
KHOA HỌC TỰ NHIÊN 7
CHUYÊN ĐỀ
BỒI DƯỠNG
HỌC SINH
GIỎI
PHẦN VẬT LÍ
DÙNG CHO CHƯƠNG TRÌNH GDPT
MỚI

BÀI 7. TỐC ĐỘ CHUYỂN ĐỘNG
7.1. Một xe ô tô khởi hành từ vị trí A lúc 7 giờ sáng với vận tốc 40 km/h. Tới vị trí B
cách vị trí A 60 km thì xe nghỉ 15 min. Trên đoạn đường 30 km từ vị trí B đến vị trí C
xe chạy với tốc độ 60 km/h. Hỏi:
a) Xe đến vị trí C lúc mấy giờ?
b) Tính tốc độ trung bình của xe trên suốt đoạn đường từ vị trí A đến vị trí C.
7.2. Bảng cho biết quãng đường và thời gian đi hết quãng đường đó của ba xe A, B,
C.
Xe Quãng đường (km) Thời gian (ph)
Xe A 80 50
Xe B 72 50
Xe C 85 50
a) Xe nào chuyển động nhanh nhất?
b) Xe nào chuyển động chậm nhất?
7.3. 7 giờ sáng đầu tuần Nam dự định đạp xe từ nhà đến trường sớm hơn học để
lau bàn ghế. Nếu Nam đi đạp xe với tốc độ 15 km/h thì sẽ đến sớm hơn dự định 6
phút, nhưng do đường đông Nam chỉ đạp xe với tốc độ 10 km/h nên đến muộn hơn
dự định 6 phút. Nam dự định đến trường lúc mấy giờ? Hãy tính khoảng thời gian từ
Nam đến trường.
7.4. Một người đi xe máy trên một đoạn đường dài 5,2 km hết 12 phút. Sau đó
người đó đi tiếp một đoạn đường 1,2 km trong 3 phút rồi dừng lại. Tính tốc độ trung
bình của người đó ứng với từng đoạn đường và cả đoạn đường.
7.5. Hai thành phố A và B cách nhau một khoảng s. Ô tô khởi hành đồng thời từ A
đến B. Xe thứ nhất đi nửa quãng đường đầu với tốc độ v
1
và nửa quãng đường sau
với tốc độ v
2
. Xe Thứ hai đi với tốc độ v
1
trong nửa thời gian đầu và tốc độ v
2
trong
nửa thời gian còn lại. Em hãy cho biết xe nào tới thành phố B trước.
7.6. Một học sinh đi xe đạp đều trong 10 phút được 1,5 km.
a) Tính tốc độ của học sinh đó ra m/s giây và km/h.
b) Muốn đi từ nhà đến trường học sinh đó phải đi trong bao nhiêu phút, nếu nhà
cách trường 1800 m?
7.7. Một canô chạy trên 2 bến sông cách nhau 90 km. Tốc độ của canô đối với nước
là 25 km/h và tốc độ của dòng nước là 2 km/h.
a) Tính thời gian canô ngược dòng từ bến nọ đến bến kia.
b) Giả sử không nghỉ ở bến tới tính thời gian canô đi và về.
7.8. Vào lúc 10 giờ một ô tô bắt đầu khởi hành từ thành phố A về thành phố B (hai
thành phố cách nhau 310 km) với tốc độ v
1
= 40 km/h. Lúc 11 giờ một xe máy đi từ

