


















Preview text:
BÀI TẬP CHƯƠNG III: ĐỘ CO GIÃN
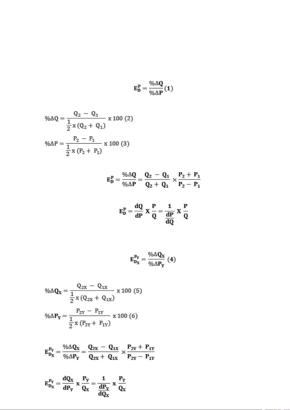
1. Co giãn của cầu theo giá hàng hóa đó 1. 1. Co giãn khoảng Trong đó:
Thay (2) và (3) vào phương trình (1) ta có: 1.2.2. Co giãn điểm
2. Co giãn chéo của cầu theo giá hàng hóa khác - Co giãn khoảng: Trong đó:
Thay (5) và (6) vào phương trình (4) ta có: - Co giãn điểm:
3. Co giãn của cầu theo thu nhập - Co giãn khoảng Trong đó:
Thay (8) và (9) vào phương trình (7) ta có: - Co giãn điểm
Câu 1: Hàm cầu về sữa tươi của một cửa hàng như sau: Qd = 240 – 60P (Qd = aP + b , a<0)
a. Tính độ co giãn điểm tại mức giá P = 2, P = 3
b. Tính độ co giãn khoảng của cầu khi giá thay đổi từ P = 2 đến P =3.
c. Tại mức giá nào doanh thu lớn nhất. GIẢI a. Co giãn điểm
+ Với P = 2 → Q = 240 – 60P = 120 + Edp = -60*(2/120) = -1
=> |Edp| = 1: Cầu co giãn đơn vị
Ý nghĩa: Khi giá thay đổi 1%, lượng cầu thay đổi 1%.
+ Với P = 3 → Q = 240 – 60P = 60 (Tìm Q) + Edp = -60*(3/60) = -3
=> |Edp| = 3 >1 : Cầu co giãn
Ý nghĩa: Khi giá thay đổi 1%, lượng cầu thay đổi 3% b. Co giãn khoảng
+ Với P1 = 2 → Q1 = 240 – 60P = 120
+ Với P2 = 3 → Q2 = 240 – 60P = 60
+ Edp = [(60 - 120)/(60+120)] X [(3+2)/(3-2)] = -1,67
+ Ý nghĩa: Khi giá thay đổi 1%, lượng cầu thay đổi 1,67%.
c. Doanh thu lớn nhất: Doanh thu đạt giá trị cực đại ❖ Cách 1
TR = P*Q = P*(240 – 60P) = 240P - 60P2 TRmax <=> TR’ = 0 <=> MR = 0
<=> MR = TR’ = 240 - 120P = 0 <=> P* = 2
Với P* = 2 → Q* = 240 – 60P = 120
Vậy Doanh thu đạt giá trị lớn nhất tại P* = 2 và Q* = 120
TRmax = P*Q = 2*120 = 240 ❖ Cách 2
TRmax <=> Edp = -1 (co giãn điểm)
→P = 2 và Q = 120
Câu 2: Hàm cầu 1 loại hàng hóa A: Q = 10I + 100 I triệu đồng Q chiếc
a. Tính EDI tại mức thu nhập 10 triệu đồng
b. EDI =? Khi thu nhập tăng thêm 5 triệu đồng c. A là hàng hóa gì? a. Co giãn điểm
+ Với I = 10 → Q = 10I + 100 = 200 + Edi = 10*(10/200) = 0,5
+ Ý nghĩa: Khi thu nhập thay đổi 1% thì lượng cầu thay đổi 0,5%.
b. Khi thu nhập tăng thêm 5: I = 10 + 5 = 15 - Co giãn khoảng
+ Với I = 10 → Q = 10I + 100 = 200
+ Với I = 15 → Q = 10I + 100 = 250
+ Edi = [(250 - 200)/(250+200)] X [(15+10)/(15 - 10)] = 0,56
+ Ý nghĩa: Khi thu nhập thay đổi 1% thì lượng cầu thay đổi 0,56%
+ Ta có 1> Edi = 0,56 > 0 → A là hàng hóa thiết yếu.
