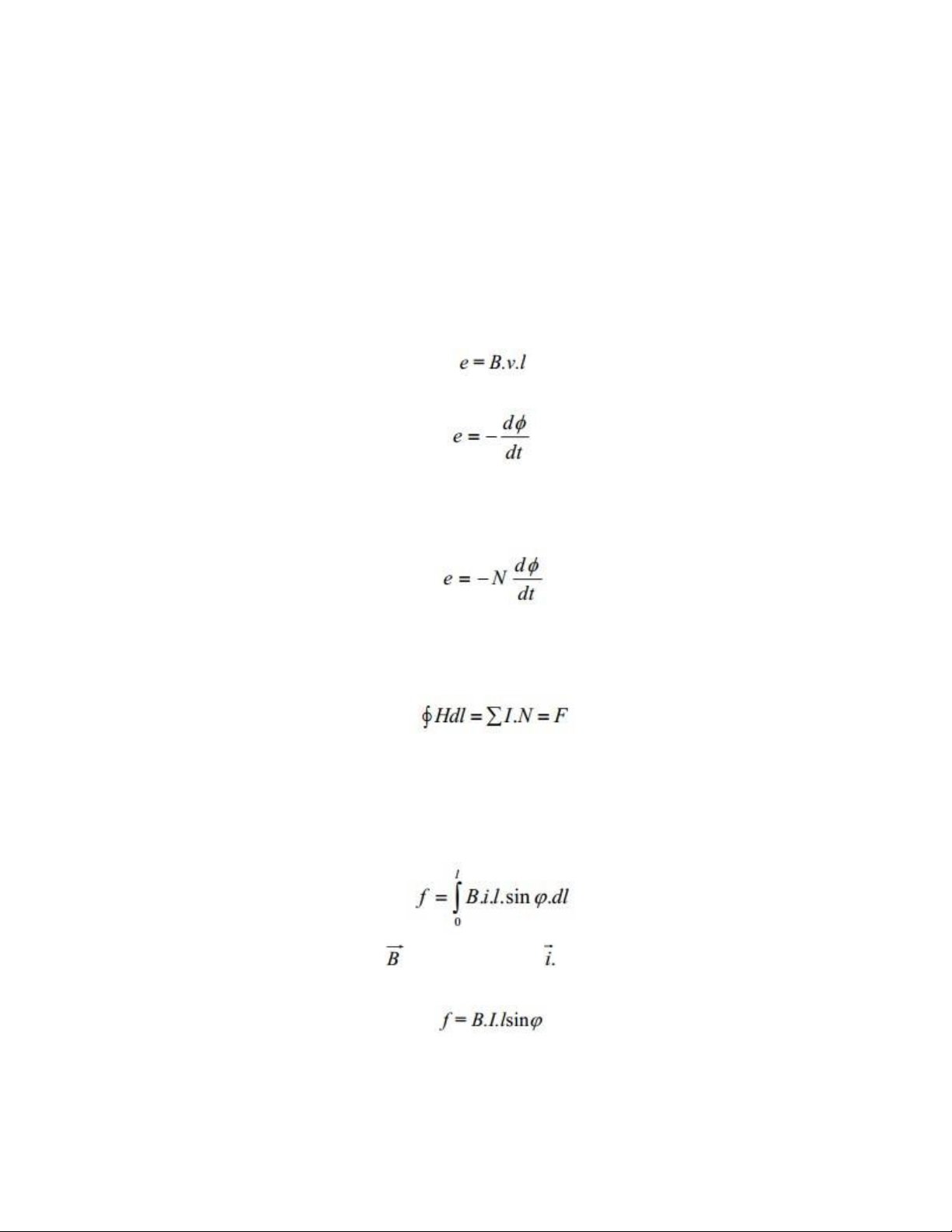
1.1.1. Định luật cảm ứng điện từ
Một thanh dẫn có chiều dài l chuyển động trong một từ trường đều có cảm ứng từ B với vận tốc v,
vuông góc với các đường sức từ, thì trên hai đầu thanh dẫn sẽ cảm ứng sức điện động e được tính theo công thức:
Định luật này có thể viết dưới dạng phương trình Maxwell:
Sự biến thiên của tổng từ thông móc vòng trong một mạch điện sẽ tạo ra một sức điện động tỷ lệ với
đạo hàm của tổng từ thông biến thiên đó.
Trường hợp mạch điện gồm N vòng dây thì sức điện động cảm ứng sẽ được tính:
1.1.2. Định luật Ampe
Tích phân vòng của cường độ từ trường H theo một đường khép kín bất kỳ quanh một số mạch điện
có N vòng dây bằng tổng dòng điện trong các vòng dây đó.
F được gọi là sức từ động, đơn vị là Ampe vòng (Avg).
1.1.3. Định luật về lực điện từ
Lực tác dụng lên một đoạn dây dẫn có chiều dài l và dòng điện i chạy qua đặt trong từ trường có cảm
ứng từ B được xác định theo công thức:
φ là góc hợp bởi véctơ cảm ứng từ và véctơ dòng điện
Trong trường hợp từ trường đều và dây dẫn thẳng, ta có thể viết:
Hướng của lực điện từ được xác định theo quy tắc bàn tay trái như hình 1.1.
Hình 1.1. Xác định lực điện từ theo quy tắc bàn tay trái.
1.1.4. Định luật Kirchhoff
– Định luật Kirchhoff 1:
Tổng giá trị đại số của dòng điện tại một nút trong một mạch điện bằng 0.
– Định luật Kirchhoff 2:
Tổng giá trị điện áp theo một vòng kín bằng 0.
– Phương trình cân bằng điện áp (sức điện động):
1.1.5. Định luật Ohm trong mạch từ
Từ thông tổng trong mạch từ bằng thương của sức từ động tổng trong mạch từ đó chia cho từ trở của mạch từ.
Ở đây: F là sức từ động (Avg); Rμ là từ trở mạch từ (Avg/Wb); Φ là từ thông tổng trong mạch từ (Wb).
với μ là độ từ thẩm của vật liệu, μ = μ0.μr; μ0 = 4π.10–7 H/m là từ thẩm của không khí; μr là độ từ thẩm tương
đối của vật liệu; S là tiết diện mặt cắt ngang của mạch từ (m2); l là chiều dài tính toán của mạch từ (m).
Nghịch đảo của từ trở được gọi là từ dẫn, ký hiệu Gμ và được tính:
Từ trở và từ dẫn mắc song song và nối tiếp giống như điện trở vàđiện dẫn song song và nối tiếp.