thành phố B về A với tốc độ v
2
= 50 km/h. Hai xe gặp nhau lúc mấy giờ và cách B
bao nhiêu km?
7.9. Phúc đến bến xe buýt chậm 3 phút sau khi xe đã rời bến A. Phúc phải đi taxi để
đuổi kịp xe buýt ở bến B tiếp theo. Taxi đuổi kịp xe buýt ở thời điểm đó đã đi được
0,3 quãng đường từ A đến B. Hỏi có phải ngồi đợi ở bên B bao lâu?
7.10. Cho ba vật chuyển động: vật thứ nhất đi được quãng đường 27 km trong 30
phút, vật thứ hai đi quãng đường 48 m trong 3 giây, vật thứ ba đi với tốc độ 60 km/h.
a) Tính tốc độ chuyển động của vật thứ nhất và vật thứ hai.
b) Vật nào chuyển động nhanh nhất?
c) Vật nào chuyển động chậm nhất?
7.11. Một máy bay đi được quãng đường 1 200 km trong 1 giờ 20 phút.
a) Máy bay đi được quãng đường dài bao nhiêu mét?
b) Máy bay đi trong bao nhiêu phút và trong bao nhiêu giây?
c) Tính tốc độ của máy bay trong suốt quá trình bay.
7.12. Lúc 8h một người chuyển động từ A đến B cách nhau 60 km với tốc độ 20
km/h. Nửa tiếng sau, một người thứ hai cũng chuyển động từ A đến B với tốc độ 30
km/h.
a) Hỏi hai người gặp nhau lúc mấy giờ? Điểm gặp nhau cách A bao nhiêu km?
b) Vẽ đồ thị biểu diễn chuyển động của hai người trên cùng một đồ thị.
7.13. Một ô tô khởi hành từ Hà Nội lúc 7 giờ, đến Hạ Long lúc 10 giờ. Cho biết
quãng đường từ Hà Nội đến Hạ Long dài 150 km.
a) Tính khoảng thời gian ô tô đi từ Hà Nội đến Hạ Long.
b) Tính tốc độ của ô tô theo đơn vị km/h, m/s.
7.14. Một người đi xe máy từ A đến B có chiều dài 40 km. Nếu đi liên tục không nghỉ
thì sau 2h người đó sẽ đến B. Nhưng khi đi được 30 phút, người đó dừng lại 15 phút
rồi mới đi tiếp. Hỏi quãng đường sau người đó phải đi với tốc độ bao nhiêu để đến B
kịp lúc?
7.15. Khoảng cách từ Trái Đất đến Mặt Trời là khoảng 150 000 000 km. Biết tốc độ
ánh sáng là khoảng 300 000 km/s. Tính thời gian ánh sáng truyền từ Mặt Trời đến
Trái Đất.
7.16. Lục địa Bắc Mỹ và châu Âu đang dịch chuyển ra xa nhau với tốc độ khoảng 3
cm/năm. Với tốc độ này sau 1 000 000 năm nữa chúng sẽ trôi xa nhau thêm bao
nhiêu kilômet so với hiện nay?
7.17. Trong một cơn giông, một người quan sát thấy rằng, kể từ lúc nhìn thấy tia
chớp loé lên đến lúc nghe tiếng sét cách nhau một khoảng thời gian 15 giây. Lấy tốc
độ truyền âm trong không khí là 340 m/s. Hãy ước lượng khoảng cách từ nơi có sét
đến người quan sát.
7.18. Một canô chạy từ bến A đến bến B mất 1 giờ, còn một chiếc bè trôi từ A đến B
thì phải mất 6 giờ. Hỏi canô chạy từ B đến A mất bao lâu?

7.19. Tính tốc độ theo đơn vị m/s trong các trường hợp sau:
a) Một vận động viên thực hiện cuộc thi chạy cự li 100 m trong 10,5 giây.
b) Một con dế mèn chuyển động trên đoạn đường 10 m trong 1 phút 30 giây.
c) Một con ốc sên bò dọc theo bờ tường dài 50 cm trong 30 phút.
7.20. Sắp xếp các tốc độ dưới đây theo thứ tự tăng dần.
– Một vận động viên bơi cự li ngắn với tốc độ 5,2 m/s.
– Một xe đạp đang chuyển động với tốc độ 18 km/h.
– Một xe buýt đang vào bến với tốc độ 250 m/min.
7.21. Một chú rùa chuyển động với tốc độ không đổi 2,51 cm/s, trong lúc chú thỏ
đang dừng lại và thong thả gặm cà rốt.
a) Tính từ vị trí thỏ đang dừng lại, xác định khoảng cách giữa rùa và thỏ sau 50 s.
b) Kể từ lúc thỏ dừng lại, cần thời gian bao lâu để rùa có thể đi xa thỏ 140 cm?
7.22. Lúc 6h, ô tô thứ nhất đi từ thành phố A đến thành phố B với tốc độ 45 km/h.
Sau khi chạy được 40 min, xe nghỉ tại một bến xe trong thời gian 20 min rồi tiếp tục
chạy với tốc độ ban đầu. Lúc 7h, ô tô thứ hai khởi hành từ thành phố A đi về B với
tốc độ 60 km/h. Coi chuyển động của hai ô tô là chuyển động thẳng đều.
a) Vẽ đồ thị chuyển động của hai ô tô trên cùng một hệ trục tọa độ.
b) Căn cứ vào đồ thị, xác định vị trí và thời gian hai ô tô gặp nhau.
7.23. Một người đi xe máy với tốc độ 36 km/h nhìn thấy một xe đạp đang chuyển
động ngược chiều ở cách xa mình 280 m. Sau 20s, hai xe đi ngang qua nhau. Tính
tốc độ của xe đạp.
7.24. Một canô mở máy đi xuôi dòng từ A đến B hết 40 phút còn đi ngược dòng từ B
đến A hết 1 giờ 20 phút. Hỏi nếu cano tắt máy, nó trôi từ A đến B hết bao nhiêu thời
gian? Coi canô chuyển động thẳng đều.
7.25. Đọc bài viết và thực hiện các yêu cầu bên dưới.
Những cầu thủ chạy nhanh nhất thế giới
Tốc độ chạy là yếu tố vô cùng quan trọng trong bóng đá. Một cầu thủ sở hữu thể lực
tốt và tốc độ chạy nhanh có thể tạo ra nhiều bứt phá, tăng khả năng ghi bàn. Tại