- Co giãn điểm tại mức thu nhập I = 15
+ Với I = 15 → Q = 10I + 100 = 250 + Edi = 10*(15/250) = 0,6
+ Ý nghĩa: Khi thu nhập thay đổi 1% thì lượng cầu thay đổi 0,6%
+ Ta có 1> Edi = 0,6 > 0 → A là hàng hóa thiết yếu.
Câu 3: Tại trạng thái cân bằng có P = 40 và Q = 20 độ co giãn của cung và cầu theo giá lần
lượt là ESP = 2 và EDP = -2/3.
a. Viết phương trình cung cầu (Giả sử hàm cầu, hàm cung là tuyến tính).
b. Vẽ đồ thị minh họa. GIẢI Trạng thái cân bằng Qd = Qs = Qe = 20 Pd = Ps = Pe = 40
+ Giả sử phương trình đường cầu tuyến tính có dạng : (hoặc : Pd = aQ + b, a<0)
Qd = aP + b (a<0)
=> (Qd)’p = (aP + b)’p = (aP)’p + (b)’p = a+ 0 = a
+ Tại P = 40 và Q = 20 ta có Edp = -2/3 Edp = a*(40/20) = -2/3
→ a = -1/3 (thoản mãn điều kiện a<0)
+ Ta có với Pd = 40 thì Qd = 20 và a = -1/3 Qd = -1/3P + b 20 = -1/3*40 + b → b = 100/3
Vậy, phương trình đường cầu tuyến tính có dạng : Qd = -1/3P + 100/3 (→ Pd = -3Q + 100)
+ Giá sử phương trình đường cung tuyến tính có dạng : Qs = cP + d (c>0)
+ Tại P = 40 và Q = 20 ta có Esp = 2 Esp = dQ/dP*(P/Q) Esp = c*(40/20) = 2 → c = 1 (thỏa)
+ Ta có với P = 40 thì Q = 20 và c =1 Qs = 1*P + d 20 = 1*40 + d → d = -20
Vậy, phương trình đường cung tuyến tính có dạng : Qs = P - 20 (→ Ps = Q + 20) P S Pe = 40 E D 0 Q Qe = 20
Câu 4 :Doanh thu của DN sẽ thay đổi bao nhiêu phần trăm nếu DN tăng giá 20%? Biết rằng
độ co giãn của cầu theo giá trong khoảng giá này bằng -2. Edp = %∆Q/%∆P = -2
%∆P = +20% => P2 = 1,2P1 (lưu ý : chúng ta chọn P1 làm gốc) %∆P = (P2 -P1)/P1
Nếu sử dụng phương pháp trung điểm : %∆P = (P2 - P1)/[1/2(P2 + P1)]=> P2 =. . . . P1
Edp = %∆Q/%∆P = -2 => %∆Q = -2 * %∆P = -2*20% = -40%
=> %∆Q = -0,4 = -40% => Q2 = 0,6 Q1 TR1 = P1*Q1
=> TR2 = P2*Q2 = 1,2P1* 0,6Q1 = 0,72(P1*Q1) = 0,72*TR1
=> TR2 = 0,72 TR1 (giảm 28%)
Câu 5: Hệ số co giãn của cầu theo thu nhập đối với hàng hóa X là 1,2. năm ngoái sản lượng
tiêu thụ hàng hóa X là 1500 chiếc. Nếu thu nhập tăng lên 8% (ceteris paribus) thì năm nay
sản lượng tiêu thụ sẽ là bao nhiêu? I2 = I1 +8%I1 = 1,08I1
%∆I = (I2 - I1)/I1 = (1,08I1 - I1)/I1 = 0,08I1/I1 = 0,08 = + 8% Edi = %∆Q/%∆I = 1,2 %∆I =+8% => %∆Q = 0,096 = 9,6%
=> Q2 = Q1 + 0,096*Q1 = 1644 (Với Q1 = 1500) Câu 6:
a. Viết hàm cung, hàm cầu?
