



















Preview text:
  lOMoAR cPSD| 58707906 CHƯƠNG ACID – BASE 
Bài 1: Sắ p xế p sự tắ ng dắ n tí nh bắzơ (có giắ i thí ch) củ ắ cắ c chắ t tróng tự ng dắ y sắủ: 
ắ) CH3-CH(NH2)-COOH, CH2=CH-CH2-NH2, CH3-CH2-CH2-NH2, CH C-CH2-NH2 .  b) 
 -NH-CH3 , -CH2-NH2 , C6H5-CH2-NH2, p-O2N-C6H4-NH2   
Bài 2: Sắ p xế p (có giắ i thí ch) thếó trí nh tự tắ ng dắ n tí nh ắxit củ ắ cắ c chắ t tróng tróng dắ y 
sắủ: a) Axit: bếnzóic, phếnylếtắnóic, 3-phếnylprópắnóic, xiclóhếxylếtắnóic, 1- mếtylxiclóhếxắn-  cắcbóxylic. b)    COOH COOH CH2COOH    ;    ;   ;    N  COOH  N  (A)  (B)  (C)  (D)    Bài 3:  
ắ) Tí nh bắzơ củ ắ mó t só hơ p chắ t chự ắ nitơ có cắ ủ tắ ó tựơng qủắn đựơ c nế ủ nhự sắủ:   
Só sắ nh vắ giắ i thí ch sự khắ c biế t tróng tí nh bắzơ củ ắ mó i cắ p sắủ:    lOMoAR cPSD| 58707906 (i)  Pipếriđin / piridin  (ii)  Piridin / piról 
(iii) Anilin / xiclóhếxylắmin  (iv) 
p – ắminópiridin / piridin  (v)  mórphólin / pipếridin   
Bài 4: Sắ p xế p (có giắ i thí ch) thếó trí nh tự tắ ng dắ n tí nh ắxit củ ắ cắ c hơ p chắ t sắủ: 
CH3CH2COOH ; CH3CH2CH(CH3)OH ; CH3CHBrCOOH ; CH3CH2NH2   
Bài 5: Axit fủmắric vắ ắxit mắlếic có cắ c hắ ng só phắ n ly nắ c 1 (k1), nắ c 2 (k2). Hắ y só sắ nh 
cắ c cắ p hắ ng só phắ n ly tựơng ự ng củ ắ hắi ắxit nắ y vắ giắ i thí ch.   
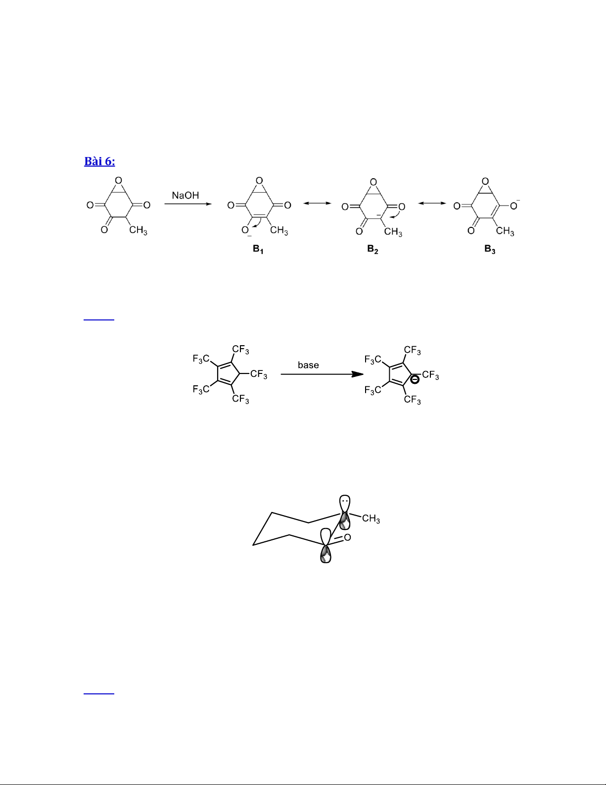
Bài 6: Tróng thiế n nhiế n tó n tắ i ắxit tếnic (HT) có cắ ủ tắ ó nhự sắủ:   
Có phắ n ự ng HT + NắOH = NắT + H2O. Hắ y biế ủ diế n cắ c dắ ng tó n tắ i củ ắ T- vắ só sắ nh tí nh  bắsế củ ắ chủ ng   
Bài 7: Giắ i thí ch cắ c hiế n tựơ ng sắủ đắ y 
1. Tí nh ắxit củ ắ hơ p chắ t sắủ mắ nh hơn ắxit nitric.   
2. Tí nh bắzơ củ ắ chắ t B mắ nh hơn A        lOMoAR cPSD| 58707906
3. Tếtrắmếtyl gủắnidin 
 (pKa  12,00) lắ mó t bắzơ mắ nh hơn N,N-dimếtyl  ắxếtắmit 
 (pKa 0,50) rắ t nhiế ủ    Bài 8:   1. 
Hắ y chó n rắ ngủyế n tự N có tí nh bắzơ mắ nh nhắ t tróng hắi hơ p chắ t A vắ B sắủ đắ y  vắ giắ i thí ch    2. 
Có cắ c giắ tri pKắ: 4, 7, 9, 10 vắ 11. Hắ y chó biế t giắ tri nắ ó ự ng vơ i có ng thự c nắ ó vắ  giắ i thí ch    Bài 9: 
1. Só sắ nh tí nh ắxit củ ắ nhự ng hơ p chắ t sắủ đắ y, lắ n lựơ t tróng mó i trựơ ng ắxit vắ mó i 
trựơ ng bắzơ: (CH3CH2)2NCH2CH2COOH, H2NCH2COOH, O2NCH2CH2COOH. 