World Cup 2018, cầu thủ người Bồ Đào Nha, Cristiano Ronaldo có tốc độ chạy kỉ lục
là 38,6 km/h và hiện đang nắm giữ kỉ lục cầu thủ chạy nhanh nhất thế giới. Cầu thủ
người Pháp, Kylian Mbappe có tốc độ chạy đạt kỉ lục là 38 km/h trong một trận bóng
ở World Cup 2018. Cầu thủ người Hà Lan, Arjen Robben đã lập nên kỉ lục mới cho
chính mình với tốc độ chạy là 37 km/h, nhờ đó anh đã ghi bàn trong một trận bóng ở
World Cup 2014.
▲ Hình. Cầu thủ Kylian Mbappe
a) Đổi tốc độ chạy của các cầu thủ sang đơn vị m/s.
b) Tính thời gian để Kylian Mbappe có thể chạy hết đoạn đường 105 m trên sân
bóng với tốc độ tối đa.
c) Kể tên một số môn thể thao khác, trong đó tốc độ là yếu tố quan trọng để có thể
đạt thành tích cao.
7.26. Một xe tải chạy trên đoạn đường đầu dài 45 km trong 45 phút, sau đó xe tiếp
tục chạy thêm 18 km trong 20 phút. Tính tốc độ của xe tải trên mỗi đoạn đường.
7.27.
a) Tốc độ là gì? Viết công thức tính tốc độ?
b) Hãy tìm ví dụ minh họa cho hai cách xác định sự nhanh, chậm của chuyển động.
7.28. Ghép một nội dung ở cột A với một nội dung phù hợp ở cột B.
A B
1. Tốc độ chuyển động cho biết
2. Tốc độ chuyển động được xác định
bằng
3. Đơn vị tốc độ phụ thuộc vào
4. Đơn vị của tốc độ là
a) đơn vị độ dài và đơn vị thời gian.
b) m/s và km/h.
c) sự nhanh, chậm của chuyển động.
d) quãng đường đi được trong một đơn
vị thời gian.
7.29. Sắp xếp lại các số liệu trong cột B cho phù hợp với cột A và điền các giá trị
thích hợp vào cột C của bảng sau:
A. Đối tượng chuyển động B. Tốc độ (m/s) C. Tốc độ (km/h)
Người đi bộ 15 đến 20 ...?...
Người đi xe đạp 3 đến 4 ...?...
Ô tô 1,5 ...?...

Tàu hỏa 200 đến 300 ...?...
Máy bay phản lực 10 đến 20 ...?...
7.30. Tìm số thích hợp để điền vào chỗ trống:
a) 10 m/s = ...?... km/h. b) ...?... km/h = 15 m/s.
c) 45 km/h = ...?... m/s. d) 120 cm/s = ...?... m/s = ...?... km/h.
e) 120 km/h = ...?... m/s = ...?... cm/s.
7.31. Đội chạy tiếp sức 4x100 m nữ Việt Nam đã xuất sắc giành Huy chương Vàng
ở SEA Games 29 khi đạt thành tích 43 s 88, phá kỉ lục SEA Games. Huy chương
Bạc ở nội dung này thuộc về đội tuyển Thái Lan (44 s 62), huy chương đồng thuộc
về đội tuyển Philippin (44 s 81). Tính tốc độ của mỗi đội tuyển trên đường đua.
7.32. Lúc 7 h sáng, một mô tô đi từ Thành phố Hồ Chí Minh đến Biên Hoà cách
nhau 30 km. Lúc 7 h 20 min, mô tô còn cách Biên Hoà 10 km. Hỏi nếu mô tô đi liên
tục không nghỉ với tốc độ không thay đổi thì sẽ đến Biên Hoà lúc mấy giờ?
7.33. Trên một cung đường dốc gồm ba đoạn: lên dốc, đường bằng và xuống dốc.
Một ô tô lên dốc hết 30 min, chạy trên đoạn đường bằng với tốc độ 60 km/h trong 10
min, xuống dốc cũng trong 10 min. Biết tốc độ khi lên dốc bằng nửa tốc độ trên đoạn
đường bằng, tốc độ khi xuống dốc gấp 1,5 lần tốc độ trên đoạn đường bằng. Tính
độ dài cung đường trên.
7.34.
a) Biết nữ vận động viên Việt Nam - Lê Tú Chinh đoạt Huy chương Vàng SEA
Games 2019 chạy 100 m hết 11,54 s. Tính tốc độ của vận động viên này.
▲ Hình. Nữ vận động viên Lê Tú Trinh
b) Lúc 8 h 30 min, bạn A đi bộ từ nhà đến siêu thị với tốc độ 4,8 km/h. Biết quãng
đường từ nhà bạn A đến siêu thị dài 2,4 km. Hỏi bạn A đến siêu thị lúc mấy giờ?