b. Tính giá và lượng cân bằng TT. Tìm EDP và ESP ở mức giá đó? (co giãn điểm tại mức giá cân bằng )
c. Nhà nước quy định giá trần là 14.000đ thì điều gì sẽ xảy ra?
d. So sánh PS, CS và TS ở mức giá cân bằng và khi có giá trần
e. Minh họa kết quả trên đồ thị P(1000đ) QD QS 10 100 40 12 90 50 14 80 60 16 70 70 18 60 80 20 50 90 GIẢI
a. + Giả sử phương trình đường cầu tuyến tính có dạng Qd = aP+ b (a<0) 100 = 10a + b 90 = 12 a + b => a = -5 => b= 150 Pd = aQ + b (a<0)
+ Với P = 10, Qd = 100 + Với P = 12, Qd = 90 Ta có hệ phương trình: 10 = 100a + b 12 = 90a + b a = -0,2 (thỏa) b = 30
Vậy, phương trình đường cầu tuyến tính có dạng + Pd = -0,2Q + 30 => Qd = -5P + 150 + Qs = 5P -10 + Ps = 0,2Q + 2
b. Thị trường đạt trạng thái cân bằng <=> Qd = Qs = Qe Pd = Ps = Pe Pd = Ps <=> -0,2Q + 30 = 0,2Q +2 <=> 0,4Q =28
<=> Qe = 70 → Pe = Pd = Ps = 16
+ Giá và sản lượng cân bằng: Pe = 16 và Qe = 70 + Edp = -1,14
Ý nghĩa: Khi giá thay đổi 1%, lượng CẦU thay đổi 1,14% + Esp = 1,14
Ý nghĩa: Khi giá thay đổi 1%, lượng CUNG thay đổi 1,14% + Tại Giá trần: P = 14 → Qs = 60 → Qd = 80
Ta có: Qd = 80 > Qs = 60. Vậy, thị trường rơi vào trạng thái THIẾU HỤT
+ Lượng thiếu hụt: 80 - 60 = 20 (đvsp)
Câu 7: Hàm cung thị trường về hàng hóa X là QS= -30 + 10P. Tại mức giá P = 4(đồng) và
sản lượng Q = 10(sp) độ co giãn của cầu theo giá hàng hóa X là EDP = -2.
1. Xác định hàm cầu thị trường hàng hóa X, biết hàm cầu là tuyến tính. Tính giá và sản lượng cân bằng.
2. Nếu giá được quy định là 3 đồng thì trên thị trường sản phẩm X sẽ dư thừa hay thiếu
hụt bao nhiêu? So sánh CS, PS và TS tại giá CB và sau khi có quy định giá 3 đồng.
3. Nếu Chính phủ ko can thiệp vào giá mà đánh thuế t = 1 (đồng/sp). Tìm giá và sản
lượng cân bằng mới? Xác định gánh nặng thuế?
4. Minh họa kết quả trên đồ thị. Giải
a. Giả sử hàm cầu tuyến tính có dạng: Qd = aP + b (a<0)
Ta có: Tại P = 4 và Q = 10 => Edp = -2
=> Edp = a*(4/10) = -2 => a = -5 Với a = -5 và P = 4, Q =10 Qd = aP + b 10 = -5*4 + b => b = 30
+ Hàm cầu: Qd = -5P + 30 → Pd = -1/5Q + 6 + Hàm cung: Qs = -30 +10P
+ Giá và sản lượng cân bằng: Qd = Qs -5P + 30 = -30 +10P 15P = 60 Pe = 4 Qe = 10 b. Với P = 3 →Qd = 15 → Qs = 0 Ta có: Qd = 15 > Qs = 0
Vậy, thị trường rơi vào trạng thái thiết hụt sản phẩm.