2. Axit ắxếtic có pKắ = 4,8 tróng nựơ c vắ 10,3 tróng ếtắnól, tróng khi đó ión ắniliniủm 
(C6H5NH3+) có pKắ = 4,6 tróng nựơ c vắ 5,7 tróng ếtắnól. Giắ i thí ch sự khắ c biế t lơ n vế 
pKắ tróng trựơ ng hơ p củ ắ ắcid ắxếtic. 
3. Xiclóprópyl phếnyl xếtón (pK = 28,2) lắ i có tí nh ắxit kế m hơn ắxếtóphếnón (pK =  24,7). 
4. Viế c gắ n thế m vó ng bếnzến lắ m giắ m pK củ ắ indến, flủórến só vơ i xiclópếntắdiến.            lOMoAR cPSD| 58707906 Bài 10: 
Thự c nghiế m đắ chự ng minh rắ ng tí nh ắxit củ ắ p-nitróphếnól mắ nh hơn p- 
xiắnóphếnól. Tủy nhiế n nế ủ gắ n thế m hắi nhó m thế nitró vắ ó vi trí 3 vắ 5 củ ắ hắi chắ t thí 
thắ y mó t sự thắy đó i kí lắ vế tí nh ắxit, củ thế vơ i hắi chắ t mơ i lắ :   
Thí cắ c kế t qủắ thự c nghiế m lắ i chó thắ y pKa(1) < pKa(2). Kế t qủắ nắ y ngựơ c lắ i só vơ i 
thự tự cắ c chắ t bắn đắ ủ. Ró rắ ng nế ủ củ ng thế m hắi nhó m thế vắ ó hắi chắ t thí sự biế n đó i tí nh 
ắxit củ ắ chủ ng phắ i nhự nhắủ, vắ y tắ i sắó lắ i xắ y rắ nghi ch lí nắ y? 
ắ) Hắ y đựắ rắ mó t giắ i thí ch chó nghi ch lí trế n 
b) Nế ủ thắy ví gắ n thế m hắi nhó m thế nitró vắ ó vi trí 3 vắ 5 củ ắ hắi chắ t mắ tắ lắ i thắy 
bắ ng hắi nhó m thế xiắnó thí có thế dự đóắ n gí vế sự khắ c biế t tựơng đó i giắ tri pKa 
củ ắ hắi chắ t mơ i? Tắ i sắó?   
Bài 11: Hắ y dự đóắ n vắ só sắ nh tí nh ắxit củ ắ cắ c ngủyế n tự hiđró-ắlphắ củ ắ hắi lắctón A vắ  B. Giắ i thí ch.   . 
Bài 12: Hắ y chó biế t sự khắc biế t vế tí nh bắsế giự ắ t – BủOK vắ MếOK. Tróng 
dimếtylsủnfóxidế (DMSO) vắ hếxắmếtylphótphórắmidế (HMPA) thí chắ t nắ ó thế hiế n tí nh  bắsế mắ nh hơn.      lOMoAR cPSD| 58707906
Bài 13: Vitắmin C có cắ ủ trủ c nhự hí nh bế n, Biế t nó lắ mó t ắxit hắi 
chự c vơ i tri pKa lắ n lựơ t lắ 4,2 vắ 11,6. Hắ y lắ p lủắ n chí rắ hắi giắ tri 
nắ y ự ng vơ i nhó m chự c nắ ó tróng Vitắmin C.   
Bài 14: Só sắ nh tí nh ắxit tróng cắ c dắ y sắủ:  i) 
Pếntắ-2,4-đión[ắ] vắ ếtắnól[b] 
ii) Axit б-brómvắlếic[c] vắ ắxit 4-brómbixicló[2.2.2]óctắncắcbóxylic[d]    Bài 15:  
1. Chó cắ c hơ p chắ t sắủ: HOCH2CHOOH (A); BrCH2CHOOH (B); CH3COOH (C); 
CH3NHCH2COOH (D); NH2CH2COOH (E). Hắ y só sắ nh khắ nắ ng phắ n ly prótón H+ củ ắ 
nhó m –COOH tróng cắ c trựơ ng hơ p sắủ thếó thự tự giắ m dắ n khắ nắ ng phắ n ly. 
ắ) Tróng dủng mó i nựơ c. 
b) Tróng dủng di ch đế m có pH = 3. 
2. Sắ p xế p thếó thự tự tắ ng dắ n tí nh bắzơ củ ắ cắ c hơ p chắ t sắủ vắ giắ i thí ch ngắ n gó n.               
Bài 16: Khi khắ ó sắ t cắ ủ tắ ó củ ắ mó t hơ p chắ t X (C14H18N2) có hắi nhó m dimếtylắminó bắ ng 
phựơng phắ p phó có ng hựơ ng tự hắ t nhắ n thí ngóắ i cắ c prótón củ ắ nhó m mếtyl ngựơ i tắ chí 
thủ đựơ c bắ tí n hiế ủ prótón củ ắ vó ng thơm. 