c) Bạn B đi xe đạp từ nhà đến trường với tốc độ 12 km/h hết 20 min. Tính quãng
đường từ nhà bạn B tới trường.
7.35. Trong thực tế làm thế nào để xác định được sự nhanh chậm của chuyển
động?
7.36. Bạn A đi xe đạp đến trường và mất hết 15 phút. Quãng đường từ nhà bạn A
đến trường là 3 km. Tốc độ đi xe đạp của bạn A là bao nhiêu?
7.37. Hai người cùng xuất phát từ A. Người thứ I đi xe đạp được quãng đường 3000
m hết 10 phút. Người thứ II đi xe máy được quãng đường 18 km hết 0,5 h.
a) Tính tốc độ mỗi người?
b) Nếu hai người cùng khởi hành một lúc và đi cùng chiều thì sau 20 phút, hai người
cách nhau bao nhiêu km?
7.38. Trình bày cách tính tốc độ của người đi xe đạp trong hình sau.
▲ Hình. Chuyển động của một người đi xe đạp

7.39. Đoàn tàu Thống Nhất xuất phát tại Hà Nội, đoàn tàu ấy đi đến thành phố Đà
Nẵng lúc 10 giờ 30 phút sáng hôm sau. Đoàn tàu chạy với tốc độ 50 km/h. Độ dài
đoạn đường từ Hà Nội đến Đà Nẵng là 750 km. Đoàn tàu xuất phát chạy từ Hà Nội
ngày hôm trước lúc thời gian mấy giờ?
7.40. Một ô tô khởi hành từ Hà Nội lúc 8 h đến Hải Phòng lúc 10 h. Cho biết quãng
đường Hà Nội – Hải Phòng dài 100 km. Tính tốc độ của ô tô ra km/h và m/s?
7.41. Hai ô tô khởi hành và chuyển động thẳng đều ngược chiều nhau. Tốc độ xe
thứ nhất gấp 1,2 lần tốc độ của xe thứ hai. Ban đầu hai xe cách nhau 198 km và sau
2 giờ thì hai xe gặp nhau. Tính tốc độ của hai xe.
7.42. Ô tô chuyển động với tốc độ 54 km/h, gặp đoàn tàu đi ngược chiều. Người lái
xe thấy đoàn tàu lướt qua trước mặt mình trong thời gian 30 giây. Biết tốc độ đoàn
tàu là 36 km/h.
a) Tính chiều dài đoàn tàu.
b) Nếu ô tô chuyển động đuổi theo đoàn tàu thì thời gian để ô tô vượt hết chiều dài
của đoàn tàu là bao nhiêu? Coi tốc độ đoàn tàu và ô tô không thay đổi?
7.43. Đổi tốc độ của các phương tiện giao thông trong bảng ra đơn vị m/s.
Phương tiện giao thông Tốc độ (km/h) Tốc độ (m/s)
Xe đạp 10,8 ?
Ca nô 36 ?
Tàu hoả 60 ?
Ô tô 72 ?
Máy bay 720 ?
7.44. Một bạn học sinh xuất phát từ nhà đi bộ đến trường với tốc độ 3,6 km/h.
Trường cách nhà 1200 m vào học lúc 7 giờ sáng. Dọc đường đi bạn ấy có dừng lại
5 phút để chờ một bạn khác đi cùng, vậy bạn ấy phải xuất phát trễ nhất lúc mấy giờ
để không đi học muộn?
7.45. Một máy bay bay với tốc độ 800 km/h từ Hà Nội đến Thành phố Hồ Chí Minh.
Nếu đường bay Hà Nội – Thành phố Hồ Chí Minh dài 1400 km thì máy bay phải bay
trong bao lâu?
7.46. Vòng chạy quanh sân trường dài 400 m. Học sinh chạy thi cùng xuất phát từ
một điểm. Biết tốc độ của các em lần lượt v
1
= 4,8 m/s và v
2
= 4 m/s. Tính thời gian
ngắn nhất để hai em gặp nhau trên đường chạy.
7.47. Bạn A đạp xe đạp từ nhà đến trường lúc 6h 10 min và đến trường lúc 6h 40
min. Biết trường cách nhà bạn A 6 km và bạn A chuyển động với tốc độ không đổi.
Hãy tính vận tốc của bạn A theo đơn vị m/s và km/h?
7.48. Bạn Nam đạp xe đạp từ nhà lúc 6 h 15 min đến trường lúc 6h 35 min. Biết
Nam chuyển động với tốc độ không đổi 5 m/s. Tính khoảng cách từ nhà Nam đến
trường.