+ Lượng thiếu hụt : 15 - 0 = 15 (đvsp) c. Đánh thuế : Qd = Qs = Qet Pd = Ps + t
+ Hàm cầu: Qd = -5Pd + 30 + Hàm cung: Qs = -30 +10Ps -5Pd + 30 = -30 +10Ps Pd = Ps + 1 Pd = 4,67 Ps = 3,67 Kiểm tra : Pd - Ps = t => 4,67 - 3,67 = 1 (Đúng)
→ Qet = 6,67 (Qd = Qs = Qet) So sánh : Pe = 4 Qe = 10
+ Xác định gánh nặng thuế :
- Gánh nặng thuế của người sản xuất : 4 - 3,67 = 0,33 = Pe - Ps = tsx
- Gánh nặng thuế của người tiêu dùng : 4,67 - 4 = 0,67 = Pd - Pe = ttd
- Thuế Chính phủ thu được/đvsp : t = tsx + ttd = 0,33 + 0,67 = 1
- Tổng số thuế mà chính phủ thu được :
= thuế/đvsp * số lượng sản phẩm = t * Qet
= 1*6,67 = 6,67 (đvt)
Câu 8: Hàm cung, hàm cầu thị trường về hàng hóa X là Qs= -30 + 10P Qd= 30 - 5P
a. Xác đinh giá và sản lượng cân bằng. Vẽ đồ thị minh họa?
b. Khi cầu tăng 20% thì giá và sản lượng cân bằng thay đổi như thế nào?
c. Nếu giá được quy định là 3,5 đồng thì trên thị trường sản phẩm X sẽ dư thừa hay thiếu
hụt bao nhiêu? Minh họa kết quả trên đồ thị.
d. Nếu Chính phủ ko can thiệp vào giá mà đánh thuế t = 1 (đồng/sp). Tìm giá và sản lượng
cân bằng mới? Xác định gánh nặng thuế mà người sản xuất, người tiêu dùng phải chịu?
Minh họa kết quả trên đồ thị. Gợi ý
a. Thị trường đạt trạng thái cân bằng <=> Qd = Qs Qe = 10 Pe = 4 b. Cầu tăng 20%
+ Phương trình đường cầu mới : Qd’ = 100%Qd + 20%Qd
Qd’ = 120% Qd = 1,2 Qd = 1,2*(30 - 5P) <=> Qd’ = 36 - 6P
+ Thị trường đạt trạng thái cân bằng MỚI <=> Qd’ = Qs <=> 36 - 6P = -30 + 10P <=> 16P = 66 →Pe’ = 4,125 → Qe’ = 11,25 c. Với P = 3,5 → Qs= -30 + 10P = 5 → Qd= 30 - 5P = 12,5
Ta có : Qs = 5 < Qd = 12,5. Thị trường xảy ra hiện tượng THIẾU HỤT sản phẩm
+ Lượng thiếu hụt : 12,5 - 5 = 7,5 c. Đánh thuế : Qd = Qs = Qet Pd = Ps + t Pe = 4 Ps = 11/3= 3,67 Pd = 14/3= 4,67 Qet = 20/3= 6,67 ttd = 0,67 tsx = 0,33
Câu 9: Giá thuốc lá A trên thị trường là P = 5 (nghìn đồng/bao), sản lượng trao đổi là 20
(nghìn bao). Độ co giãn của cung và cầu theo giá tại mức giá hiện hành lần lượt là 1,25 và -0,5.
a. Hãy xác định hàm cung và hàm cầu thị trường thuốc lá A (biết rằng hàm cung và hàm cầu là tuyến tính).
b. Chính phủ đánh một khoản thuế t (nghìn đồng/bao) vào người sản xuất làm đường cung
thay đổi. Xác định giá và sản lượng cân bằng mới, biết độ co giãn của cầu theo giá tại đây là
-2. Xác định khoản thuế t ở trên.
c. Tính khoản tổn thất của xã hội do thuế gây ra. GIẢI Trạng thái cân bằng Qd = Qs = Qe = 20 Pd = Ps = Pe = 5 a.