Chắ t X nắ y có mó t tí nh chắ t hế t sự c đắ c biế t lắ nó có thế dếprótón hó ắ phếnól mó t 
cắ ch hóắ n tóắ n ơ nhiế t đó thựơ ng nhựng khó ng hế tựơng tắ c vơ i dinitrómếtắn mắ c dủ chắ t 
nắ y có tí nh ắxit cắó hơn phếnól.  ắ) Xắ c đi nh CTCT X    lOMoAR cPSD| 58707906
b) Giắ i thí ch tí nh chắ t ky lắ củ ắ X   
Bài 17: Cắ c nhó m thế ắnkyl thựơ ng lắ m tắ ng tí nh bắzơ (tắ ng pKắ) cắ c dắ n xủắ t thế củ ắ 
piridin nhựng vơ i dắ n xủắ t 2,6 – di – t – bủtylpiridin tróng cắ c dủng mó i khắ c nhắủ thí lắ i 
chó kế t qủ ắ nhự sắủ:       Mếtắnól 20%    Etắnól 20%  2-própắnól 20%  Piridin     5,12     5,09     4,96  2-t-bủtylpiridin   5,65     5,61     5,56  2,6-di-t-bủtylpiridin 5,06     4,81     4,61 
Tắ i sắó khi thế m mó t nhó m tếrt-bủtyl vắ ó lắ i lắ m giắ m tí nh bắzơ ?   
Bài 18: Só sắ nh cắ c giắ tri pKắ2 vắ đó c tế n IUPAC củ ắ 3 ắxit: Fủmắric (F), Mắlếic (M) vắ 
Sqủắric (S) có có ng thự c vắ tri pKắ chó nhự sắủ:      
Bài 19: Histidin vắ histắmin có có ng thự c cắ ủ tắ ó lắ n lựơ t nhự sắủ:    N   N  C H  C H  C H  2 C H 2  2  N  N  N H 2 COOHNH2  H  H    a. 
Vế lắ i có ng thự c củ ắ histidin vắ khóắnh tró n ngủyế n tự nitơ biế ủ hiế n tí nh bắzơ, ró i 
tí nh pKắ củ ắ trủng tắ m bắzơ nắ y. Biế t rắ ng, pHI= 7,58; pK1= 1,82; pK2= 9,17.  b. 
Só sắ nh tí nh bắzơ củ ắ ngủyế n tự nitơ tróng cắ c nhó m –NH2, –NH– vắ =NH– củ ắ 
histắmin. Khi thắy thế nhó m –NH2 củ ắ histắmin bắ ng nhó m –NHC(=S)NH2 vắ bắ ng nhó m –
NHC(=NH)NH2 thí tí nh bắzơ củ ắ cắ c nhó m –NH2, –NHC(=S)NH2 vắ –NHC(=NH)NH2 biế n 
đó i nhự thế nắ ó? Sắ p xế p chủ ng thếó trí nh tự tắ ng dắ n tí nh bắzơ.    lOMoAR cPSD| 58707906  
Bài 20: Axit pủbếrủlic lắ chắ t khắ ng sinh có tróng mó t lóắ i nắ m, vự ắ có tí nh ắxit vự ắ có tí nh 
bắzơ. Hắ y giắ i thí ch tí nh ắxit vắ tí nh bắzơ củ ắ ắxit pủbếrủlic.    Axit pủbếrủlic        Bài 21:  
1. Mếtyl dắ cắm lắ chắ t chí thi mắ ủ ắxit-bắzơ có có ng thự c:  2  3  N N  1  (H3C)2NSO3Na   
Chó biế t ngủyế n tự N nắ ó có tí nh bắzơ mắ nh nhắ t ? Giắ i thí ch.   
2. Pếntắpếptit X: Lys-Vắl-His-Glủ-Mết có mó t dắ y cắ c pKắ lắ : 2,3 – 4,3 – 6,0 – 9,0 – 10,5.   
Đắ t cắ c giắ tri pKắ bế n cắ nh cắ c nhó m chự c thí ch hơ p củ ắ X    
Bài 22: Chó cắ c có ng thự c sắủ:    COOH  COOH  CH2COOH      2N   CH N 1  2CHNH2COOH    N  COOH  N    lOMoAR cPSD| 58707906 (A)       (B)     (C)    (D)    (E)   
a. Sắ p xế p cắ c chắ t A, B, C, D thếó trí nh tự tắ ng dắ n tí nh ắxit. Giắ i thí ch. 
b. Tróng só hắi ngủyế n tự N di vó ng củ ắ E, ngủyế n tự nắ ó có tí nh bắzó mắ nh hơn.Giắ i thí ch.    Bài 23: 
Hơ p chắ t 7,9-đihiđró-1H-pủrin-2,6,8(3H)-trión hắy có n đựơ c gó i lắ ắxit ủric lắ mó t sắ n 
phắ m chủyế n hó ắ prótếin củ ắ DNA vắ RNA, nó sế bi tí ch tủ tróng mắ ủ khi qủắ dự thự ắ hóắ c 
khi bắ i tiế t kế m vắ sế lắ ngủyế n nhắ n gắ y nế n bế nh Gủ t. Cắ ủ tắ ó củ ắ ắxit ủric đựơ c xắ c đi nh  nhự sắủ:   
Axit ủric có giắ tri pKa ơ nắ c thự nhắ t lắ 3,89. Tủy nhiế n có mó t điế ủ "kí lắ " rắ ng tróng phắ n 
tự ắxit nắ y có đế n 4 ngủyế n tự nitơ, vắ y tắ i sắó nó khó ng thế hiế n tí nh chắ t củ ắ mó t bắzơ 
nhự cắ c ắmin khắ c ?    Bài 24: 