1.2. VẬT LIỆU TRONG CHẾ TẠO MÁY ĐIỆN
1.2.1. Vật liệu dẫn điện
Vật liệu dẫn điện được sử dụng chủ yếu trong chế tạo máy điện là đồng (Cu) và nhôm (Al). Chúng
được sử dụng chủ yếu để chế tạo dây quấn dưới dạng dây điện từ tiết diện tròn hoặc chữ nhật, là dây được
chế tạo bằng đồng hoặc nhôm có bọc một lớp cách điện mỏng bằng sợi thủy tinh hoặc giấy cách điện mỏng
hoặc bọc men (êmay). Đồng hoặc nhôm nguyên chất cũng được sử dụng để chế tạo các thanh dẫn rôto lồng
sóc bằng cách đúc trực tiếp vào các rãnh trên lõi thép. a) Đồng
Đồng là vật liệu có độ dẫn điện tốt thứ hai sau bạc, nhưng có giá thành rẻ hơn bạc nên được sử dụng
phổ biến làm vật liệu dẫn điện, chủ yếu dùng để chế tạo dây điện từ. Đồng nguyên chất có một số tính chất sau:
Ký hiệu trong bảng tuần hoàn: Cu.
Điểm nóng chảy: 1.085 oC.
Khối lượng nguyên tử: 63,546 u.
Khối lượng riêng: 8,96 g/cm3.
Điện trởsuất: 1,72.10–8 Ωm.
Trong chế tạo máy điện, người ta còn sử dụng đồng hợp kim, thường là đồng thau. Đồng thau là hợp
kim của đồng với kẽm. Tùy vào thành phần của đồng và kẽm, sẽ có các hợp kim với các tính chất khác
nhau. Nhiệt độ nóng chảy của đồng thau thấp (khoảng 900 oC – 940 oC), thấp hơn đồng nguyên chất (khoảng
1085 oC). Vì vậy, trong chế tạo máy điện, nó thường được sử dụng để đúc thanh dẫn rôto hoặc làm vật liệu
hàn các mối nối dẫn điện. b) Nhôm
Nhôm cũng là vật liệu dẫn điện được sử dụng khá phổ biến. Nhôm dẫn điện tốt thứ tư sau bạc, đồng
và vàng. Độ dẫn điện của nhôm chỉ bằng 2/3 của đồng nhưng lại nhẹ hơn đồng đến 2,5 lần. Nhôm nguyên
chất có một số tính chất sau:
Ký hiệu trong bảng tuần hoàn: Al.
Điểm nóng chảy: 660,3 oC.
Khối lượng nguyên tử: 26,98 u.
Khối lượng riêng: 2,7 g/cm3.
Điện trở suất: 2,826.10–8 Ωm.
Với các máy điện công suất lớn, dây quấn được chế tạo từ các thanh dẫn đồng hoặc nhôm có tiết diện
lớn, sau đó bọc cách điện và đặt vào các rãnh của lõi thép hoặc quấn thành các bối dây trước khi đặt vào rãnh các mạch từ.
1.2.2. Vật liệu cách điện
Là loại chất điện môi, có khả năng dẫn điện rất kém mà đặc trưng là điện trở suất cao và khả năng chịu
được điện trường chọc thủng cao.
Có rất nhiều loại vật liệu cách điện dùng trong chế tạo máy điện như: giấy cách điện (giấy Nomex,
giấy Polyeste, v.v.); sợi thủy tinh được tạo thành tấm như vải hoặc băng cuộn; mica dưới dạng tấm hoặc
băng cuộn; bakelit, phíp thủy tinh, sơn cách điện, dầu biến thế, v.v.. Một số vật liệu cách điện thường được
sử dụng trong chế tạo máy điện và tính chất của chúng như sau:
a) Giấy cách điện
Giấy cách điện là loại giấy làm bằng xenlulo nguyên chất có đặc tính cách điện vượt trội, độ bền cơ
học tốt, thường được sử dụng làm cách điện trong dây quấn máy biến áp. Tùy theo nhu cầu của người sử
dụng mà giấy cách điện được phân loại chủ yếu theo công năng cũng như độ dày của chúng. b) Nomex
Là vật liệu cách điện được sử dụng phổ biến trong chế tạo máy biến áp. Giấy cách điện Nomex được
chế tạo từ xenlulo cùng chất kết dính được làm từ polymer meta-aramid với công nghệ hiện đại, có thể chịu
được trường điện áp từ 18 ~ 40 kV/mm trong thời gian ngắn mà không cần xử lý thêm bằng sơn vecni và
nhựa. Nomex có độ bền rất cao và độ đàn hồi tốt, chống rách và chống mài mòn, không bị ảnh hưởng với
hầu hết các dung môi và có khả năng kháng axit cũng như kiềm rất cao, không độc hại và chống cháy. Giấy
Nomex có thể duy trì tuổi thọ đến 10 năm trong điều kiện nhiệt độ tới 220 oC.
Giấy và tấm ép Nomex trở thành giải pháp cách điện lý tưởng cho máy biến áp ngâm dầu nhờ sự kết
hợp độc đáo giữa tính ổn định nhiệt, độ bền cơ học, khả năng tương thích hóa học, khả năng chống cháy và
độ bền điện môi vốn có. Giấy Nomex 410 của hãng Achilles có 11 độ dày từ 0,05 – 0,76 mm.
c) Màng cách điện dùng Polyeste
Màng polyeste là vật liệu cách điện chịu nhiệt độ cao. Nó có các đặc tính vật lý, tính chất hóa học và
độ ổn định kích thước cũng như khả năng tái chế rất tốt. Khả năng chịu nhiệt từ –70 oC đến +200 oC, có đặc
tính chống ăn mòn và co ngót ổn định, có tính chất cơ học tốt, có độ bền, độ dẻo dai và độ bền va đập rất
cao. Màng polyeste có khả năng kháng hóa chất và kháng dầu tốt. Tuy nhiên, nó không có khả năng chống
kiềm mạnh và dễ nhiễm tĩnh điện. Trong những trường hợp bình thường, màng polyeste có vòng đời rất dài
và có thể hoạt động tốt trong phạm vi nhiệt độ tối đa từ –20 oC đến 130 oC.
Có nhiều loại giấy cách điện ứng dụng polyeste như:
+ Giấy cách điện xanh (chủ yếu do Trung Quốc sản xuất): là một sản phẩm có hai lớp, trong đó lớp
phim polyeste được liên kết với giấy xanh cách điện (“fish paper”) tạo ra một mặt sáng bóng và một mặt trơn.
Sản phẩm có tính chất cách điện và cơ học tốt, nó có thể sử dụng cho động cơ điện áp thấp làm cách
điện trong rãnh, cách điện trong máy biến áp khô công suất nhỏ. Nhiệt độ chịu đựng 120 oC.
+ Giấy cách điện trắng (phim sữa cách điện)
Đây là phim PET (polyethylene terephthalate) có thể chịu được nhiệt cũng như độ bền điện áp cao, độ
bền cơ học tốt, có thể hoạt động lâu dài trong điều kiện nhiệt độ cao, có thể tái chế và thân thiện với môi
trường. Phim sữa cách điện được ứng dụng rộng rãi cho cách điện trong máy điện quay làm cách điện rãnh,
cách điện pha, v.v. và có thể dùng làm cách điện trong máy biến áp. Nhiệt độ chịu đựng tới 130 oC. Độ dày 0,15 – 0,3 mm.
+ Màng phim polymides cách điện
Polyimides (PI) là loại polyme hiệu suất cao monome imide gồm hai nhóm C kết hợp với N. Polyimides
có khả năng chịu nhiệt độ cao lên đến 400 – 500 oC, khả năng chống hóa chất, độ bền cơ học rất tốt. Vật
liệu có khả năng giãn nhiệt thấp, độ cách điện tuyệt vời với độ bền điện môi từ 22 – 27,6 kV/mm và điện
trở suất 14 – 18.1015 Ωm. Nhiệt độ làm việc liên tục tối đa tới 360 oC (cấp C). Vật liệu này được sử dụng
để cách điện dây quấn máy điện cao áp. d) Mica
Mica là tên gọi chung cho các khoáng vật dạng tấm thuộc nhóm silicat lớp, bao gồm các loại vật liệu
có mối liên kết chặt chẽ, bị vỡ tách theo những mặt bằng phẳng khi bị tác động của lực cơ học bên ngoài.
Tên gọi “mica” có nguồn gốc từ tiếng Latinh micare, có nghĩa là “lấp lánh”, theo cách phản xạ ánh sáng
của loại khoáng vật này, đặc biệt khi chúng ở dạng mảnh nhỏ.
Trong các vật liệu cách điện dạng rắn, mica là chất cách điện tốt nhất nhưng có giá thành khá cao và
thường được dùng trong các máy có điện áp cao. Mica cách điện thường được chế tạo dưới dạng băng hoặc
tấm. Ngoài khả năng cách điện tốt, mica còn có khả năng dẫn nhiệt tốt hơn nhiều so với các vật liệu cách
điện khác, cho nên nó còn được sử dụng làm tấm ngăn cách điện giữa các linh kiện điện tử với các tấm tản
nhiệt bằng kim loại. Nhiệt độ làm việc của mica khoảng 155 oC.
Mica băng được làm bằng giấy mica phlogopite hoặc giấy mica tổng hợp ngâm tẩm với một loại nhựa
silicon đặc biệt và một miếng vải sợi thủy tinh hoặc phim PET, nó có tính linh hoạt tốt và độ bền kéo cao
nhờ sự kết hợp này. Mica băng thường được dùng để chế tạo cách điện chính cho các bối dây máy điện quay cao áp.
Mica tấm thường được dùng làm các lớp cách điện ngăn cách như tấm ngăn giữa các phiến góp của cổ
góp máy điện một chiều, hay tấm lót cách điện giữa các cực từ với vỏ máy hoặc giữa các dây quấn trên một
cực từ của máy điện một chiều hoặc máy điện đồng bộ.
e) Sơn cách điện
Sơn cách điện là vật liệu có nguồn gốc từ thiên nhiên, nhân tạo hoặc tổng hợp ở dạng lỏng có nhiệm
vụ phủ lên các bề mặt hoặc làm kết dính các vật liệu cách điện với nhau để tăng cường độ bền điện, bền cơ,
bền nhiệt và bền hóa cho sản phẩm. Là loại vật liệu ở trạng thái dung dịch, thành phần gồm có: chất tạo
màng, chất màu, chất đóng rắn, dung môi, chất pha loãng, chất làm khô. Khi quét sơn lên bề mặt sản phẩm,
hoặc ngâm nhúng sản phẩm trong dung dịch sơn, sau khi dung dịch bay hơi, còn lại gốc sơn qua một quá
trình hóa lý tạo thành màng sơn có tính chất cách điện.
Trong chế tạo máy điện, người ta thường sử dụng sơn cách điện để tẩm cho các bộ phận của máy như
dây quấn, lỗi thép, v.v., với mục đích làm đông cứng, gắn kết các chi tiết lại với nhau, tăng hệ số dẫn nhiệt
của cuộn dây và tăng tính chống ẩm. Mặt khác, sau khi tẩm cách điện, sợi hữu cơ bị hạn chế tiếp xúc với
không khí, do vậy, tính chịu nhiệt tăng lên. Độ bền điện và độ bền cơ cũng được cải thiện. f) Dầu biến thế
Dầu biến thế hay còn gọi là dầu cách điện, dầu biến áp là sản phẩm dầu nhớt chuyên dụng cho các máy
biến áp, các biến trở dầuvà các máy cắt điện, v.v., được pha chế từ dầu gốc khoáng hoặc gốc tổng hợp chất
lượng cao với các chất phụ gia giúp cải thiện hiệu quả làm việc của máy nhờ khả năng cách điện rất tốt,
khả năng bôi trơn, chống oxy hóa cao, đồng thời luôn duy trì được độ sạch của dầu và thiết bị.
Như tên gọi của nó, dầu biến thế được sử dụng chủ yếu trong ngành chế tạo máy biến áp.
Tùy vào những ứng dụng cụ thể mà người ta sử dụng những loại vật liệu cách điện khác nhau.
✤ Cấp cách điện
Cấp cách điện của máy điện được biểu thị bằng giới hạn chịu nhiệt của vật liệu cách điện, nói cách
khác là nhiệt độ mà máy có thể làm việc lâu dài mà không bị hư hỏng vật liệu cách điện. Cấp cách điện
được chia thành bảy cấp như sau:
1.2.3. Vật liệu từ
Vật liệu từ là vật liệu khi đặt vào trong một từ trường thì nó bị nhiễm từ. Tùy vào tính chất từ hóa và
khử từ, người ta chia vật liệu từ thành hai loại là vật liệu từ mềm và vật liệu từ cứng.
a) Vật liệu từ mềm (còn gọi là vật liệu sắt từ mềm)
Là vật liệu dễ từ hóa và dễ khử từ. Vật liệu sắt từ mềm thường được dùng làm vật liệu hoạt động trong
trường ngoài, ví dụ như mạch từ máy biến áp, động cơ điện, nam châm điện, các khu vực dẫn từ khác.