+ Phường đường hàm cung tuyến tính có dạng : Qs = 5P -5 → Ps = 0,2Q + 1
+ Phường đường hàm cầu tuyến tính có dạng : Qd = -2P + 30 → Pd = - 0,5Q + 15
+ Giá và sản lượng cân bằng : Qd = Qs Pe = 5, Qe = 20 Pd = Ps +t Qd = Qs =Qet b.
Đánh thuế -> Người sản xuất - > Đường cung dịch chuyển giảm
Đường cầu không đổi : phương trình đường cầu trước và sau thuế là MỘT. Qd = Qs = Qet Pd = Ps + t Muốn biết t = ?
Chúng ta phải có : Pd và Ps Qet = Qs = Qd ❖ Cách 1
+ Tại điểm cân bằng mới (khi người sx bị đánh thuế) Et (Qet, Pet) Edp = -2 = -2*(Pet/Qet) = -2 → Pet/Qet = 1 →Pet = Qet
+ Chính phủ đánh thuế t đồng/đvsp vào người sản xuất Qd = Qs = Qet Pd = Ps + t Qd = -2Pd +30 =Qs = Qet Pd = Pet = Qet Pd = -2Pd + 30 3Pd = 30 → Pd = Pet = 10 → Qet = Qd = Qs = 10 Ta có: Qs = 10 = 5Ps -5 →Ps = 3 Ta có : Pd = 10 và Ps = 3 Suy ra : t = Pd - Ps = 7 Vậy : t = 7 Pd = 10 = Pet Ps = 3 Qd = Qs = Qet = 10 (Pet = Qet) ❖ Cách 2
+ Chính phủ đánh thuế t đồng/đvsp vào người sản xuất + Đường cung thay đổi
+ Đường cầu không đổi. Qd = Qs = Qet Pd = Ps + t
+ Tại điểm cân bằng mới (khi người sx bị đánh thuế) Et (Qet, Pet) Edp = -2
Edp = -2*(Pd/Qd) = -2*(Pd/Qd) = -2 => Pd = Qd + Ta có : Qd = -2Pd + 30 Qd = -2Qd + 30 3Qd = 30
= > Qd = 10 = Qs = Qet => Pd = 10 + Với Qs = 10 Qs = 5Ps -5 10 = 5Ps - 5 Ps = 3 => t = Pd - Ps = 10 - 3 =7 Vậy : + Pd = Pet = 10 + Ps = 3 + t = 7 + Qd = Qs =Qet = 10 ❖ Cách 3 Qd = -2P + 30
Tại giá và sản lượng cân bằng mới, độ co giãn của cầu theo giá = -2
Edp = -2*(Pet/Qet) =-2*(Pd/Qd) = -2
Edp = -2*(Pd/Qd) = -2*(Pd/-2Pd + 30) = -2 →Pd = 10 →Qd = Qs = Qet = 10 Qs = 5P -5 =10 + Với Qs = 10 = → Ps = 3 + Ta có : Pd = Ps + t → t = Pd - Ps = 10 - 3 = 7
Câu 10: Giá một hàng hóa trên thị trường là P = 8$/1000 sản phẩm, sản lượng trao đổi là 20
nghìn sản phẩm. Độ co giãn của cung và cầu theo giá tại mức giá hiện hành lần lượt là 0,4 và -0,8.
a. Hãy xác định hàm cung và hàm cầu thị trường sản phẩm trên (biết rằng hàm cung, hàm cầu là tuyến tính).
b. Chính phủ can thiệp vào thị trường bằng việc ấn định mức giá Po làm cho hàng hóa trên
thị trường dư thừa 3000 sản phẩm. Xác định mức giá Po.
c. Tính CS,PS và TS tại mức giá Po, và xác định khoản tổn thất của xã hội do mức giá này gây ra. GIẢI Pe = 8, Qe = 20 Edp = -0,8 Esp = 0,4
a. Xác định hàm cung, hàm cầu.