0
10
20
30
40
t (h)0.5
1
1.5
2
S (km)
(I)
(II)
7.49. Bạn Hà đạp xe với tốc độ không đổi 15 km/h từ nhà lúc 7h 20 min và đến công
viên lúc 7h 35 min nhưng công viên đóng cửa nên Hà đến hiệu sách cách đó 5 km
với tốc độ không đổi 6 m/s. Tính tốc độ trung bình của Hà trên cả chặng đường từ
nhà đến hiệu sách.
BÀI 8. ĐỒ THỊ QUÃNG ĐƯỜNG – THỜI GIAN
8.1. Cho đồ thị (I) và (II) trên hình bên biểu diễn chuyển động thẳng đều của xe máy
và xe đạp theo cùng một chiều. Căn cứ vào đồ thị, hãy cho biết:
a) Xe máy và xe đẹp có khởi hành cùng một lúc và tại cùng một nơi không?
b) Tốc độ của mỗi xe.
c) Xác định vị trí gặp nhau của hai xe và quãng đường mỗi xe đi được đến khi gặp
nhau.
8.2. Hình bên biểu diễn đồ thị quãng đường − thời gian của một xe buýt xuất phát từ
trạm A, chạy theo tuyến cố định đến trạm B, cách A 80 km.

a) Xác định quãng đường đi được của xe buýt sau 1 h kể từ lúc xuất phát.
b) Sau bao lâu kể từ lúc xuất phát xe buýt đi đến trạm B?
c) Từ đồ thị, hãy xác định tốc độ của xe buýt.
8.3. Một con rái cá bơi trên một dòng sông được quãng đường 100 m trong 40 s,
sau đó nó thả mình trôi theo dòng nước 50 m trong 40 s.
a) Tính tốc độ bơi của rái cá trong 40 s đầu và tốc độ của dòng nước.
b) Vẽ đồ thị quãng đường − thời gian của rái cá.
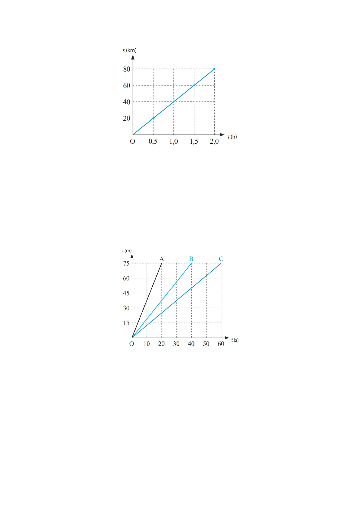
8.4. Hình bên dưới biểu diễn đồ thị quãng đường − thời gian của ba học sinh A, B và
C đi xe đạp trong công viên.
a) Từ đồ thị, không cần tính tốc độ, hãy cho biết học sinh nào đạp xe chậm hơn cả.
Giải thích.
b) Tính tốc độ của mỗi xe.
8.5. Hình dưới đây biểu diễn đồ thị quãng đường − thời gian chuyển động của một
con mèo.

a) Sau 8 s kể từ lúc bắt đầu chuyển động, con mèo đi được bao nhiêu mét?
b) Xác định tốc độ của con mèo trong từng giai đoạn được kí hiệu (A), (B), (C), (D)
trên đồ thị.
8.6. Hình bên dưới là đồ thị quãng đường – thời gian của một vật chuyển động.
Dựa vào hình vẽ, hãy kiểm tra các thông tin sau đây là đúng hay sai.
a) Tốc độ của vật là 2 m/s.
b) Sau 2 s, vật đi được 4 m.
c) Từ giây thứ 4 đến giây thứ 6, vật đi được 12 m.
d) Thời gian để vật đi được 8 m là 4 s.
8.7. Hình bên dưới là đồ thị quãng đường – thời gian của một người đi xe đạp và
một người đi mô tô. Biết mô tô chuyển động nhanh hơn xe đạp.