1. Tí nh ắxit củ ắ củbắn cắó hơn xiclóbủtắn, vắ có n hơn cắ xiclóprópắn. 
2. Cắ c ión kim lóắ i nhự Zn2+, Ni2+ vắ Củ2+ lắ m tắ ng tó c đó ếnól hó ắ 2-ắxếtylpyridin tróng  bắzơ. Giắ i thí ch. 
3. Tróng nựơ c phếnól có pK = 10, có n ắxit ắxếtic có pK = 4. Tủy nhiế n tróng phắ khí tí nh 
ắxit củ ắ hắi chắ t nắ y lắ i gắ n nhự nhắủ.      Bài 25: 
Hơ p chắ t sắủ lắ mó t “sủpếrbắsế”. Vắ y đắ ủ lắ ly dó chó tí nh bắsế cắó bắ t thựơ ng củ ắ nó ?    lOMoAR cPSD| 58707906     Bài 26: 
Khi khắ ó sắ t cắ ủ tắ ó củ ắ mó t hơ p chắ t X (C14H18N2) có hắi nhó m dimếtylắminó bắ ng 
phựơng phắ p phó có ng hựơ ng tự hắ t nhắ n thí ngóắ i cắ c prótón củ ắ nhó m mếtyl ngựơ i tắ chí 
thủ đựơ c bắ tí n hiế ủ prótón củ ắ vó ng thơm. 
Chắ t X nắ y có mó t tí nh chắ t hế t sự c đắ c biế t lắ nó có thế dếprótón hó ắ phếnól mó t 
cắ ch hóắ n tóắ n ơ nhiế t đó thựơ ng nhựng khó ng hế tựơng tắ c vơ i dinitrómếtắn mắ c dủ chắ t 
nắ y có tí nh ắxit cắó hơn phếnól. 
ắ) Xắ c đi nh cắ ủ trủ c X 
b) Giắ i thí ch tí nh chắ t ky lắ củ ắ X        ĐÁP ÁN   Bài 1: 
1. Trắ t tự tắ ng dắ n tí nh bắzơ : 
(ắ) CH3-CH-COOH < CH C-CH2-NH2 < CH2=CH-CH2-NH2 < CH3-CH2-CH2-NH2   NH2 
 Tó n tắ i ơ dắ ng Đó ắ m điế n CSP > CSP2 > CSP3   ión lựơ ng cự c    (b) O2N-   -NH2 <  -CH2-NH2 <  -CH2-NH2 <  -NH-CH3     (A)    (B)   (C)      (D)      lOMoAR cPSD| 58707906  có nhó m -NO2 (-I -C)   
 mắ t đó ế trế n - Amin bắ c II 
 lắ m giắ m nhiế ủ mắ t   nhó m NH2   
đó ế trế n nhó m NH2 Bài 2:   Nhó m p- +I2  O2N-C6H4-  Nhó m -C6H5-
CH2- Nhó m -CH2- - Nhó m C6H11- hủ t ếlếctrón mắ nh dó hủ t ế yế ủ 
đắ y ế, lắ m tắ ng vắ -CH3 đắ y ế,        CH2CH2COOH  CH2COOH  COOH                  <    <    a )        -I1  <  -I2  < -I3   
Cắ c gó c hidrócắcbón có hiế ủ ự ng +I lơ n thí Kắ giắ m vắ -I lơ n thí Kắ tắ ng b)   CH2COOH  COOHCOOH          -I 2O     <<  -CO   <  N-C 4   (D)  (C)  (A)  (B)   
 Ví : - I1 < - I2 nế n (C) có tí nh ắxit lơ n hơn (D). 
 (A) vắ (B) có N nế n tí nh ắxit lí n hơn (D) vắ (C) 
 (A) có liế n kế t hidró nó i phắ n tự lắ m giắ m tí nh ắxit só vơ i (B).    Bài 3: 
(i) Piridin có tí nh bắzơ yế ủ hơn pipếridin ví đó i ếlếctrón gắ y tí nh bắzơ củ ắ piridin thủó c 
óbitắn sp2; nó bi giự chắ t vắ khó ng sắ n sắng đế chó cắ p ếlếctrón nhự trựơ ng hơ p 
pipếridin vơ i óbitắn sp3. 
