Report tài liệu
Chia sẻ tài liệu
CÔNG THỨC TÀI CHÍNH TIỀN TỆ CHO KHÓA HỌC TÀI CHÍNH
CÔNG THỨC TÀI CHÍNH TIỀN TỆ CHO KHÓA HỌC TÀI CHÍNH
Môn: Quản trị hành chính văn phòng 40 tài liệu
Trường: Trường Đại học Tài Chính - Marketing 1 K tài liệu
Tác giả:



Tài liệu khác của Trường Đại học Tài Chính - Marketing
Preview text:
CÔNG THỨC TÀI CHÍNH TIỀN TỆ
Chi phí sản xuất trong kỳ
Giá thành một sản phẩm = Sốlượngsảnphẩmdochiphí đótạora
Lãi suất tín dụng trong kỳ = Lợitứcthuđược
Tổng số tiền chovay x 100%
Lãi suất danh nghĩa = Lãi suất thực + Tỷ lệ lạm phát
Các công thức LÃI ĐƠN:
- FVn = PV x ( 1 + r x n)
o PV: Vốn đầu tư ban đầu o r: Lãi suất o n: Số kỳ đầu tư
o FVn: Số tiền gốc và lãi có được sau n kỳ
- Số vốn gốc ban đầu: PV = FV 1+ nr
- Lãi suất đầu tư: r = FV −PV PV .n
- Thời hạn đầu tư: n = FV −PV PV . r
Các công thức LÃI KÉP: - FVn = PV x ( 1 + r)n
o PV: Vốn đầu tư ban đầu o r: Lãi suất o n: Số kỳ đầu tư
o FVn : Số tiền cả gốc và lãi có được sau n kỳ ln ( FV n )
- Thời hạn đầu tư: n= PV ln (1+r)
- Lãi suất đầu tư: r = PV √nFV−1
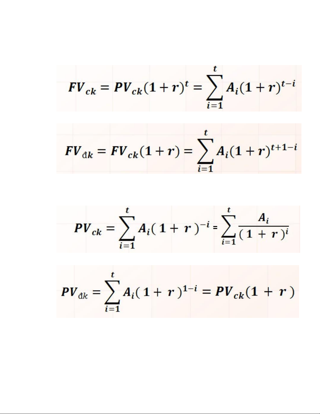
Công thức giá trị trương lai của chuỗi tiền tệ:
- Chuỗi tiền cuối kỳ:
- Chuỗi tiền đầu kỳ :
Công thức giá trị hiện tại của chuỗi tiền tệ
- Chuỗi tiền cuối kỳ:
- Chuỗi tiền đầu kỳ
Công thức chuỗi tiền tệ đều
Chuỗi tiền tệ đều cuối kỳ
Chuỗi tiền tệ đều đầu kỳ Giá trị tương lai Giá trị hiện tại
Tài liệu liên quan:
-
KHOA QTKD - Đề Tài: Tìm Hiểu Về Công Ty Đa Quốc Gia - Samsung Electronics
16 8 -
Bút tệ và Tiền điện tử: Khái niệm và Phân loại
25 13 -
Chính Sách Phân Phối: Khái Niệm, Vai Trò và Cấu Trúc Kênh Phân Phối
23 12 -
Tổng Hợp Phân Tích PESTLE Của Vinamilk: Chính Trị, Kinh Tế, Xã Hội, Công Nghệ
23 12 -
Trắc Nghiệm QT CHẤT LƯỢNG - Quiz Tài Liệu Ôn Tập
42 21