Report tài liệu
Chia sẻ tài liệu
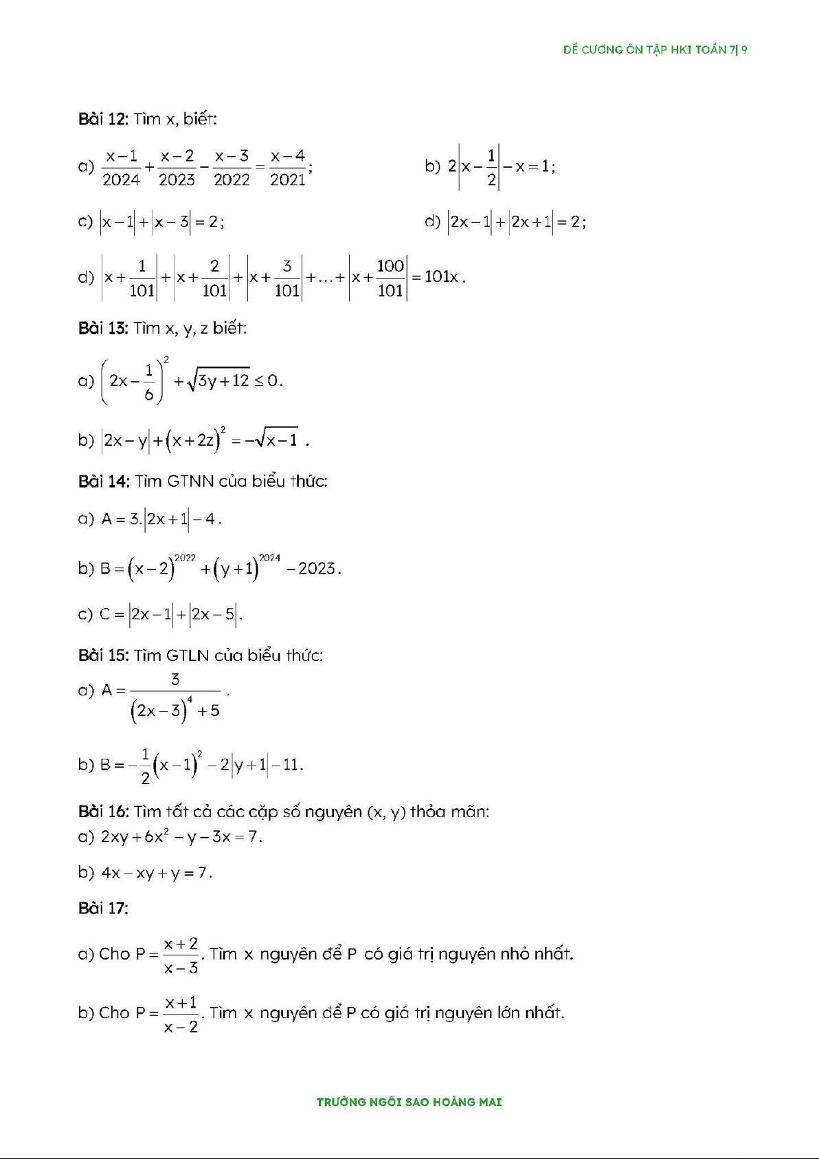
Đề cương học kì 1 Toán 7 năm 2025 – 2026 trường Ngôi Sao Hoàng Mai – Hà Nội
Xin giới thiệu đến quý thầy, cô giáo và các em học sinh đề cương ôn tập kiểm tra cuối học kì 1 môn Toán 7 năm học 2025 – 2026 trường Tiểu học – THCS – THPT Ngôi Sao Hoàng Mai, thành phố Hà Nội.
Chủ đề: Đề cương Toán 7 21 tài liệu
Môn: Toán 7 2.6 K tài liệu
Tác giả:
Tài liệu liên quan:
-
Đề cương cuối kì 1 Toán 7 năm 2025 – 2026 trường THCS Nguyễn Văn Linh – TP HCM
10 5 -
Đề cương học kì 1 Toán 7 năm 2025 – 2026 trường THCS Lê Quang Cường – TP HCM
9 5 -
Đề cương học kì 1 Toán 7 năm 2025 – 2026 trường THCS Phúc Diễn – Hà Nội
13 7 -
Đề cương cuối học kì 1 Toán 7 năm 2025 – 2026 trường THCS Thọ Lộc – Hà Nội
11 6 -
Đề cương cuối học kì 1 Toán 7 năm 2025 – 2026 trường THCS Long Toàn – TP HCM
16 8