+ Hàm cung: Qs = P + 12 → Ps = Q - 12
+ Hàm cầu: Qd = 36 - 2P → Pd = -0,5Q + 18
+ Thị trường đạt trạng thái cân bằng: <=> Qd = Qs => Pe = 8, Qe = 20
b. CP áp dụng giá Po làm thị trường dư thừa 3000 sản phẩm.
+ Thị trường dư thừa: Qs > Qd
+ Lượng dư thừa: Qs - Qd = 3 + Với Po
→ Qs = P + 12 → Qs = Po + 12
→ Qd = 36 - 2P → Qd = 36 - 2Po
<=> Po + 12 - (36 - 2Po) = 3
<=> Po + 12 -36 + 2Po = 3 <=> 3Po = 27 <=> Po = 9 Với Po = 9 → Qs = 21 → Qd = 18
+ Ta có: Qs = 21 > Qd = 18: dư thừa
+ Lượng dự thừa: 21 - 18 = 3 (nghìn sp) = 3.000 (sp)
Câu 11: Hàm cầu về sản phẩm X của một hãng như sau:
Qx = 20 - 3Px + 2I + 4Py
Q(1000 sp); P và I (triệu đồng)
Qx là lượng cầu về sp X, X có giá Px, I là thu nhập và Py là giá của sp Y.
Giả sử năm nay: Px = 2, I = 4, Py = 2,5
a. Tính lượng bán của sản phẩm X trong năm nay?
b. Tính hệ số co giãn của cầu theo giá hàng hoá X, theo thu nhập, theo giá hàng hoá Y?
c. Dự đoán lượng bán sản phẩm X trong năm tới nếu hãng giảm giá X 15%, thu nhập tăng 10%, giá Y giảm 10%?
d. Giả sử I, Py ko đổi (như câu c), hãng phải thay đổi giá X năm tới bao nhiêu nếu muốn giữ
nguyên sản lượng như năm nay. GIẢI
a. Ta có: Qx = 20 - 3Px + 2I + 4Py
Qx = 20 - 3*2 + 2*4 + 4*2,5 = 32 (nghìn sản phầm) = 32.000 (sp) b.
+ Hệ số co giãn của cầu hàng hóa X theo Px
Edp(x) = dQx/dPx * (Px/Qx) = -3*(2/32) = -0,1875
+ Hệ số co giãn của cầu hàng hóa X theo I
Edi =dQx/dI * (I/Qx) = 2*(4/32) = 0,25
+ Hệ số co giãn của cầu hàng hóa X theo Py
Edp(y)= dQx/dPy *(Py/Qx) = 4*(2,5/32) = 0,3125
c. Dự đoán lượng bán sản phẩm X trong năm tới nếu hãng giảm giá X 15%, thu nhập tăng 10%, giá Y giảm 10%? ❖ Cách 1
+ Khi giá hàng hóa X giảm 15%: Px2 = Px1 - 15%Px1 = 85% Px1 = 0,85*2 = 1,7
+ Khi thu nhập tăng 10%: I2 = I1 + 10I1 = 110%I 1 = 1,1xI 1 = 1,1* 4 = 4,4
+ Khi giá Py giảm 10%: Py2 = 0,9 Py1 = 0,9*2,5 = 2,25
Thay vào phương trình, ta có: Qx = 20 - 3Px + 2I + 4Py
=> Qx2 = 20 - 3*(0,85*2) + 2(1,1*4) + 4(0,9*2,5) = 32,7 (nghìn sp) = 32.700 (sp) ❖ Cách 2
+ Edp(x) = -3 * (2/32) = - 0,1875 %∆Px = -15% Edp = %∆Qx /%∆Px = -0,1875 → %∆Qx = + 2,8125%
+ Edi = 2* (4/32) = 0,25 Edi = %∆Qx /%∆I = 0,25 %∆I = +10% →%∆Qx =+2,5%
+ Edp(y)= 4* (2,5/32) = 0,3125
Edp(y) = %∆Qx /%∆Py = 0,3125 %∆Py = - 10% →%∆Qx = -3,125%
%∆Qx = + 2,8125% + 2,5%+ ( - 3,125%) = +2,1875% Qx1 = 32
=> Qx2 = 32*(100% + 2,1875%) = 32,7 (nghìn sp) = 32.700 (sp)
d. Giả sử I, Py ko đổi (như câu c), hãng phải thay đổi giá X năm tới bao nhiêu nếu muốn giữ
nguyên sản lượng như năm nay. I2 = 4,4 Py2 = 2,25 Qx = 32 Qx = 20 - 3Px + 2I + 4Py
32 = 20 -3Px + 2*4,4 + 4*2,25 => Px2 = 1,93 Px1 = 2
So sánh: %∆Px = (1,93 - 2)/2*100 = -3,5%
Câu 12: Một Sp có đường cầu và đường cung là Pd= 25 – 9Q P s= 4 + 3,5Q
P tính bằng đồng/sản phẩm và Q tính bằng tỷ sản phẩm.