Thông số quan trọng đầu tiên để nói lên tính chất từ mềm của vật liệu từ mềm là lực kháng từ. Lực
kháng từ là từ trường ngoài ngược cần thiết để triệt tiêu từ độ của vật liệu. Lực kháng từ của các vật liệu từ
mềm phải nhỏ hơn cỡ 100 Oe (đơn vị của lực kháng từ là Oersted, viết tắt là Oe). Những vật liệu có tính từ
mềm tốt, thậm chí có lực kháng từ rất nhỏ (tới cỡ 0,01 Oe).
Độ từ thẩm ban đầu:ký hiệu là μi, là thông số rất quan trọng nói lên tính từ mềm của vật liệu từ mềm.
Vật liệu từ mềm có độ từ thẩm ban đầu từ vài trăm đến vài nghìn H/m, các vật liệu có tính từ mềm tốt có
thể đạt tới vài chục nghìn, thậm chí hàng trăm nghìn.
Một số loại vật liệu từ mềm thông dụng sử dụng trong chế tạo máyđiện như sau:
– Thép kỹ thuật điện (còn gọi là thép silic hay tôn silic) Đây
là loại vật liệu được sử dụng rộng rãi nhất.
Thép kỹ thuật điện là loại hợp kim của sắt (thường trên 85%) với một số nguyên tố khác, có hàm lượng
cacbon (C) thấp, trong đó silic (Si) chiếm thành phần quan trọng thường không vượt quá 4% hoặc chứa
thêm nhôm (khoảng 5,4%). Vật liệu này trên nền kim loại nên có điện trở suất thấp, do đó, không thể sử
dụng ở tần số cao vì sẽ làm xuất hiện tổn hao dòng xoáy lớn.
Thép được chế tạo dưới dạng tấm mỏng (từ 0,2 – 0,5 mm), loại càng mỏng thì giá càng cao.
Thép kỹ thuật điện thường được sơn phủ cách điện trên cả hai bề mặt nhằm giảm tổn thất do dòng điện
xoáy gây nên bởi hiệu ứng Fuco. Chúng được sản xuất theo hai công nghệ chủ yếu là cán nóng và cán lạnh.
Thép kỹ thuật điện cán nóng có khả năng dẫn từ đẳng hướng (dẫn từ mọi hướng là như nhau), thường
được dùng chế tạo mạch từ cho các loại máy điện quay và máy biến áp công suất nhỏ.
Loại sản xuất theo công nghệ cán lạnh có thể dẫn từ đẳng hướng hoặc dẫn từ dị hướng (chỉ dẫn từ tốt
theo hướng cán). Loại dẫn từ dị hướng có tổn hao thấp hơn nhiều so với loại dẫn từ đẳng hướng nên thường
được dùng chế tạo mạch từ máy biến áp truyền tải hoặc phân phối.
– Hợp kim Permalloy
Là hợp kim của niken (Ni) và sắt (Fe), có lực kháng từ rất nhỏ, độ từ thẩm rất cao (vật liệu có độ từ
thẩm ban đầu lớn tới 10000), có độ bền cơ học và khả năng chống ăn mòn cao. Tuy nhiên, permalloy có từ
độ bão hòa không cao. Vật liệu này cũng được sử dụng để làm mạch từ máy biến áp công suất nhỏ và một
số thiết bị điện khác.
– Vật liệu vô định hình và nano tinh thể
Là các hợp kim nền sắt hay coban (Co), ở trạng thái vô định hình, do đó, có điện trở suất cao hơn nhiều
so với các hợp kim tinh thể, đồng thời có khả năng chống ăn mòn, độ bền cơ học cao và có thể sử dụng ở
tần số cao hơn so với các vật liệu tinh thể nền kim loại. Vật liệu vô định hình không có cấu trúc tinh thể,
nên triệt tiêu dị hướng từ tinh thể, vì thế, nó có tính từ mềm rất tốt. Vật liệu vô định hình nền Co còn có từ
giảo bằng 0 (sự biến đổi hình dạng, kích thước dưới tác động của từ trường ngoài) nên còn có lực kháng từ
rất nhỏ. Khi kết tinh từ trạng thái vô định hình, tạo ra vật liệu nano tinh thể, là các hạt nano kết tinh trên
nền vô định hình dư, triệt tiêu từ giảo từ tổ hợp hai pha vô định hình và tinh thể nên có tính từ mềm cực tốt
và có thể sử dụng ở tần số cao.
Hiện nay, để nâng cao hiệu suất cho các máy biến áp phân phối, người ta đã lựa chọn vật liệu vô định
hình để chế tạo mạch từ và đã đạt được những kết quả rất tốt. – Thép non
Là loại thép hợp kim có hàm lượng cacbon thấp và cũng là loại vật liệu từ mềm. Nó dễ dàng từ hóa và
khử từ với tổn thất từ trễ nhỏ và thường được sử dụng chế tạo các cực từ cho máy phát điện hoặc động cơ
điện có dòng kích thích một chiều. Vỏ máy điện một chiều cũng sử dụng loại vật liệu này. b) Vật liệu từ cứng
Vật liệu từ cứng là vật liệu sắt từ, khó khử từ và khó từ hóa. Ý nghĩa của tính từ “cứng” ở đây chính
là thuộc tính khó khử từ và khó bị từ hóa, chứ không xuất phát từ cơ tính của vật liệu từ (theo vi.wikipedia).
Một số vật liệu từ cứng thường được ứng dụng trong chế tạo máy điện như sau: – AlNiCo:
Là hợp kim được sử dụng chế tạo nam châm vĩnh cửu, có thành phần chủ yếu là nhôm (Al), niken và
coban (Co), có thể có thêm các thành phần phụ gia như đồng (Cu), titan (Ti).
– Liên kim loại chuyển tiếp – đất hiếm:
Điển hình là hai hợp chất Nd2Fe14B và họ SmCo (Samarium-Cobalt), là các vật liệu từ cứng tốt nhất
hiện nay. Họ NdFeB được sử dụng rất phổ biến trong chế tạo các cực từ nam châm vĩnh cửu cho các máy
điện quay như máy điện một chiều không chổi than, máy điện đồng bộ. Vật liệu NdFeB có nhiệt độ Curie
không cao lắm (312 oC) nên không sử dụng được ở điều kiện khắc nghiệt. Nam châm đất hiếm có tích năng
lượng từ kỷ lục là Nd2Fe14B đạt tới 57 MGOe.
c) Tổn hao sắt từ
Khi vật liệu từ chịu tác động của một từ trường biến thiên theo thời gian, trong chúng sẽ xuất hiện một
tổn hao gọi là tổn hao sắt từ hay tổn hao sắt (ký hiệu pFe). Tổn hao này gồm hai thành phần là tổn hao từ trễ
và tổn hao do dòng điện xoáy.