a) Đường biểu diễn nào ứng với chuyển động của xe đạp?
b) Tính tốc độ của mỗi chuyển động.
c) Sau bao lâu thì hai xe gặp nhau?
8.8. Một người đi xe đạp, sau khi đi được 8 km với tốc độ 12 km/h thì dừng lại để
sửa xe trong 40 min, sau đó đi tiếp 12 km với tốc độ 9 km/h.
a) Vẽ đồ thị quãng đường – thời gian của người đi xe đạp.
b) Xác định tốc độ của người đi xe đạp trên cả quãng đường.
8.9. Một mô tô chuyển động trên quãng đường s km. Trong nửa thời gian đầu t
1
, mô
tô chuyển động với tốc độ v
1
= 40 km/h; trong nửa thời gian còn lại t
2
, mô tô chuyển
động với tốc độ v
2
= 60 km/h.
Thời gian chuyển động t
(h)
0 0,5 1,0 1,5 2,0
Quãng đường s (km) 0 15 30 45 60
a) Xác định thời gian để ca nô đi được quãng đường 60km.
b) Tính tốc độ của ca nô trên quãng đường 60km.
c) Dự đoán vào lúc 9h00, ca nô sẽ đến vị trí cách bến tàu bao nhiêu km. Cho biết tốc
độ của ca nô không đổi.
d) Nêu nhận xét về đường nối các điểm O, A, B, C, D trên hình (thẳng hay cong,
nghiêng hay nằm ngang).

▲ Hình. Đồ thị quãng đường – thời gian của ca nô
8.14. Cho đồ thị đường đi theo thời gian của 2 chuyển động I và II trên một đường
thẳng như hình vẽ.
a) Hai chuyển động có điểm xuất phát khác nhau thế nào?
b) So sánh tốc độ hai chuyển động đó?
c) Điểm hai đồ thị cắt nhau cho ta biết điều gì?
8.15.
a) Dựa vào bảng ghi số liệu dưới đây về quãng đường và thời gian của một người đi
bộ, em hãy vẽ đồ thị quãng đường – thời gian của người này.
t (h) 0 0,5 1,0 1,5 2,0
s (km) 0 2,5 5,0 7,5 10

b) Trong trường hợp nào thì đồ thị quãng đường – thời gian có dạng là một đường
thẳng nằm ngang?
8.16. Dựa vào các thông tin về quãng đường và thời gian của một người đi xe đạp
trong hình dưới, hãy:
a) Lập bảng ghi các giá trị quãng đường s và thời gian t của người này
b) Vẽ đồ thị quãng đường - thời gian của người đi xe đạp nói trên.
▲ Hình. Quãng đường và thời gian của một người đi xe đạp
8.17. Dựa vào đồ thị quãng đường – thời gian của ô tô (hình bên) để trả lời các câu
hỏi sau:
a) Sau 50 giây, xe đi được bao nhiêu mét?
b) Trên đoạn đường nào xe chuyển động nhanh hơn? Xác định tốc độ của xe trên
mỗi đoạn đường.
▲ Hình. Đồ thị quãng đường – thời gian của một ô tô
8.18. Lúc 6h sáng, bạn A đi bộ từ nhà ra công viên để tập thể dục cùng các bạn.
Trong 15 min đầu, A đi thong thả được 1000 m thì gặp B. A đứng lại nói chuyện với
B trong 5 min. Chợt A nhớ ra là các bạn hẹn mình bắt đầu tập thể dục ở công viên

vào lúc 6 h 30 min nên vội vã đi nốt 1000 m còn lại và đến công viên vào đúng lúc 6
h 30 min.
a) Vẽ đồ thị quãng đường - thời gian của bạn A trong suốt quá trình 30 min đi từ nhà
đến công viên.
b) Xác định tốc độ của bạn A trong 15 min đầu và 10 min cuối của hành trình.