1. Xác định mức giá và sản lượng khi thị trường cân bằng.
2. Xác định thặng dư của người tiêu dùng khi thị trường cân bằng.
3. Để đảm bảo lợi ích cho người tiêu dùng, chính phủ đưa ra hai giải pháp:
Giải pháp 1: Ấn định giá bán tối đa trên thị trường là 8 đồng/sản phẩm và bù đắp phần thiếu
hụt bằng cách nhập khẩu về phần thiếu hụt với giá 11 đồng/sản phẩm.
Giải pháp 2: Trợ cấp cho người tiêu dùng 2 đồng/sản phẩm và không can thiệp vào giá thị trường.
Theo bạn thì giải pháp nào có lợi nhất:
a. Theo quan điểm của chính phủ
b. Theo quan điểm của người tiêu dùng
c. Theo quan điểm của người sản xuất GIẢI Pd= 25 – 9Qd Ps= 4 + 3,5Qs
a. Thị trường đạt trạng thái cân bằng <=> Pd = Ps
<=> Qe = 1,68 (tỷ sp) = 1,68*109 (sp)
=> Pe = 9,88 (đồng/sp)
❖ Giải pháp 1: Ấn định giá bán tối đa trên thị trường là 8 đồng/sản phẩm và bù đắp
phần thiếu hụt bằng cách nhập khẩu về phần thiếu hụt với giá 11 đồng/sản phẩm. Với P = 8 → Qd = 17/9= 1,89 (tỷ sp) → Qs = 8/7 = 1,14 (tỷ sp)
Ta có: Qd = 1,89 > Qs = 1,14 => THIẾU HỤT
+ Lượng thiếu hụt: 1,89 - 1,14 = 0,75 (tỷ sp)
+ Chính phủ nhập khẩu: 0,75 tỷ sp với mức giá 11 đồng/sp
+ Lượng tiền CP chi ra để nhập khẩu: 0,75*109 * 11 = 8,25 (tỷ)
+ CP bán 0,75 tỷ sp với giá thị trường 8 đồng/sp
+ Cp chi ra bao nhiêu đồng/sp: 3 đồng/sp
=> Lượng tiền Cp chi ra: 0,75*109 * 3 = 2,25*109 (đồng) = 2,25 tỷ đồng
❖ Giải pháp 2: Trợ cấp cho người tiêu dùng 2 đồng/sản phẩm và không can thiệp vào
giá thị trường.