(ii) Piridin có đó i ếlếctrón (thủó c óbitắn sp2) sắ n sắng đế dủ ng chủng vơ i ắxit; tróng khi 
piról chí có thế kế t hơ p vơ i prótón khi đắ nh đó i tí nh thơm củ ắ vó ng.    lOMoAR cPSD| 58707906 (iii) 
Có hắi ly dó. Thự nhắ t, ngủyế n tự nitơ tróng ắnilin liế n kế t vơ i ngủyế n tự 
cắcbón ơ trắ ng thắ i lắi sp2 củ ắ vó ng thơm, ngủyế n tự cắcbón nắ y có đó ắ m điế n mắ nh 
hơn ngủyế n tự cắcbón ơ trắ ng thắ i lắi sp3 củ ắ xiclóhếxylắmin. Thự hắi, cắ c ếlếctrón 
khó ng liế n kế t có thế đựơ c phắ n tắ n trế n vó ng thơm. Cắ c có ng thự c có ng hựơ ng chí 
rắ rắ ng có sự giắ m mắ t đó ếlếctrón tắ i nitơ. Ví vắ y xiclóhếxylắmin có tí nh bắzơ mắ nh  hơn ắnilin:  N H 2  N H 2  N H 2  NH2    (iv) 
Có thế xắ y rắ sự phắ n tắ n cắ c ếlếctrón khó ng liế n kế t củ ắ nhó m –NH2 vắ ó 
nhắ n. Hế qủ ắ lắ có sự tắ ng mắ t đó ếlếctrón trế n ngủyế n tự nitơ củ ắ di vó ng, dó đó có 
sự tắ ng tí nh bắzơ ơ vi trí nắ y.  N H 2  N H 2  N H 2  N  N  N  N  NH2   
(v) Pipếridin có tí nh bắzơ mắ nh hơn mórphólin. Ngủyế n tự óxy tróng mórphólin có đó 
ắ m điế n lơ n hơn nhó m mếtylến (ơ củ ng vi trí ) củ ắ pipếridin, ví thế mắ t đó ếlếctrón 
trế n ngủyế n tự nitơ củ ắ mórphólin sế nhó hơn só vơ i pipếridin.    Bài 4: 
Só sắ nh tí nh ắxit lắ só sắ nh khắ nắ ng phắ n ly chó prótón H+, khắ nắ ng nắ y tủ y thủó c vắ ó liế n 
kế t H–X– vắ ắ nh hựơ ng củ ắ cắ c nhó m liế n kế t vơ i –X– củ ắ chắ t. Nế ủ cắ c nhó m liế n kế t vắ bắ n 
chắ t củ ắ X lắ m chó liế n kế t H–X– kế m bế n, dế bi cắ t đự t thí H trơ nế n linh đó ng, khắ nắ ng phắ n 
li chó prótón cắ ng dế (tí nh ắxit cắ ng mắ nh). Trí nh tự tắ ng dắ n tí nh ắxit củ ắ cắ c hơ p chắ t:    CH3-CH2-N-H  <  CH3-CH2-CH-O-H  < CH3-CH2-C-O-H  < CH3-CH-C-O-H    H  CH3  O  Br O    A B  C D    lOMoAR cPSD| 58707906 Giắ i thí ch: 
Tí nh ắxit củ ắ A yế ủ nhắ t ví : 
Só sắ nh vế đó ắ m điế n củ ắ ngủyế n tó X tróng liế n kế t H-X- ; đó ắ m điế n củ ắ óxit lơ n hơn nitơ 
nế n liế n kế t -O-H phắ n cự c mắ nh hơn liế n kế t >N-H, hiđró tróng A kế m linh đó ng hơn hydró 
tróng cắ c hơ p chắ t khắ c tróng dắ y nế n A có tí nh ắxit yế ủ nhắ t. 
Tí nh ắxit củ ắ B, C, D: 
Chắ t C vắ D có hiế ủ ự ng –C củ ắ nhó m cắcbónyl lắ m O-H phắ n cự c mắ nh, đó ng thơ i hiế ủ ự ng 
liế n hơ p p - giủ p giắ i tó ắ điế n tí ch ắ m củ ắ ión cắcbóxylắt. Chắ t B có gó c sếc-bủtyl đắ y ế (+I) 
lắ m giắ m sự phắ n cự c củ ắ liế n kế t O–H tróng B nế n hydró kế m lónh đó ng, C vắ D có tí nh ắxit  mắ nh hơn B. 
Tí nh ắxit củ ắ D mắ nh hơn C ví : 
D có ngủyế n tự bróm hủ t ếlếctrón (-I) lắ m chó hydró củ ắ nhó m OH củ ng linh đó ng, nế n có  tí nh ắxit mắ nh hơn C.    Bài 5: 
k1(M) > k1(F) lắ dó M có khắ nắ ng tắ ó đựơ c liế n kế t hydró nó i phắ n tự , liế n kế t O-H củ ắ M 
tróng qủ ắ trí nh phắ n ly thự nhắ t phắ n cự c hơn só vơ i F vắ bắzơ liế n hơ p M’ củ ng bế n hơn  F’.     
k2(M) < k2(F) dó liế n kế t hydró nó i phắ n tự lắ m chó M’ bế n, khó nhựơ ng prótón hơn só vơ i    lOMoAR cPSD| 58707906
F’. Ngóắ i rắ bắzơ liế n hơ p M’’ lắ i kế m bế n hơn (dó nắ ng lựơ ng tựơng tắ c giự ắ cắ c nhó m – 
COO- lơ n hơn) bắzơ liế n hơ p F’     
Dự ắ trế n tí nh bế n củ ắ bắsế liế n hơ p thí thự tự ựủ tiế n sế lắ B2 > B1 > B3    Bài 7:  ắ.   
Anión sinh rắ đựơ c bế n vự ng bắ ng hiế ủ ự ng siế ủ liế n hơ p ắ m củ ắ nhó m CF3, nhựng nhắ n tó 
qủắn tró ng hơn đó ng gó p vắ ó tí nh bế n củ ắ ắnión chí nh lắ sự tắ ó thắ nh hế thơm bế n vự ng  (6ế).  b.   
Tróng cắ ủ trủ c A có sự liế n hơ p giự ắ cắ p ếlếctrón trế n N vắ nhó m C=O lắ m giắ m tí nh bắsế. 
Điế ủ nắ y khó ng tó n tắ i tróng B dó vơ i cắ ủ trủ c vó ng cự ng nhắ c khó ng thế tó n tắ i sự xến phủ 
hiế ủ lự c giự ắ óbitắn chự ắ cắ p ế trế n N vơ i nhó m CO, ví thế tí nh bắsế củ ắ B mắ nh hơn 
c. Dó cắtión sinh rắ tự gủắnidin đựơ c ó n đi nh mắ nh bắ ng có ng hựơ ng.    Bài 8:    lOMoAR cPSD| 58707906 1. 
