










Preview text:
TRANSISTOR LƯỠNG CỰC (BJT)
Câu 1. Hãy cho biết vùng hoạt động của BJT npn trong bảng sau: Giải: Base-Emitter Base-Collector Voltage Voltage npn 0.7 V -5.0 V Tích cực -5.0 V Ngắt ngược Tích cực 0.7 V Bão hòa thuận
Câu 2, Hãy cho biết vùng hoạt động của BJT trong hình sau. Giải:
(a) vBE > 0, vBC = 0, tích cực thuận; (b) vBE = 0, vBC > 0, tích cực ngược; (c) vBE > 0, vBC = 0, tích cực thuận.
Câu 3. Hãy cho biết vùng hoạt động của BJT pnp trong bảng sau. Giải: Emitter-Base Collector-Base Voltage Voltage pnp 0.7 V -0.65 V Tích cực thuận 0.7 V Bão hòa -0.65 V Tích cực ngược Ngắt
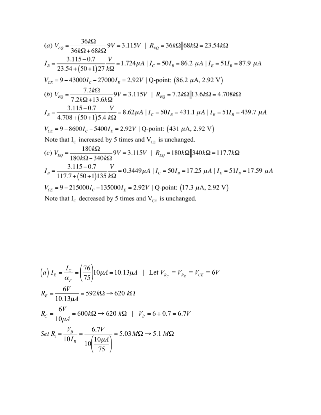
Câu 4. (a) Tìm điểm làm việc tĩnh Q trong mạch ở hình sau. Giả sử rằng 𝜷 = 𝟓𝟎 và
𝑽𝑩𝑬 = 𝟎. 𝟕 𝑽. (b) Lặp lại tính toán nếu các giá trị điện trở đều giảm đi 5 lần. (c) Lặp
lại tính toán nếu tất cả điện trở tăng lên 5 lần. Giải:
Câu 5. (a) Hãy thiết kế mạch phân cực 4 điện trở (mạch phân cực bằng phân áp)
cho BJT npn sao cho 𝑰𝑪 = 𝟏𝟎 𝝁𝑨 và 𝑽𝑪𝑬 = 𝟔 𝑽 đối với 𝑽𝑪𝑪 = 𝟏𝟖 𝑽 và 𝜷 = 𝟕𝟓. (b)
Thay các giá trị điện trở tìm được bằng các giá trị thực tế gần nhất và tìm điểm làm việc tĩnh Q. Giải:
Câu 6. Tìm điểm làm việc tĩnh Q trong hình sau sử dụng phương pháp đường tải.
Sử dụng đặc tuyến cho ở hình dưới. Giải:
Câu 7. Tìm điểm làm việc tĩnh Q trong hình sau sử dụng phương pháp đường tải.
Sử dụng đặc tuyến cho ở hình dưới. Giải:
(Xem hình ở bài giải của Câu 6)
Câu 8. Tìm điểm làm việc của BJT trong mạch ở hình dưới. Biết 𝜷 = 𝟒𝟎. Giải:
Câu 9. (a) Hãy thiết kế mạch phân cực cho ở hình dưới sao cho điểm làm việc tĩnh Q
có 𝑰𝒄 = 𝟏𝟎 𝒎𝑨 và 𝑽𝑬𝑪 = 𝟑 𝑽 nếu 𝜷 = 𝟔𝟎. (b) Tìm điểm làm việc tĩnh Q nếu 𝜷 thực sự chỉ bằng 40. Giải:
Câu 10. Cho các dữ liệu trong mạch ở hình dưới. Hãy xác định: (a) 𝜷, (b) 𝑽𝒄𝒄, (c) 𝑹𝑩. Giải:
Câu 11. Cho các dữ liệu trong mạch ở hình dưới. Hãy xác định: (a) 𝑹𝒄, (b) 𝑹𝑬, (c)
𝑹𝑩, (d) 𝑽𝑪𝑬, (e) 𝑽𝑩. Giải:
Câu 12. Hãy xác định các giá trị sau trong mạch cho ở hình dưới. Lưu ý: sử dụng
phương pháp gần đúng nếu thỏa mãn điều kiện. (a) 𝑰𝒄, (b) 𝑽𝑪𝑬, (c) 𝑰𝑩, (d) 𝑽𝑬, (e) 𝑽𝑩. Giải:
Câu 13. Hãy thiết kế mạch phân cực bằng phân áp sử dụng nguồn điện áp 24 V, 𝜷 = 𝟏
𝟏𝟏𝟎, điểm làm việc tĩnh với 𝑰𝑪 = 𝟒 𝒎𝑨 = 𝟖 𝑽 𝑸 và 𝑽 𝑪𝑬 . Chọn 𝑽 𝑽 𝑸
𝑬 = 𝟖 𝑪𝑪 . Sử dụng
các giá trị điện trở chuẩn. Giải: