



















Preview text:
ĐỀ CƯƠNG LÝ THUYẾT CƠ NHIỆT I. Cơ học
Câu 1: Viết biểu thức gia tốc tiếp tuyến và gia tốc pháp tuyến của một chất điểm. Chỉ rõ
vai trò của từng loại gia tốc trong chuyển động.
Gia tốc tiếp tuyến là đặc trưng cho sự thay đổi về hướng của vận tốc theo thời
gian, phương trùng với phương tiếp tuyến.
Gia tốc pháp tuyến là đặc trưng cho sự thay đổi về phương của vận tốc theo
thời gian, phương vuông góc với tiếp tuyến của quỹ đạo vật. a 2
t: gia tốc tiếp tuyến (m/s ) a 2
n: gia tốc pháp tuyến (m/s )
v: vận tốc tức thời (m/s)
R: độ dài của bán kính cong (m)
Câu 2: Viết biểu thức của lực quán tính xuất hiện trong hệ quy chiếu chuyển động thẳng
có gia tốc và lực quán tính ly tâm. Nêu các ví dụ về hai loại lực đó
c) Ví dụ về hai loại lực trên:
- Khi đi trên xe buýt xe đang chạy bình thường xe đột ngột thắng lại làm cho hành khách
lao về phía trước là do quán tính tác động.
- chúng ta có một con quay đặt trên một bàn và quay với tốc độ không đổi. Khi con quay
quay nhanh, chúng ta có thể cảm nhận được một lực tác động lên đối tượng đặt trên con
quay, đẩy nó ra khỏi trục quay. Đây chính là lực quán tính ly tâm.
Câu 3: Viết biểu thức tính động lượng của một vật và giải thích các đại lượng trong biểu
thức đó. Phát biểu và chứng minh định luật biến thiên và bảo toàn động lượng của hệ chất điểm.
b) Định luật biến thiên và bảo toàn động lượngc ảu hệ chất điểm:
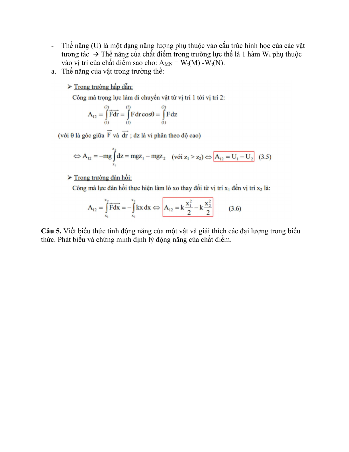
Câu 4: Định nghĩa thế năng. Thiết lập biểu thức thế năng một vật trong trường hấp dẫn
và trường lực đàn hồi.
- Thế năng (U) là một dạng năng lượng phụ thuộc vào cấu trúc hình học của các vật
tương tác Thế năng của chất điểm trong trường lực thế là 1 hàm Wt phụ thuộc
vào vị trí của chất điểm sao cho: AMN = Wt(M) -Wt(N).
a. Thế năng của vật trong trường thế:
Câu 5. Viết biểu thức tính động năng của một vật và giải thích các đại lượng trong biểu
thức. Phát biểu và chứng minh định lý động năng của chất điểm.
Trong đó: K: Động năng của một vật (J)
v: vận tốc chuyển động của vật (m/s)
m: khối lượng của vật (kg)
Câu 6. Phát biểu và chứng minh định luật bảo toàn cơ năng của một chất điểm chuyển động trong trường thế
Câu 7. Định nghĩa khối tâm của một hệ chất điểm. Viết biểu thức tọa độ khối tâm của
một hệ chất điểm (khối lượng hệ phân bố rời rạc) và của vật rắn (khối lượng phân bố liên
tục). Khối tâm của một vật có thể nằm ngoài vật đó không ? Nếu không thì vì sao ? Nếu có thì cho ví dụ
- Khối tâm của một hệ chất điểm: Khi hệ chất điểm đặt trong trọng lực thì điểm đặt
của lực tổng hợp tác dụng lên hệ được gọi là khối tâm của hệ (hoặc trọng tâm hoặc tâm quán tính).
- Biểu thức tọa độ khối tâm:
- Khối tâm của một vật có thể nằm ngoài vật đó.
- VD: Trọng tâm của một chiếc vòng nhẫn hình vành tròn, phân bố đều khối
lượng: Trọng tâm G của chiếc nhẫn nằm ngoài phần vật chất của vật vì tác dụng
của trọng lực đặt tại G là tương đương với tác dụng của các thành phần trọng lực
tác dụng lên tất cả phần vật chất nhỏ của vật.
Câu 8. Thiết lập phương trình chuyển động của khối tâm vật rắn. Phát biểu định luật
chuyển động của khối tâm.
- Định luật chuyển động của khối tâm.
Câu 9. Viết biểu thức của momen lực và giải thích các đại lượng trong đó. Thiết lập
phương trình cơ bản của chuyển động quay của vật rắn quanh một trục cố định.
- Biểu thức của moment lực được thể hiện như sau: M = F.d Trong đó: M: Momen lực (N.m).
d: Khoảng cách từ tâm quay đến giá của lực F (m).
F: Độ lớn của lực tác dụng dụng (N).
Câu 10. Định nghĩa mômen quán tính của vật rắn. Viết biểu thức của momen quán tính
của vật rắn khi khối lượng phân bố rời rạc và phân bố liên tục.
a) Mômen quán tính của vật rắn: Moment quán tính của vật rắn là đại lượng đặc
trưng cho mức quán tính của vật trong chuyển động quay.
b) Biểu thức của mômen quán tính của vật rắn khi quay quanh trục ∆: - Phân bố rời rạc: Trong đó:
mi: Khối lượng chất điểm
ri: khoảng cách tới trục quay ∆ của chất điểm. - Phân bố liên tục: Trong đó:
r: Khoảng cách từ vật rắn tới trục quay
dm: khối lượng của hạt sau khi vi phân khối lượng của vật rắn.
Câu 11. Phát biểu và chứng minh định lý Huygens - Steiner về các trục quay song song. a) Chứng minh định lí:
Mômen quán tính của một vật kéo dài được xác định là: I = ∫ r 2 dm
Trong đó dm là phần nhỏ của khối lượng và r là khoảng cách giữa dm và trục quay z. Trong
hình 2, trục này đi qua khối tâm CM, tuy nhiên nó có thể là bất kỳ.
Xung quanh một trục z 'khác, mômen quán tính là: I 2 z = ∫ (r ') dm
Bây giờ, theo tam giác tạo bởi các vectơ D , r và r ' (xem hình 2 bên phải), có một tổng vectơ: r + r ' = D → r' = D - r
Ba vectơ nằm trên mặt phẳng của vật thể, có thể là xy. Gốc của hệ tọa độ (0,0) được chọn trong CM
để thuận tiện cho các phép tính tiếp theo.
Theo cách này, môđun bình phương của vectơ r ' là:
Bây giờ sự phát triển này được thay thế trong tích phân của mômen quán tính I z và định nghĩa mật độ
dm = ρ.dV cũng được sử dụng:
Câu 12. Viết biểu thức momen động lượng của vật rắn quay quanh một trục. Phát biểu và
chứng minh định luật biến thiên và bảo toàn mômen động lượng của vật rắn.
Câu 13. Viết biểu thức động năng của vật rắn trong các trường hợp sau : Phần II: Nhiệt học
Câu 14. Phát biểu và viết biểu thức nguyên lý thứ nhất của nhiệt động lực học. Giải thích
tại sao không thể chế tạo được động cơ nhiệt vĩnh cửu loại I. Áp dụng nguyên lý thứ nhất
của nhiệt động lực học để giải thích hiện tượng nhiệt độ của hệ khí giảm trong quá trình giãn nở đoạn nhiệt.
- Giải thích hiện tượng nhiệt độc của hệ khí giảm trong quá trình dãn nở đoạn nhiệt:
Nguyên lý thứ nhất của nhiệt động học giải thích rằng trong quá trình giãn nở đoạn
nhiệt, hệ khí giảm nhiệt độ do công được thực hiện lên môi trường xung quanh và
chuyển đổi năng lượng từ nhiệt độ của hệ khí sang công.
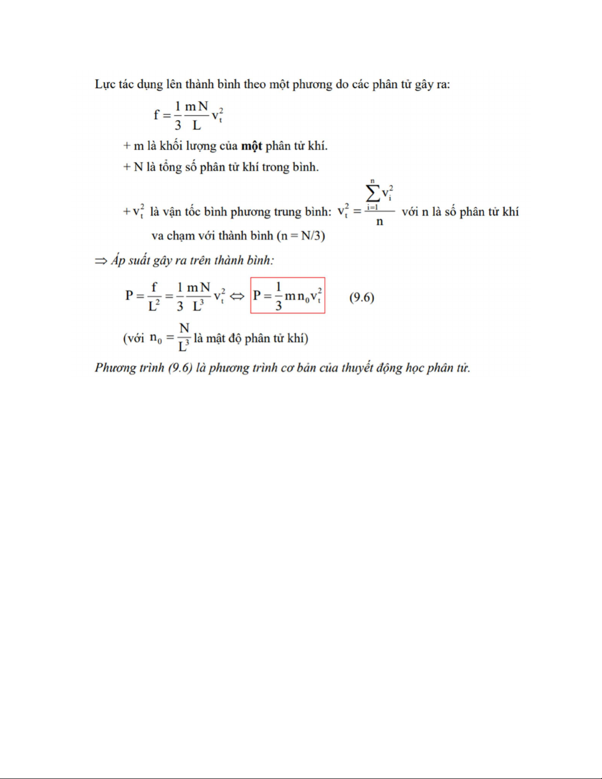
Câu 15. Viết phương trình cơ bản của thuyết động học phân tử và giải thích rõ các đại
lượng trong phương trình đó. Sử dụng phương trình cơ bản của thuyết động học phân tử
và phương trình trạng thái khí lý tưởng, dẫn ra công thức sự phụ thuộc của nhiệt độ tuyệt
đối vào vận tốc bình phương trung bình và các đại lượng liên quan.
- Phương trình cơ bản của thuyết động học phân tử:
Câu 16. Nêu định nghĩa bậc tự do của các phân tử khí. Lấy ví dụ các loại khí có 3 bậc tự
do, 5 bậc tự do, 6 bậc tự do. Phát biểu và viết công thức định luật phân bố đều năng lượng theo bậc tự do. c) Ví dụ: - Khí 3 bậc tự do: Heli. - Khí 5 bậc tự do: Oxi. - Khí 6 bậc tự do: CH3.
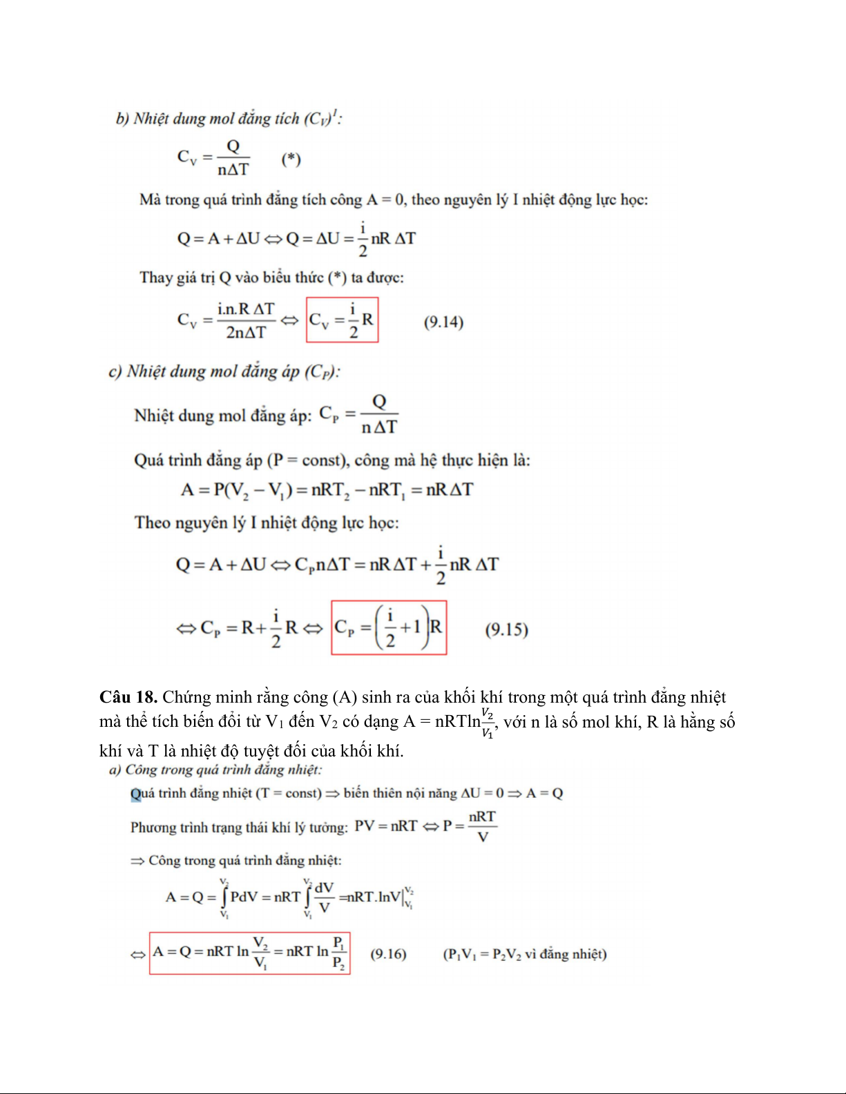
Câu 17. Sử dụng nguyên lý I nhiệt động học, dẫn ra biểu thức nhiệt dung mol của chất
khí trong quá trình đẳng tích và đẳng áp.
Câu 18. Chứng minh rằng công (A) sinh ra của khối khí trong một quá trình đẳng nhiệt
mà thể tích biến đổi từ V
1 đến V2 có dạng A = nRTln
, với n là số mol khí, R là hằng số
khí và T là nhiệt độ tuyệt đối của khối khí.
Câu 19. Sử dụng phương trình đoạn nhiệt thiết lập biểu thức tính công trong quá trình
đoạn nhiệt của khí lý tưởng biến đổi từ trạng thái đầu (áp suất p1, thể tích V1) đến trạng
thái cuối (áp suất p2, thể tích V2)
Câu 20. Trình bày về cấu tạo, nguyên tắc hoạt động và định nghĩa hiệu suất của động cơ nhiệt.
Phát biểu nguyên lý thứ hai của nhiệt động lực học theo cách của Thomson.
- Cấu tạo: gồm 3 bộ phận chính:
+ Nguồn nóng: Có nhiệt độ T1 cung cấp nhiệt lượng Q1 cho động cơ.
+ Nguồn lạnh: Có nhiệt độ T2 cung cấp nhiệt lượng Q2 cho động cơ. + Động cơ.
- Nguyên tắc hoạt động: Động cơ nhiệt lấy lượng nhiệt Q1 từ nguồn nóng và nhả
lượng nhiệt Q2 vào nguồn lạnh, trong quá trình đó nó sinh công A.
- Định nghĩa hiệu suất của động cơ: Đại lượng đặc trưng cho khả năng sinh công
của một động cơ nhiệt, được tính bằng tỷ số giữa công A sinh ra và lượng nhiệt nhận vào Q1: 𝐴 |𝑄 | − |𝑄| 𝜂 = = |𝑄| |𝑄|
- Nguyên lý thứ II của nhiệt động lực học theo Thomson: (phát biểu cho động cơ
nhiệt) Không thể tồn tại trong tự nhiên một quá trình mà kết quả duy nhất là biến
nhiệt lượng hoàn toàn thành công mà không để lại dấu vết gì cho môi trường xung
quanh. Hay: Không thể chế tạo được động cơ vĩnh cửu loại II (loại động cơ sinh
công đúng bằng năng lương nhận được).
Câu 21. Trình bày về cấu tạo, nguyên tắc hoạt động và định nghĩa hệ số làm lạnh của máy lạnh.
Phát biểu nguyên lý thứ hai của nhiệt động lực học theo cách của Claudius.
- Cấu tạo: 3 bộ phận chính:
+ Nguồn nóng: Có nhiệt độ T1 cung cấp nhiệt lượng Q1 cho động cơ.
+ Nguồn lạnh: Có nhiệt độ T2 cung cấp nhiệt lượng Q2 cho động cơ. + Máy lạnh.
- Nguyên tắc hoạt động: Máy lạnh sử dụng công A để lấy lượng nhiệt Q2 từ nguồn
lạnh và truyền cho nguồn nóng một lượng nhiệt Q1.
- Định nghĩa hệ số làm lạnh của máy lạnh: Hệ số làm lạnh (hệ số thực hiện) là đại
lượng đặc trưng cho khả năng vận chuyển nhiệt lượng từ nguồn lạnh từ nguồn
lạnh sang nguồn nóng, được tính bằng tỷ số giữa lượng nhiệt Q2 lấy được từ
nguồn lạnh và công A cần thiết để lấy lượng nhiệt đó: K = || | = | ||||
- Nguyên lý thứ II của nhiệt động lực học theo Clausius: (phát biểu cho máy lạnh)
Không thể có một quá trình mà kết quả duy nhất là truyền nhiệt lượng từ nguồn
lạnh sang nguồn nóng hơn mà không để lại dấu vết gì cho môi trường xung quanh.
Hay: Nhiệt không thể tự động truyền từ môi trường lạnh sang môi trường nóng
hơn. Hay: Không thể chế tạo được máy lạnh vĩnh cửu (loại máy lạnh đưa nhiệt
lượng từ nguồn lạnh sang nguồn nóng mà không sử dụng công từ bên ngoài).
Câu 22. Vẽ chu trình Carnot trên giản đồ P-V và chỉ rõ chu trình Carnot gồm những quá
trình nào? Viết biểu thức hiệu suất của chu trình Carnot và giải thích rõ các đại lượng trong biểu thức đó.
(chu trình Carnot chạy theo chiều thuận là động cơ nhiệt)
Trong đó: Q1 là lượng nhiệt nhận từ nguồn nóng có nhiệt độ T1
Q2 là lượng nhiệt tỏa ra nguồn lạnh có nhiệt độ T2
Câu 23. Nêu khái niệm entropy. Viết biểu thức định lượng và phát biểu nguyên lý thứ hai
nhiệt động lực học dựa trên khái niệm entropy. a) Khái niệm entropy:
b) Biểu thức định lượng và nguyên lý thứ hai nhiệt động lực học theo entropy:
- Định luật thứ hai của nhiệt động lực học có nội dung như sau: Trong một quá trình
nhiệt động lực học bất kì diễn tiến từ trạng thái cân bằng này sang một trạng thái
cân bằng khác, entropi của hệ và một trường hoặc giữ nguyên hoặc tăng.