BÀI 9. ĐO TỐC ĐỘ
9.1. Lúc 12 giờ kim giờ và kim phút trùng nhau. Hỏi sau bao lâu, hai kim đó lại trùng
nhau.
9.2. Trong một thí nghiệm đo tốc độ của xe đồ chơi chạy pin, khi cho xe chạy qua
hai cổng quang điện cách nhau 20 cm thì thời gian xe chạy qua hai cổng quang điện
được hiển thị trên đồng hồ là 1,02 s. Tính tốc độ chuyển động của xe.
9.3. Bảng dưới đây cho biết thông tin về thành tích bơi ở cự li 50 m của một số nữ
vận động viên quốc tế.
(Nguồn: https://www.na.org)
Nội
dung
bơi
Thời
gian bơi
(s)
Tên vận
động viên
Quốc
tịch
Sự kiện
Tốc độ
(m/s)
50 m
bơi tự
do
22,93
Ramoni
Kromowidjojo
Hà Lan World Cup 2017 ?
50 m
bơi
ngửa
25,27
Margaret Mc
Neil
Canada
Final World Swimming
Championship 2021
?
50 m
bơi
bướm
24,38
Therese
Alshammar
Thụy
Điển
World Cup 2009 ?
a) Tính tốc độ bơi của các vận động viên.
b) Để đo tốc độ bơi của một người, em cần những dụng cụ gì?
9.4. Hình dưới đây mô tả một cách đo tốc độ lan truyền âm thanh trong không khí,
bằng cách tạo ra tiếng thước gõ lên mặt bàn. Hai micro được kết nối với bộ đếm
thời gian. Các cảm biến gắn trong bộ đếm thời gian thu nhận tín hiệu âm thanh đến
mỗi micro và hiển thị trên màn hình khoảng thời gian từ lúc micro 1 nhận tín hiệu
đến lúc micro 2 nhận tín hiệu.

a) Hãy trình bày cách tính tốc độ lan truyền âm thanh trong không khí.
b) Giả sử trong một lần đo, người ta bố trí khoảng cách giữa hai micro là 1,2 m và
khoảng thời gian hiển thị trên màn hình của bộ đếm thời gian là 0,0035 s. Tính tốc
độ lan truyền âm thanh trong không khí.
9.5. Để đo tốc độ gió, người ta chỉ cần một chong chóng gió và một đồng hồ bấm
giây. Bằng cách đo số vòng quay của chong chóng trong một khoảng thời gian nhất
định, người ta có thể tính ra tốc độ gió.
a) Hãy trình bày cách tính tốc độ gió.
b) Trong một lần đo với chong chóng gió có bán kính 60 cm, người ta đếm được
chong chóng quay 20 vòng trong thời gian 4,2 s. Tính tốc độ gió.
9.6. Bảng dưới đây cho biết số chỉ của đồng hồ đo quãng đường trên một xe máy tại
các thời điểm khác nhau kể từ lúc xuất phát (6 giờ 30 phút).
Thời điểm
Số chỉ của đồng hồ đo
quãng đường (km)
Quãng đường đi được
tính từ lúc xuất phát
(km)
6 giờ 30 phút 10 200 0
7 giờ 10 220 ?
7 giờ 30 phút 10 240 ?
8 giờ 10260 ?
a) Xác định quãng đường xe đi được tính từ lúc xuất phát cho đến các thời điểm đã
cho và điền vào bảng.
b) Tính tốc độ của xe trong các khoảng thời gian sau:
– Từ lúc 6 giờ 30 phút đến 7 giờ.
– Từ lúc 6 giờ 30 đến 7 giờ 30 phút.
– Từ lúc 6 giờ 30 đến 8 giờ.
c) Nêu nhận xét về chuyển động của xe.
9.7. Một bạn đo tốc độ đi học của mình bằng cách sau:
– Đếm bước đi từ nhà đến trường;
– Đo thời gian đi bằng đồng hồ bấm giây;
– Tính tốc độ bằng công thức: s = v.t .
Biết số bước bạn đó đếm được là 1 212 bước, mỗi bước trung bình dài 0,5 m và
thời gian đi là 10 min. Tính tốc độ đi của bạn đó.
9.8. Trình bày cách đo tốc độ bằng đồng hồ bấm giây?
9.9.
a) Khi dùng đồng hồ bấm giờ để đo tốc độ của xe chạy trên đường như hình bên
dưới, em gặp những khó khăn gì?

b) Theo em, cách đo tốc độ của vật chuyển động bằng cổng quang điện có ưu điểm
gì so với cách đo bằng đồng hồ bấm giây?
c) Nêu một số ví dụ để minh hoạ sự cần thiết của việc đo tốc độ trong cuộc sống.
9.10. Đoàn tàu Thống Nhất SE xuất phát tại Hà Nội lúc 9 giờ tối, đoàn tàu ấy đi đến
thành phố Nha Trang lúc 22 giờ hôm sau. Biết Nha Trang cách Hà Nội 1250 km, vậy
tốc độ trung bình của đoàn tàu là bao nhiêu?
BÀI 10. TỐC ĐỘ VÀ AN TOÀN GIAO THÔNG
10.1.