– Tổn hao từ trễ
Tổn hao từ trễ là do sự đảo ngược liên tục sự sắp xếp của các vùng từ tính trong vật liệu từ dưới tác
động của từ trường biến thiên. Nói cách khác, đó là năng lượng cần thiết để tạo ra sự đảo ngược liên tục
các thành phần từ hóa. Theo Charles Steinmetz, tổn hao từ trễ có thể được xác định công thức kinh nghiệm sau:
Trong đó: V: thể tích của chất sắt từ; f: tần số;
kh: hệ số phụ thuộc vào vật liệu lõi; Bm: mật độ từ thông cực đại; n: số mũ
steinmetz, từ 1,5 đến 2,5 tùy vật liệu, thường bằng 2 để tính toán.
– Tổn hao dòng xoáy
Vật liệu sắt từ là vật liệu dẫn điện, từ thông biến thiên gây ra các sức điện động và dòng điện cảm ứng
trong các mạch vòng dẫn điện nội tại của vật liệu và được gọi là dòng điện xoáy. Trong vật liệu đặc, dòng
điện xoáy khá lớn bởi điện trở rất nhỏ. Dòng xoáy, sinh ra tổn hao công suất làm phát nhiệt và khử từ. Để
hạn chế tổn hao do dòng điện xoáy, người ta thường chế tạo mạch từ bằng các lá thép mỏng và phủ sơn
cách điện trên cả hai bề mặt.
1.2.4. Vật liệu kết cấu
Vật liệu kết cấu là vật liệu chế tạo các chi tiết tạo thành kết cấu máy như vỏ máy, nắp máy, trục, hộp
đấu dây, quạt gió, v.v.. Trong chế tạo máy điện, người ta thường chủ yếu sử dụng các loại vật liệu kết cấu như sau: a) Gang
Gang là hợp chất kim loại của sắt (Fe) và cacbon (C), trong đó hàm lượng C lớn hơn 2,14%. Tuy nhiên,
trong thực tế, hợp chất gang còn có chứa các nguyên tố khác như silic (Si), mangan (Mn), photpho (P) và lưu huỳnh (S).
Thành phần của gang bao gồm chủ yếu là sắt (hơn 95% theo trọng lượng), cùng các nguyên tố hợp
kim chính là cacbon và silic. Hàm lượng cacbon trong gang nằm trong miền từ 2,1% đến 4,3% trọng lượng.
Một thành phần đáng kể nữa trong gang là silic (1 – 3%). Nhiệt độ nóng chảy của gang trong khoảng từ
1150 đến 1200 oC, thấp hơn 300 oC so với sắt nguyên chất.
Gang có nhiều loại với các tính chất đặc trưng khác nhau được tạo nên do các thành phần hợp kim
gồm: gang xám, gang dẻo, gang cầu và gang trắng.
Gang xám là loại gang mà thành phần gồm toàn bộ cacbon tồn tại dưới dạng graphit tự do. Bề mặt của
gang xám ở mặt gãy có màu xám nên gọi là gang xám, đó là màu đặc trưng của graphit tự do. Đây là loại
gang phổ biến nhất, được sử dụng rộng rãi trong nhiều lĩnh vực, đặc biệt là lĩnh vực kỹ thuật, dùng để chế
tạo các chi tiết, bộ phận chịu tải trọng nhỏ và ít bị va đập như: thân máy, bệ máy, nắp máy, v.v.. Máy điện
công suất nhỏ và vừa thường dùng gang xám để đúc vỏ máy, nắp máy, thân, nắp hộp đấu dây.
Khi chế tạo các chi tiết bằng gang đúc, người ta thường phải qua một công đoạn thường hóa (để ngoài
trời khoảng thời gian hoặc ủ ở nhiệt độ cao) trước khi sử dụng để ổn định cơ tính vật liệu. b) Thép cacbon
Thép cacbon là một loại hợp kim với thành phần cơ bản là sắt và cacbon với hàm lượng cacbon dưới
2,14%. Các nguyên tố khác có mặt trong thép cacbon là không đáng kể. Thành phần phụ trợ trong thép
cacbon là mangan (tối đa 1,65%), silic (tối đa 0,6%) và đồng (tối đa 0,6%). Lượng cacbon trong thép càng
giảm thì độ dẻo của thép càng cao và ngược lại.
Thép cacbon được chia thành bốn loại cụ thể như sau:
– Thép mềm (còn gọi là thép non hay thép có hàm lượng cacbon thấp): Lượng cacbon trong thép
khoảng 0,05 – 0,29%. Thép này được sử dụng nhiều trong xây dựng, cán tấm, rèn phôi, v.v.. Trong máy
điện, thép mềm được sử dụng chế tạo vỏ máy dạng uốn tấm hoặc cắt từ các tấm thép và hàn lại tạo thành
khung vỏ, cực từ máy điện đồng bộ và máy điện một chiều.
– Thép cacbon trung bình: Lượng cacbon trong khoảng 0,30 – 0,59%. Thép có sự cân bằng giữa độ
dẻo và độ bền, đồng thời có khả chống mài mòn tốt. Trong chế tạo máy điện, thép này được sử dụng chủ
yếu chế tạo các chi tiết cơ khí như trục máy, các loại bulông, ốc, vít và các chi tiết cơ khí khác.
– Thép cacbon cao: Lượng cacbon trong khoảng 0,6 – 0,99%. Đây là loại thép rất bền vững, có tính
đàn hồi cao, chịu được cường độ lực lớn. Thép này thường dùng chế tạo lò so nén như lò xo nén các viên
than trong máy điện có cổ góp và vành trượt.
– Thép cacbon đặc biệt cao: Lượng cacbon trong khoảng 1,0 – 2,0%. Thép này sẽ đạt được độ cứng
rất cao. Nó thường được dùng cùng với các loại thép hợp kim đặc biệt để chế tạo khuôn như các loại khuôn
dập lá thép silic trong chế tạo máy điện.
c) Hợp kim nhôm
Hợp kim nhôm là hợp kim được tạo bởi kim loại nhôm và một số nguyên tố khác như đồng, thiếc,
magie, mangan, silic, v.v.. Tùy thuộc vào thành phần các chất trong hợp kim mà hợp kim nhôm có những
tính chất khác nhau và được sử dụng rộng rãi trong rất nhiều lĩnh vực từ dân dụng, công nghiệp đến hàng
không, vũ trụ. Đặc điểm quan trọng nhất của hợp kim nhôm là nhẹ, chống mài mòn tốt, nhiệt độ nóng chảy
thấp nên rất thuận lợi cho việc chế tạo bằng phương pháp đúc.