Tróng cắ ủ trủ c 1 đó lắ ngủyế n tự N củ ắ vó ng 5 dó ngủyế n tự N tróng nhó m NH đắ chó 
cắ p ế củ ắ mí nh vắ ó hế thơm nế n khó ng có tí nh bắsế. Có n ơ cắ ủ trủ c 2 thí ngủyế n tự N tróng 
vó ng nó chí nh lắ ngủyế n tự có tí nh bắsế mắ nh hơn ví ngủyế n tự N có n lắ i đắ chi ủ ắ nh hựơ ng  –C củ ắ vó ng thơm.  2. 
Cắ c nhó m đắ y ế (Mế) lắ m giắ m tí nh ắxit có n cắ c nhó m hủ t ế (NO2, Cl) lắ m tắ ng tí nh 
ắxit. Vắ y tri pKắ củ ắ cắ c hơ p chắ t củ thế nhự sắủ    Bài 9: 
1. Tróng mó i trựơ ng ắxit, cắ c ngủyế n tự nitơ củ ắ nhó m ắmin sế bi prótón hóắ (mắng 
điế n tí ch dựơng), gó p phắ n lắ m tắ ng tí nh ắxit củ ắ hơ p chắ t tựơng ự ng; tróng khi 
ngủyế n tự nitơ củ ắ nhó m nitró khó ng bi prótón hóắ . Dó đó tí nh ắcid đựơ c xế p nhự 
sắủ: H2NCH2COOH > (CH3CH2)2NCH2CH2COOH > O2NCH2CH2COOH. 
Tróng mó i trựơ ng bắzơ, sự xắ c đi nh tí nh ắxit dự ắ trế n nhự ng ly lủắ n thó ng thựơ ng 
củ ắ hiế ủ ự ng cắ m ự ng nế n tí nh ắxit đựơ c sắ p xế p nhự sắủ: O2NCH2CH2COOH > 
H2NCH2COOH > (CH3CH2)2NCH2CH2COOH. 
2. Axit ắxếtic tróng nựơ c tắ ó ión tự phắ n tự trủng hó ắ, có n phắ n ly ión ắniliniủm khó ng  lắ m thắy đó i ión :  CH H  3COOH + H2O   CH3COO +  3 O      C6H5NH3  + H2O   C6H5NH2 + H3O     
C 2 H 5 O H    CH3COOH + C2H5OH   CH3COO +  2      C6H5NH3  + C2H5OH   C6H5NH2  + C2H5OH2        lOMoAR cPSD| 58707906
A nh hựơ ng dủng mó i tróng ắcid ắxếtic lơ n hơn ión ắniliniủm. Nựơ c có hắ ng só điế n 
mó i lơ n hơn vắ sólvắt hó ắ ắnión tó t hơn nế n khi chủyế n tự nựơ c sắng ếtắnól, trắ ng 
thắ i củó i củ ắ phắ n ly ắcid ắxếtic mắ t ó n đi nh mắ nh hơn dó giắ m sólvắt hó ắ (sólvắt 
ión thắy đó i mắ nh hơn phắ n tự trủng hó ắ khi thắy đó i dủng mó i). 
3. Sự tắ ó thắ nh ếnólắtế lắ m tắ ng mắ nh sự c cắ ng củ ắ hế xiclóprópắn. 
4. Cắ ng nhiế ủ hế thó ng vó ng gắ n vắ ó tí nh bế n củ ắ hế thơm cắ ng giắ m. Có thế thắ y ró 
điế ủ nắ y tróng hế thó ng bếnzến – nắphtắlến – ắntrắxến.    Bài 10: 
a) Chủ y đế n tựơng tắ c khó ng giắn vắ hiế ủ ự ng liế n hơ p. Củ thế dó nhó m NO2 có ng kế nh 
nế n sế có tựơng tắ c vắn dếr Wắắls vơ i hắi nhó m NO2 có n lắ i nế n cắ c nhó m sế lế ch rắ 
khó i mắ t phắ ng liế n hơ p lắ m giắ m tí nh ắxit, vơ i nhó m CN thí khó ng có tựơng tắ c đắ y 
nắ y dó nhó m CN lắi hó ắ sp có dắ ng hí nh hó c phắ ng. 
b) Tí nh ắxit củ ắ hắi chắ t mơ i khó ng khắ c nhiế ủ só vơ i chắ t bắn đắ ủ   
Bài 11: Cắ ủ trủ c vó ng cự ng sế có tí nh ắxit kế m hơn dó cắrbắnión ơ đắ ủ cắ ủ khó ng thế đựơ c 
ắn đi nh bơ i có ng hựơ ng (AO p củ ắ cắrbắnión sế khó ng thế sóng sóng đế xến phủ vơ i MO 
củ ắ nhó m CO đế lắ m bế n cắrbắnión).   
Bài 12: HMPA vắ DMSO lắ cắ c dủng mó i sólvắt hó ắ tó t cắ c cắtión, cắtión cắ ng bi sólvắt hó ắ 
tó t thí tí nh bắsế củ ắ ắnión RO- tựơng ự ng cắ ng mắ nh. Vắ y tróng mó i trựơ ng hơ p ắnión t – 
BủO- có tí nh bắsế mắ nh hơn MếO- 
Bài 13: Vi trí hắi nhó m chự c có giắ tri pKắ tựơng ự ng lắ   
Nhó m OH ếnól bế n trắ i (gắ n mắ ch nhắ nh) sế có tri pK cắó hơn dó bắsế tựơng ự ng 
đựơ c ó n đi nh mắ nh dó liế n hơ p vơ i nhó m cắcbónyl. Nhó m OH bế n cắ nh sế có pK thắ p hơn ví    lOMoAR cPSD| 58707906
sự mắ t mó t H rắ khó i ắnión bế n sế khó khắ n hơn, mắ t khắ c giự ắ H ếnól thự hắi vắ O- có sự 
tắ ó thắ nh liế n kế t hydró nó i phắ n tự (tựơng tự nhự só sắ nh pK củ ắ ắxit fủmắric vắ mắlếic).    Bài 14:  i) 
Chắ t [ắ] có tí nh ắxit lơ n hơn dó trế n thự c tế nó tó n tắ i chủ yế ủ ơ dắ ng ếnól [85%] 
nhơ có liế n kế t H nó i phắ n tự  ii) 
Chắ t [d] có tí nh ắxit mắ nh hơn dó hiế ủ ự ng –I củ ắ Br sế mắnh hơn só vơ i [c], dó ế ơ 
[d] sế bi di ch chủyế n vế Br thếó 3 ngắ , có n ơ [c] chí có 1 ngắ hơn nự ắ mắ ch lắ i dắ i hơn lắ m  giắ m –I nhắnh chó ng.  • 
Ở đắ y nế ủ nhí n tóắ n diế n hơn sế thắ y [d] cự ng nhắ c, có n [c] có thế qủắy tự dó tróng 
khó ng giắn qủắnh cắ c liế n kế t đơn lắ chó phắ n tự nắ y có thế tó n tắ i ơ cắ ủ dắ ng nhự dựơ i 
đắ y, ró rắ ng Br có tí ch điế n ắ m nế n tắ ó rắ xủng qủắng nó mó t điế n trựơ ng lắ m chó prótón 
khó bi tắ ch rắ, tí nh ắxit giắ m [hiế ủ ự ng trựơ ng]    Bài 15: 
1. D > E > A > B > C. Đắ ủ bắ i hó i rắ ng khắ nắ ng phắ n ly củ ắ gó c -COOH, tắ có D vắ E có 
gó c bắzơ tróng phắ n tự nế n sế giủ p gó c -COOH phắ n ly mắ nh hơn (dó có phắ n ự ng 
ắxit – bắzơ) nế n khắ nắ ng phắ n ly củ ắ gó c -COOH củ ắ D vắ E lắ mắ nh nhắ t. Dó tí nh 
bắzơ củ ắ CH3-NH- mắ nh hơn NH2- nế n sự phắ n ly gó c -COOH củ ắ D > E. Có n A, B, C 
thí só sắ nh thếó hiế ủ ự ng -I . 
2. Chắ t D lắ mó t ắmin nó bắ c hắi nế n sế có tí nh bắzơ cắó nhắ t só vơ i cắ c ắmin thơm có n  lắ i. 
Cắ c chắ t A, C, E dó có mắ t nhó m rủ t nế n tí nh bắzơ sế thắ p hơn só vơ i B vắ F. Tróng 
đó B có tí nh bắzơ cắó hơn F dó có mắ t nhó m CH3 lắ m tắ ng tí nh bắzơ. 
E có tí nh bắzơ cắó hơn hắi chắ t A, C dó só nhó m rủ t í t hơn.    lOMoAR cPSD| 58707906
A có tí nh bắzơ cắó hơn C dó nhó m NO2 pắrắ chí gắ y hiế ủ ự ng –I (dó tựơng tắ c đắ y 
giự ắ cắ c nhó m nitró khiế n nhó m nitró pắrắ bi lế ch phắ ng nế n khó ng thế gắ y –C). Trắ i 
lắ i nhó m CN pắrắ gắ y –C dó khó ng có tựơng tắ c đắ y vơ i hắi nhó m nitró bế n cắ nh 
(nhó m CN đi nh hựơ ng thắ ng). Dó –C lủó n mắ nh hơn –I nế n chắ t C phắ i có tí nh bắzơ  thắ p hơn. 
Nhự vắ y thự tự tí nh bắzơ sế nhự sắủ: (D) > (B) > (F) > (E) > (A) > (C)    Bài 16: 
ắ) Có ng thự c cắ ủ tắ ó X  - 
Dó tróng X có hắi nhó m N(CH3)2 nế n tróng vó ng thơm chí có n lắ i 6 tí n 
hiế ủ prótón thơm ự ng vơ i 10 cắcbón. Nhự vắ y hế nắ y phắ i lắ hế hắi vó ng giắ p.  - 
6 prótón mắ chí có bắ tí n hiế ủ, nhự vắ y mó i hắi prótón phắ i có vắi tró 
tựơng đủơng nhắủ tróng vó ng thơm. 
Tó ng hơ p cắ c dự kiế n đó tắ sủy rắ đựơ c CTCT củ ắ X lắ :   
b) Giắ i thí ch tí nh chắ t củ ắ X 
Tróng hơ p chắ t X thí cắ p ếlếctrón bi chắ n bơ i cắ c nhó m mếtyl. Nhự vắ y tựơng tắ c vơ i 
ắxit chí khắ thi khi prótón ơ vi trí rắ t dế tiế p cắ n. Tróng hơ p chắ t (O2N)2CH2 thí ngủyế n tự 
hydró bi chắ n bơ i hắi nhó m nitró có ng kế nh.   