a) Biển báo trong hình dưới đây có ý nghĩa gì?
▲ Hình. Biển báo
b) Vì sao chúng ta phải giữ khoảng cách an toàn khi lái xe trên đường?
10.2. Đánh dấu (×) vào cột đúng hoặc sai về phương diện an toàn giao thông cho
mỗi hoạt động sau.
STT Họat động Đúng Sai
1
Tuân thủ giới hạn về tốc độ.
2
Cài dây an toàn khi ngồi trong ô tô.
3
Giữ đúng quy định về khoảng cách an toàn.
4
Giảm khoảng cách an toàn khi thời tiết đẹp.
5
Giảm tốc độ khi trời mưa hoặc thời tiết xấu.
6
Vượt đèn đỏ khi không có cảnh sát giao thông.
7
Nhường đường cho xe ưu tiên.
8
Nhấn còi liên tục.
10.3. Đọc đoạn văn bản sau và thực hiện các yêu cầu bên dưới.
Ngày 08/09/2021, Tổ chức An toàn Giao thông Toàn cầu đã công bố một bản báo
cáo với tiêu đề “Tai nạn giao thông đường bộ, biến đổi khí hậu, ô nhiễm môi trường
và tổng chi phí của tốc độ: Sáu biểu đồ nói lên tất cả”.
Bản báo cáo đã làm sáng tỏ những hiểu lầm phổ biến về tác động của tốc độ đối với
an toàn giao thông đường bộ, tắc nghẽn giao thông, ô nhiễm môi trường cũng như
chi phí đi lại. Dẫn chứng cụ thể trong báo cáo một lần nữa nhấn mạnh giảm tốc độ là
một trong những cách hiệu quả nhất giúp cải thiện an toàn đường bộ. Cụ thể, nếu
tốc độ phương tiện tăng lên 1% thì số người chết vì tai nạn giao thông tương ứng
tăng từ 3,5 – 4%.
Báo cáo cũng chỉ ra rằng việc áp dụng các giới hạn tốc độ thấp hơn sẽ tối ưu hơn về
mặt kinh tế. Các phân tích ủng hộ việc cho phép tốc độ cao thường chỉ tập trung vào
lợi ích của việc tiết kiệm thời gian di chuyển mà bỏ qua các chi phí kinh tế khác nảy
sinh từ va chạm, khí thải, nhiên liệu và bảo dưỡng phương tiện.
Báo cáo cũng nêu những lợi ích khác của giảm tốc độ trong việc thúc đẩy giao thông
bền vững. Đó là giảm tác động biến đổi khí hậu của giao thông đường bộ, tăng hiệu
suất sử dụng (nhiên liệu và bảo dưỡng phương tiện), cải thiện sự hoà nhập xã hội
và mức độ thân thiện với người đi bộ của hệ thống giao thông.

(Theo Cổng thông tin điện tử Bộ Giao thông vận tải)
a) Dẫn chứng một số liệu từ bản báo cáo cho thấy tốc độ ảnh hưởng rất lớn đến an
toàn giao thông đường bộ.
b) Biện pháp nào là hữu hiệu nhất để giúp cải thiện an toàn giao thông đường bộ?
c) Nêu những lợi ích của việc giảm tốc độ đối với xã hội.
10.4. Camera của một thiết bị “bắn tốc độ” ghi hình và tính được thời gian một ô tô
chạy qua giữa hai vạch mốc cách nhau 20 m là 0,83 s. Nếu tốc độ giới hạn quy định
trên làn đường là 70 km/h thì ô tô này có vượt quá tốc độ cho phép hay không?
10.5. Camera của thiết bị bắn tốc độ đặt trên đường bộ không có giải phân cách
cứng ghi được thời gian của một ô tô tải chở 4 tấn hàng chạy từ vạch mốc 1 sang
vạch mốc 2 cách nhau 10 m là 0,50 s. Hỏi xe có vi phạm quy định về tốc độ tối đa
trong hình không?
▲ Hình. Bảng quy định tốc độ tối đa của một số xe cơ giới áp dụng trên đường bộ
không có giải phân cách cứng
10.6. Hãy dùng quy tắc “3 giây” để xác định khoảng cách an toàn của xe ô tô chạy
với tốc độ 70 km/h. Khoảng cách tính được này có phù hợp với quy định về tốc độ
tối đa trong bảng không? Tại sao?
KHOẢNG CÁCH AN TOÀN GIỮA HAI XE
(Trong điều kiện đường khô ráo)
Tốc độ lưu hành
(km/h)
Khoảng cách an toàn tối thiểu
(m)
60 35 m
60 < v ≤ 80 55 m
80 < v ≤ 100 70 m
100 < v ≤ 120 100 m
Bấm Tải xuống để xem toàn bộ.