Trong chế tạo máy điện, hợp kim nhôm được sử dụng chủ yếu trong chế tạo các chi tiết kết cấu như
thân, nắp, hộp đấu dây của các máy điện quay công suất nhỏ. Hợp kim nhôm cũng được sử dụng chế tạo
quạt gió làm mát gắn trên trục các động cơ, máy phát điện bằng phương pháp đúc.
Hợp kim nhôm còn được dùng chế tạo các bạc gối trục thay thế cho các vòng bi dùng cho các động cơ
công suất lớn với tốc độ quay chậm. d) Chất dẻo
Chất dẻo, còn gọi là nhựa polyme, là các hợp chất cao phân tử, được dùng khá phổ biến làm vật liệu
sản xuất các vật dụng trong dân dụng và công nghiệp. Chất dẻo là chất liệu có khả năng bị biến dạng khi
chịu tác dụng của nhiệt, áp suất và vẫn giữ được sự biến dạng đó khi thôi tác dụng lực.
Trong chế tạo máy điện, chất dẻo được sử dụng chế tạo các chi tiết như quạt gió, nắp che quạt gió, hộp tụ điện, v.v..
1.3. CÁC CHẾ ĐỘ LÀM VIỆC VÀ CẤP BẢO VỆ CỦA MÁY ĐIỆN
1.3.1. Các chế độ làm việc của máy điện
Thông thường, dựa theo sự liên tục, chế độ làm việc của máy điện được chia thành 10 chế độ, biểu thị bằng S1 ÷ S10.
S1 là chế độ làm việc liên tục. Máy điện được vận hành với phụ tải cố định đủ thời gian để đạt tới sự
ổn định về nhiệt. Nói cách khác, ở chế độ này, máy điện có thể vận hành liên tục trong một thời gian dài
trong tình trạng phụ tải định mức.
S2 là chế độ làm việc trong thời gian ngắn. Ví dụ, S2-30 min (phút), máy chỉ được phép làm việc trong
một thời gian ngắn hạn là 30 phút với một phụ tải cố định cho trước.
S3 ÷ S8 là chế độ làm việc theo chu kỳ hay còn gọi là chế độ ngắn hạn lặp lại.
S9 ÷ S10 là chế độ làm việc không theo chu kỳ.
1.3.2. Cấp bảo vệ của máy điện
Ký hiệu là IP (Ingress Protection). Mã này bao gồm bốn chữ số để chỉ ra cấp độ kín, khả năng chống
lại sự xâm nhập của vật rắn và chất lỏng vào bên trong thiết bị theo định nghĩa của tiêu chuẩn quốc tế IEC60529.
IP_chỉ số thứ 1_chỉ số thứ 2
Chỉ số thứ 1: Khả năng của thiết bị chống lại sự xâm nhập vào bên trong của các vật rắn, đánh số từ 1 – 6. (1)
Chống sự xâm nhập của vật thể rắn có kích thước > 50 mm, ví dụ như bàn tay. (2)
Chống sự xâm nhập của vật thể rắn có kích thước > 12 mm, ví dụ như ngón tay. (3)
Chống sự xâm nhập của vật thể rắn có kích thước > 2,5 mm, ví dụ như đầu tuốc nơ vít. (4)
Chống sự xâm nhập của vật thể rắn có kích thước >1 mm, ví dụ như sợi dây thép. (5)
Bảo vệ khỏi bụi song không ngăn chặn hoàn toàn xâm nhập của bụi. Bụi không ảnh hưởng
đếnvận hành của thiết bị từ 2 đến 8 giờ. (6)
Ngăn chặn hoàn toàn sự xâm nhập của bụi từ 2 đến 8 giờ.
Chỉ số thứ 2: Khả năng của thiết bị chống lại sự xâm nhập vào bên trong của các chất lỏng, đánh số từ 1 – 8. (1)
Bảo vệ chống được nước nhỏ giọt theo phương thẳng đứng. (2)
Bảo vệ chống được nước nhỏ giọt theo phương thẳng đứng và phương nghiêng với góc 15o. (3)
Bảo vệ chống được nước phun với góc 60o so với phương thẳng đứng trong 3 phút. (4)
Bảo vệ chống được nước xâm nhập từ mọi hướng. (5)
Bảo vệ chống được tia nước phun từ mọi hướng. (6)
Bảo vệ chống được tia nước phun áp lực lớn hoặc sóng biển từ mọi hướng. (7)
Bảo vệ chống được nước xâm nhập khi ngâm trong nước với độ sâu từ 15 – 100 cm trong 30 phút. (8)
Bảo vệ chống được nước xâm nhập làm việc lâu dài trong nước với áp lực lớn. Ví dụ:
Hình 1.2. Ví dụ về cấp cách điện và cấp bảo vệ được ghi trên nhãn động cơ điện.
CÂU HỎI VÀ BÀI TẬP
1.1. Trong định luật cảm ứng điện từ, thanh dẫn có chiều dài l chuyển động với vận tốc v, vuông góc
với các đường sức từ trong một từ trường đều, dài vô hạn. Hãy nêu giải pháp tạo ra từ trường này?
1.2. Để tạo ra một sức từ động 1000 Avg, người ta đã cho một dòng điện 1 A chạy trong một cuộn dây 1000 vòng. Hỏi:
a) Nếu cuộn dây chỉ có 750 vòng mà muốn giữ nguyên sức từ động thì cần cung cấp cho cuộn dây
dòng điện bằng bao nhiêu?
b) Nếu mật độ từ thông trong lõi thép là 1,3 T, tiết diện lõi là 6 cm2, chiều dài trung bình mạch từ là
1,0 m thì từ trở của mạch từ là bao nhiêu?
1.3. Một cuộn dây N vòng quấn quanh một lõi thép như hình bên dưới. Người ta đưa vào cuộn dây
một dòng điện 1,5 A để tạo ra trong lõi thép một từ cảm B = 1,1 T. Hỏi:
a) Muốn giữ nguyên từ thông trong lõi thép khi phải giảm dòng điện xuống 1 A thì số vòng dây quấn
trên lõi thép phải thay đổi như thế nào?
b) Cho bán kính trong và ngoài lõi thép hình xuyến lần lượt là 4 cm và 6 cm, mặt cắt ngang tiết
diệnchữ nhật có chiều dày là 2 cm. Tính từ thông và sức từ động cần thiết để tạo ra từ thông đó, biết độ từ
thẩm của vật liệu μr = 104. 1.4.
Trên nhãn một máyđiện có ghi cấp cách điện là B. Giải thích ý nghĩa của ký hiệu này. 1.5.
Một máy điện sử dụng dây quấn bằng đồng có tiết diện 1 mm2. Khi dây quấn bị cháy, người
ta thay thế dây quấn cũ bằng dây quấn mới với vật liệu bằng nhôm và tiết diện dây quấn vẫn giữ nguyên.
Hỏi công suất máy thay đổi thế nào sau khi thay đổi vật liệu dây quấn như trên? 1.6.
Trên nhãn máy điện có ghi cấp bảo vệ IP44. Giải thích ý nghĩa của ký hiệu này. 1.7.
Sơn cách điện thường được sử dụng với mục đích gì khi chế tạo máy điện? 1.8.
Có hai máy điện có cùng công suất và điện áp. Một máy ghi chế độ làm việc là S1, máy
còn lại ghi S3. Giải thích sự khác nhau về chế độ làm việc của hai máy nêu trên. 1.9.
Khi đo dòng điện tiêu thụ của một thiết bị, người ta sử dụng đồng hồ Ampe kìm và quấn
10 vòng dây vào một nhánh kìm của dụng cụ đo như hình dưới. Biết dòng điện trong dây dẫn là 0,4 A.
Hỏi số chỉ của Ampe kìm là bao nhiêu?
Bài tập giải mẫu
Cho mạch từ hình xuyến như hình bên với bán kính ngoài và trong theo thứ tự có kích thước là 6 và
5 cm. Cuộn dây gồm N = 500 vòng được quấn quanh lõi để sinh ra từ thông tổng là 150.10–5 Wb trong lõi.
Nếu cường độ từ trường trong lõi là 1000 Avg/m, xác định:
a) Chiều dài trung bình đường đi của từ thông trong lõi hình xuyến l và tiết diện mặt cắt vuông góc với từ thông S.
b) Mật độ từ thông trong lõi.
c) Sức từ động cần thiết.
d) Độ lớn dòng điện chạy trong cuộn dây hình xuyến. Giải:
a) Chiều dài trung bình vòng xuyến:
Tiết diện mặt cắt ngang:
b) Mật độ từ thông trong lõi là:
c) Sức từ động cần thiết là:
d) Dòng điện chạy trong dây quấn:
Chương 2 MÁY BIẾN ÁP
2.1. CÁC KHÁI NIỆMCƠ BẢN 2.1.1. Định nghĩa
Máy biến áp (MBA) là thiết bị điện từ tĩnh (đứng yên), làm việc theo nguyên lý cảm ứng điện từ, dùng
để biến đổi dòng điện xoay chiều từ cấp điện áp này sang cấp điện áp khác nhưng vẫn giữ nguyên tần số. 2.1.2. Ký hiệu
Hình 2.1. Ký hiệu máy biến áp.
Hình 2.2. Hình ảnh máy biến áp phân phối.
Máy biến áp dầu ba pha (a) và một pha (b), máy biến áp khô ba pha (c).
Trong quá trình phân tích MBA, để dễ hình dung, người ta hay dùng sơ đồ mô phỏng như hình 2.3. Sơ
đồ này không dùng trong các bản vẽ sơ đồ mạch điện.
Hình 2.3. Ký hiệu mô phỏng MBA một pha (a) và ba pha (b) hai dây quấn. 2.1.3. Cấu tạo
MBA có cấu tạo gồm nhiều bộ phận, song có hai bộ phận chính: a) Lõi thép
Còn gọi là mạch từ, được ghép bới nhiều lá thép kỹ thuật điện mỏng lại với nhau tạo thành khung.
Phần có dây quấn xung quanh gọi là trụ; phần nối giữa các trụ gọi là gông. Lõi thép dùng để dẫn từ thông chính trong MBA.
Khi sử dụng tôn cán lạnh làm mạch từ, người ta thường cắt chéo tôn ở các mối ghép giúp cho từ thông
thuận chiều đi theo hướng cán để giảm tổn hao. Vì mạch từ phẳng ba pha thường có dòng điện từ hóa giữa
các pha không cân bằng do chiều dài đường đi của từ thông khác nhau, cho nên để khắc phục, người ta chế
tạo mạch từ không gian như hình 2.6.
Hình 2.4. Mạch từ phẳng máy biến áp ba pha (a) và một pha (b).
Hình 2.5. Một số cách ghép các lá tôn tạo thành mạch từ máy biến áp ba pha.
Hình 2.6. Mạch từ ba pha không gian (a); mặt cắt của trụ và gông máy biến áp (b).
Mạch từ có thể chế tạo bằng cách ghép các lá tôn cắt rời lại với nhau như hình 2.5, song cũng có thể
dùng tôn cắt dài theo hướng cán và quấn lại. Tiết diện mạch từ thường có dạng gần hình tròn như hình 2.6b.
Người ta xếp hoặc quấn tôn thành các bậc để tiết diện trụ gần với hình tròn. Về lý thuyết, số bậc trụ càng
nhiều thì đường bao càng gần với đường tròn. Tuy nhiên, do chi phí về máy móc, nhân công và vật liệu cao
nên tùy từng trường hợp mà người ta thiết kế số bậc cho phù hợp. b) Dây quấn
Còn gọi là mạch điện, được quấn bởi các sợi dây điện từ (một hoặc nhiều sợi chập lại với nhau để tăng
tiết diện), hoặc các tấm kim loại mỏng quấn theo kiểu xoáy ốc và cách điện giữa các lớp với nhau, tạo thành
các vòng xung quanh lõi thép (quấn quanh trụ). Vật liệu chế tạo dây quấn thường là đồng hoặc nhôm. Dây
quấn có nhiệm vụ cảm ứng các sức điện động theo yêu cầu và là nơi nhận năng lượng từ lưới, đồng thời
truyền năng lượng cho phụ tải. Cuộn dây nhận năng lượng từ lưới gọi là cuộn sơ cấp, cuộn cung cấp năng
lượng cho tải gọi là cuộn thứ cấp.
Hình 2.7. Cấu tạo máy biến áp ba pha.
1. Cuộn cao áp; 2. Cuộn hạ áp, 3. Mạch từ.
Dây quấn máy biến áp có nhiều kiểu kết cấu khác nhau tùy theo công suất và cấp điện áp của máy.