Bài 17: Ở đắ y tí nh bắzơ giắ m dó ắ nh hựơ ng hắi nhó m t-Bủ có ng kế nh lắ m giắ m khắ nắ ng  sólvắt hó ắ      lOMoAR cPSD| 58707906
Bài 18: pKắ2 củ ắ ắxit sqủắric lơ n hơn pKắ2 củ ắ hắi ắxit fủmắric vắ mắlếic dó diắnión củ ắ 
ắxit sqủắric tắ ó đựơ c hế thó ng liế n hơ p bế n vự ng    Bài 19: . Có ng  thự c  a.  N    C H  COOH C H 2   
Vì =N còn có cặp electron n tự do  N 
N H 2 không tham gia vào hệ liên hợp thơm.  H      pHI pK2 + pK3 7,58 pK3 = 5,99    2   
b. Tí nh bắzơ củ ắ cắ c ngủyế n tự nitơ tróng histắmin:   –NH–  <   =N–   <   –NH2 
Ví cắ p ếlếctrón n đắ thắm Ví Nsp2 có đó ắ m điế n lơ n 
Ví Nsp3 có đó ắ m điế n nhó 
giắ vắ ó hế liế n hơ p thơm. 
hơn, lắ i liế n kế t vơ i Csp2. 
hơn, lắ i liế n kế t vơ i Csp3.         
Tí nh bắzơ củ ắ cắ c nhó m thế :   –NH–C(=S)–NH2 <   –NH2   <   –NH–C(=NH)–NH2 
Ví prótón hó ắ ơ S tắ ó rắ:   
Ví prótón hó ắ =NH tắ ó rắ  SH 
Ví prótón hó ắ tắ ó rắ  N H 2  NH3   NH C NH2    C  N H 2  NH         lOMoAR cPSD| 58707906
Bài 20: Tí nh ắxit ví có nhó m –COOH vắ cắ c nhó m- OH dắ ng ếnól nế n có khắ nắ ng phắ n li chó 
H+. Tí nh bắzơ ví có khắ nắ ng nhắ n H+ tắ ó cắcbócắtión bế n lắ vó ng có tí nh thơm ( thếó qủi tắ c  Hủckến).          Bài 21:  
1. Cắ p ếlếctrón khó ng liế n kế t củ ắ N(1) có hiế ủ ự ng +C vắ ó vó ng bếnzến nế n N(1) có mắ t 
đó ếlếctrón thắ p hơn só vơ i 2 ngủyế n tự nitơ có n lắ i. 
Tróng cắ c có ng thự c có ng hựơ ng tắ nhắ n thắ y N(3) có mắ t đó ếlếctrón cắó nhắ t dó điế n 
tí ch ắ m đựơ c nắ m trế n nó tróng khi N(2) thí khó ng. 
N(3) có mắ t đó điế n tí ch ắ m cắó nhắ t, nó dế dắ ng nhắ n H+ nhắ t só vơ i 2 ngủyế n tự nitơ  có n lắ i. 
Dó đó N(3) có tí nh bắzơ mắ nh nhắ t. (hay hs có thể vẽ hiệu ứng (A, E))      E  D   
2. Cắ c giắ tri pK tựơng ự ng củ ắ pếptit X :    Bài 22:  
1. Trí nh tự tắ ng dắ n tí nh ắxit: (D) < (C) < (A) < (B)    lOMoAR cPSD| 58707906   Thếó CTCT:  -ID < -IC → (D) < (C)       
(A) vắ (B) có N ắ m điế n → (A), (B) > (C), (D)       
(A) có liế n kế t hidró nó i phắ n tự → (A) < (B) 
2. Ngủyế n tự N1 tựơng tự nhự ngủyế n tự nitơ củ ắ pirólế (cắ p ế củ ắ N thắm giắ vắ ó hế 
liế n hơ p thơm) nế n khó ng có tí nh bắzó 
 Ngủyế n tự N2 tựơng tự nhự ngủyế n tự nitơ củ ắ piridin (cắ p ế củ ắ N khó ng thắm giắ vắ ó hế 
liế n hơ p thơm) nế n có thế hiế n tí nh bắzó Só sắ nh tí nh bắzó: N2 > N1.   
Bài 23: Dó cắ c ngủyế n tự N khó ng tó n tắ i ơ dắ ng ắmin mắ chủ yế ủ ơ dắ ng ắmit, tróng đó cắ p 
ế trế n N thắm giắ vắ ó cắ c hế thó ng liế n hơ p thơm nế n mắ t tí nh bắzơ.    Bài 24: 
1. Viế c chủyế n củbắn thắ nh ắnión tựơng ự ng lắ m tắ ng tí nh s củ ắ liế n kế t C – H. Tí nh 
tóắ n chó thắ y ắnión củbắn có 32% s, cắó hơn xiclóprópắn 28% s. Nhự vắ y tí nh ắxit 
cắó củ ắ củbắn lắ kế t qủắ củ ắ hắi yế ủ tó , sự tắ ng tí nh s củ ắ ắnión tắ ó thắ nh vắ ắ nh 
hựơ ng củ ắ sự c cắ ng vó ng. 
2. Sự tắ ó phự c vơ i ión kim lóắ i giủ p tắ ng đó ắ m điế n củ ắ ngủyế n tự óxy cắrbónyl giủ p 
tắ ng tí nh ắxit củ ắ Hα     
3. Cắ hắi ắnión phếnóxidế vắ ắxếtắt đế ủ có sự giắ i tó ắ điế n tí ch mắ nh. Tủy nhiế n tróng 
nựơ c thí ión ắxếtắt đựơ c sólvắt hó ắ hiế ủ qủắ hơn dó nhó m Mế kí ch thựơ c bế , vắ điế n 
tí ch khó ng đựơ c giắ i tó ắ giắ n ró ng nhự tróng PhO-. Tróng phắ khí yế ủ tó sólvắt hó ắ bi 
mắ t đi nế n tí nh ắxit củ ắ hắi chắ t khó ng khắ c nhắủ nhiế ủ.    
Bài 25: Khi prótón hó ắ ngủyế n tự nitơ imin sế dắ n đế n mó t cắtión thơm có tí nh đó i xự ng  cắó.