+ Thị trường đạt trạng thái cân bằng mới: Qd = Qs = Qes Pd = Ps - s Thuế: Pd = Ps + t
<=> 25 – 9Q = 4 + 3,5Q -2
<=> Qd = Qs = Qes = 1,84 (tỷ sp)
→ Pd = 8,44 (đồng/sp) → Ps = 10,44 (đồng/sp) Pe = 9,88 (đồng/sp)
+ Xác định khoản trợ cấp:
- Người tiêu dùng: 9,88 - 8,44 = 1,44
- Người sx: 10,44 - 9,88 = 0,56
- Trợ cấp Cp/sp = 1,44 + 0,56 = 2 đồng/sp
- Tổng lượng tiền CP chi ra để trợ cấp: 1,84*109 *2 = 3,68 (tỷ đồng) PA 1: PA2: P = 8 s = 2 Chính phủ Chi 2,25*109 (đồng) 3,68 (tỷ đồng) Người tiêu dùng Mua 1,89 tỷ sp Mua 1,84 tỷ sp Giá: P = 8 đồng/sp Giá: 8,44 đồng/sp Người sản xuất Bán 1,14 tỷ sp Bán 1,84 tỷ sp Giá bán 8 đồng/sp Giá: 10,44 đồng/sp
❖ Giả sử chính phủ áp dụng chính sách giá tối đa 8 đồng/đvsp đối với sản phẩm A thì
lượng cầu sản phẩm B tăng từ 5 tỷ sản phẩm lên 7 tỷ sản phẩm. Hãy cho biết mối
quan hệ giữa sản phẩm A và sản phẩm B?
+ Giá cân bằng ban đầu: Pe = 9,88 (đồng/sp) = Py1 + Áp dụng giá P = 8 = Py2 + Qx1 = 5 → Qx2 = 7
Edx/py = (7-5)/(7+5) X (8+9,88)/(8 - 9,88) = -1,59 <0
Vậy, A và B là hai hàng hóa bổ sung
5. Nếu bây giờ chính phủ không áp dụng hai giải pháp trên, mà chính phủ đánh thuế các nhà
sản xuất 2 đồng/sản phẩm.
a. Xác định giá bán và sản lượng cân bằng trên thị trường?
b. Xác định giá bán thực tế mà nhà sản xuất nhận được?
c. Các nhà sản xuất hay người tiêu dùng gánh chịu thuế? Bao nhiêu?
d. Thặng dư của người sản xuất và người tiêu thay đổi như thế nào so với khi chưa bị đánh thuế Pd = Ps + t 25 – 9Q = 4 + 3,5Q + 2
=> Qd = Qs = Qet= 1,52 (tỷ sp)
→ Pd = 11,32 (đồng.sp) = Pet →Ps = 9,32 (đồng/sp) Pe = 9,88 (đồng/sp)
+ Người sx = 9,88 - 9,32 = 0,56
+ Người tiêu dùng: 11,32 - 9,88 = 1,44
+ t = tsx + ttd = 0,56 + 1,44 = 2
Document Outline
- BÀI TẬP CHƯƠNG III: ĐỘ CO GIÃN
- 1.Co giãn của cầu theo giá hàng hóa đó
- 1.2.2. Co giãn điểm
- Trong đó:
- 3.Co giãn của cầu theo thu nhập
- Qd = 240 – 60P(Qd = aP + b , a<0)
- GIẢI
- a.Co giãn điểm
- a.Co giãn điểm
- + Edi = 10*(10/200) = 0,5
- GIẢI
- Qd = -1/3P + 100/3(→ Pd = -3Q + 100)
- Câu 6:
- + Tại Giá trần: P = 14
- Pe = 4
- Qd = Qs = Qet
- Qs= -30 + 10P Qd= 30 - 5P
- Qd’ = 100%Qd + 20%Qd
- -0,5.
- GIẢI
- ❖Cách 1
- →Pet = Qet
- ❖Cách 2
- => Pd = 10
- Qd = -2P + 30
- Qx = 20 - 3Px + 2I + 4Py
- GIẢI
- a.Ta có: Qx = 20 - 3Px + 2I + 4Py
- Edp(x) = dQx/dPx * (Px/Qx) = -3*(2/32) = -0,1875
- Edi =dQx/dI * (I/Qx) = 2*(4/32) = 0,25
- Edp(y)= dQx/dPy *(Py/Qx) = 4*(2,5/32) = 0,3125
- Qx = 20 - 3Px + 2I + 4Py
- Qx = 20 - 3Px + 2I + 4Py
- Pd= 25 – 9Q P s= 4 + 3,5Q
- => Pe = 9,88 (đồng/sp)
- <=> 25 – 9Q = 4 + 3,5Q -2
- → Pd = 8,44 (đồng/sp)