Mục đích của các kiểu kết cấu khác nhau là để thuận tiện cho việc chế tạo, tiết kiệm không gian, giảm kích
thước máy và tăng độ bền cách điện cho dây quấn, nhằm kéo dài tuổi thọ của máy biến áp. Về cơ bản, có
một số kiểu dây quấn như sau:
– Dây quấn kiểu ống trụ nhiều lớp. Dây quấn này được quấn trên khung quấn dây, vòng nọ liên tiếp
vòng kia và chia thành nhiều lớp. Giữa các lớp có lót cách điện. Kiểu quấn này đơn giản, dễ chế tạo, độ
bền cơ học tốt, song có nhược điểm là điện áp lớp phân bố không đều và cao gấp đôi so với điện áp mỗi
lớp. Đầu vào và đầu ra của dây quấn ở lớp trong cùng và lớp ngoài cùng nên khi đấu dây ở đầu phía trong gặp nhiều khó khăn.
– Dây quấn ống trụ phân đoạn. Thực chất, đây là kiểu ống trụ nhưng được chia thành nhiều phân
đoạn (thường là giống nhau). Mục đích là giảm điện áp lớp, tạo khe hở thông dầu hoặc thông khí ngang
trục, thuận lợi hơn cho việc làm mát. Người ta thường chia thành số đoạn chẵn để các đầu dây ra ở lớp
ngoài cùng thuận lợi cho việc đấu nối.
Hình 2.8. Dây quấn máy biến áp.
Kiểu ống trụ (a); Kiểu xoắn kép (b); Kiểu xoáy ốc liên tục (c).
– Dây quấn xoắn. Có hai loại là xoắn đơn và xoắn kép (hình 2.8a, b). Dây quấn này thường thiết kế
cho dây quấn hạ thế của máy công suất trung bình và lớn khi tiết diện dây quấn lớn và được chập lại từ
nhiều sợi dây có kích thước như nhau cho đủ tiết diện. Xoắn đơn thì chỉ có một nhóm sợi chập theo chiều
ngang ống dây. Khi quấn, người ta để khoảng cách lớn giữa các vòng dây để tạo không gian cho việc hoán
vị các sợi dây, sao cho sau khi quấn, chiều dài các sợi là như nhau. Dây quấn xoắn kép là hai dây quấn xoắn
đơn ghép lại song song theo chiều dọc ống dây. Lợi thế của dây quấn này là quấn được số sợi chập lớn hơn
và hoán vị so le giúp tận dụng tốt hơn chiều cao ống dây.
– Dây quấn xoáy ốc liên tục. Dây quấn này thường dùng cho các máy công suất lớn cho cả cuộn cao
áp và hạ áp như hình 2.8c. Đặc điểm của dây quấn này là người ta chia cuộn dây thành nhiều bánh dây (gọi
là galet). Mỗi galet được quấn một sợi dây chữ nhật (có thể chập nhiều sợi) quấn đè lên nhau theo chiều
ngang tạo thành một vòng xoáy ốc liên tục. Trong mỗi galet, người ta cũng hoán vị dây nếu số sợi chập lớn.
Dây quấn này bền về kết cấu, giảm được điện áp lớp tối đa, song quấn khá phức tạp.
Dù là cuộn sơ cấp hay thứ cấp, để đảm bảo khoảng cách cách điện với mạch từ, trong MBA, người ta
thường đặt cuộn dây có điện áp thấp (cuộn hạ áp) ở phía trong (gần lõi thép) và cuộn dây có điện áp cao
(cuộn cao áp) ở phía ngoài như hình 2.7.
Ngoài hai bộ phận chính, MBA còn có các bộ phận khác như: vỏ, sứ, thiết bị chuyển mạch, thiết bị đo
lường, bảo vệ, làm mát, v.v. như hình 2.9.
Hình 2.9. Các bộ phận của máy biến áp dầu.
2.1.4. Nguyên lý làm việc của máy biến áp
Hình 2.10. Nguyên lý máy biến áp.
Khi đưa dòng điện xoay chiều vào cuộn sơ cấp N1, dòng điện này kết hợp với số vòng dây cuộn sơ cấp
tạo nên sức từ động của cuộn sơ cấp và tạo ra từ thông chạy trong lõi thép (theo định luật Ohm trong mạch
từ), dòng điện này được gọi là dòng điện từ hóa hay dòng điện không tải I0. Từ thông Φ được tạo ra biến
thiên và móc vòng qua cả hai cuộn dây sơ cấp N1 và thứ cấp N2, đồng thời cảm ứng trên hai dây quấn các
sức điện động e1 và e2 theo định luật cảm ứng điện từ. Các sức điện động này tỷ lệ với số vòng dây của mỗi
cuộn và có trị số hiệu dụng là E1 và E2. Khi nối cuộn thứ cấp với tải, cuộn thứ cấp sẽ cung cấp cho tải một
dòng điện I2 và hình thành điện áp trên tải bằng với điện áp của cuộn thứ cấp U2. Điện áp này thường sai
khác với sức điện động ban đầu một lượng ΔU. ΔU lớn hay nhỏ phụ thuộc vào độ lớn và tính chất của tải.
Khi có tải, dòng điện sơ cấp cũng tăng lên và có giá trị I1 để bù trừ lại sức từ động do dòng điện trong cuộn
dây thứ cấp sinh ra, giữ cho từ thông trong lõi thép không đổi.
Trên thực tế, khi từ thông được hình thành thì không phải toàn bộ đều chạy khép kín trong chu vi mạch
từ mà có một phần tản mát ra ngoài và chỉ khép kín trên một phần của mạch từ. Phần từ thông này được
gọi là từ thông tản, ký hiệu Φσ. Do lượng từ thông này rất nhỏ nên trong phần nguyên lý làm việc, chúng ta
bỏ qua ảnh hưởng của nó và coi máy biến áp đang xét là một máy biến áp lý tưởng. Nếu gọi k là tỷ số biến
đổi của máy biến áp thì:
U1, U2 là điện áp đặt vào cuộn sơ cấp và lấy ra trên cuộn thứ cấp; N1,
N2 lần lượt là số vòng dây trên cuộn sơ cấp và thứ cấp.
2.1.5. Các thông số kỹ thuật cơ bản của máy biến áp
Ngoài ra, còn các thông số khác như: cấp cách điện, kiểu bảo vệ, kiểu làm mát, v.v..
2.1.6. Phân loại máy biến áp
a) Theo lĩnh vực sử dụng: Có máy biến áp điện lực; máy biến áp điều khiển; máy biến áp đo lường;
máy biến áp chỉnh lưu; máy biến áp thí nghiệm, v.v..
b) Theo môi chất làm mát: Có máy biến áp dầu; máy biến áp khô.
c) Theo kết cấu dây quấn: Có máy biến áp hai dây quấn; máy biến áp tự ngẫu; máy biến áp nhiều dây quấn, v.v..