






Preview text:
TL LUYỆN THI THPTQG 2021-2022
ĐỀ LÝ THUYẾT SỐ 14
1. Kim loại nào sau đây là kim loại kiềm thổ? A. K. B. Na. C. Mg. D. Al.
2. Khí X chiếm 20,9% thể tích trong không khí và có vai trò quyết định đối với sự sống của người và động vật. Khí X là A. CO2. B. H2. C. N2. D. O2.
3. Kim loại Fe không tác dụng với dung dịch nào sau đây? A. HNO3 loãng. B. HCl. C. CuSO4.
D. MgCl2.
4. Thành phần chính của quặng xiđerit là
A. FeCO3. B. Fe3O4. C. Al2O3.2H2O. D. FeS2.
5. Trong công nghiệp, kim loại nào sau đây được điều chế bằng phương pháp nhiệt nhôm? A. Mg. B. Cr. C. Na. D. Ca.
6. Số nguyên tử hiđro trong phân tử fructozơ là A. 6. B. 22. C. 5. D. 12.
7. Nước chứa nhiều ion nào sau đây được gọi là nước cứng vĩnh cửu? A. Ca2+, Mg2+ và HCO - 2- 3 .
B. Na+, K+, Cl- và SO4 .
C. Ca2+, Mg2+, Cl- và HCO - 2- 3 .
D. Ca2+, Mg2+, Cl- và SO4 .
8. Phát biểu nào sau đây đúng?
A. Anilin là chất lỏng tan nhiều trong nước.
B. Phân từ Gly-Ala có 1 liên kết peptit.
C. Phân tử valin có 2 nguyên tử nitơ.
D. Dung dịch glyxin có phản ứng màu biure.
9. Công thức nào sau đây không phải là một phenol ? A. CH3–C6H4 –OH
B. C6H5 –CH2OH C. (CH3)2- C6H3 –OH D. C2H5–C6H4 –OH
10. Dãy đồng đẳng của benzen có công thức chung là: A. CnH2n+6 ; n 6. B. CnH2n-6 ; n 3. C. CnH2n-2 ; n 6.
D. CnH2n-6 ; n 6.
11. Chất nào sau đây bị oxi hóa tạo sản phẩm là andehit? A. CH3-CHOH- CH3. B. (CH3)3COH C. C6H4(OH)CH3.
D. CH3-CH2-OH
12. Tên gọi của ancol: (CH3)2CH—CH2—CH2OH là:
A. 3-metyl butan-2-ol. B. 2-metyl butan-1-ol
C. 3-metyl butan-1-ol. D. 1,1-đimetyl propan-2-ol.
13. Chất nào sau đây hòa tan được Cu(OH)2 ? A. Phenol.
B. Etilenglicol. C. Etanol. D. Toluen
14. Khi cho khí CO đi qua hỗn hợp CuO, FeO, Fe3O4, Al2O3 và MgO, sau phản ứng chất rắn thu được là: A. Al và Cu B. Cu, Al và Mg
C. Cu, Fe, Al và MgO D. Cu, Fe, Al2O3 và MgO
15. Tính oxi hoá của cac bon thể hiện ở phản ứng nào sau đây:
A. 2C + Ca CaC2 B. C + 2CuO 2Cu + CO2 C. C + CO2 2CO D. C + H2O CO + H2
16. Thổi khí CO2 vào dung dịch Ca(OH)2 dư thì thu đựơc dung dịch chứa A. Ca(HCO3)2 B. CaCO3
C. Ca(OH)2 D. Ca(HCO3)2 và CaCO3
17. Hợp chất nào sau đây cộng hợp được với nước Br2 ? A. Anilin. B. metyl fomat C. glucozơ
D. triolein
18. Khi điện phân NaCl nóng chảy (điện cực trơ), tại catot xảy ra?
A. sự oxi hóa ion Na+ B. sự oxi hóa ion Cl- C. sự khử ion Cl-
D. sự khử ion Na+
19. Nước cứng là nước chứa nhiều các ion A. HCO , . B. Ba2+, Be2+. C. SO , .
D. Ca2+, Mg2+.
20. Chất tác dụng với H2 tạo thành sobitol là A. saccarozơ
B. glucozơ C. xenlulozơ D. tinh bột
21. Nhận xét nào sau đây không đúng?
A. Metyl axetat là đồng phân của axit axetic.
B. Poli (metyl metacrylat) được dùng làm thủy tinh hữu cơ.
C. Metyl fomat có t0 sôi thấp hơn axit axetic.
D. Các este thường nhẹ hơn nước và ít tan trong nước.
22. Thủy phân một triglixerit X bằng dung dịch NaOH, thu được hỗn hợp muối gồm natri oleat, natri stearat (có tỉ lệ
mol tương ứng là 1 : 2) và glixerol. Có bao nhiêu triglixerit X thỏa mãn tính chất trên? A. 2. B. 1. C. 3. D. 4.
23. Trường hợp nào dưới đây thu được kết tủa sau khi phản ứng xảy ra hoàn toàn?
A. Cho dung dịch NaOH dư vào dd AlCl3.
B. Cho dung dịch AlCl3 dư vào dung dịch NaOH.
C. Cho CaCO3 vào lượng dư dung dịch HCl.
D. Sục CO2 tới dư vào dung dịch Ca(OH)2.
24. Phát biểu nào sau đây đúng?
A. Chất béo là trieste của glixerol với axit béo. B. Cacbohidrat là những hợp chất hữu cơ đơn chức
C. Glucozơ là đồng phân của saccarozơ
D. Xà phòng là hỗn hợp muối natri hoặc kali của axit axetic
TL LUYỆN THI THPTQG 2021-2022
25. Để phân biệt dung dịch Gly và Lys có thể dùng A. dung dịch NaOH. B. Cu(OH)2 .
C. quỳ tím . D. dung dịch HCl.
26. Cacbohydrat X có trong tất cả các bộ phận của cây như rễ, thân, lá…, có nhiều trong quả chín, đặc biệt là quả
nho chín nên còn gọi là đường nho. X được nhắc đến ở đây là
A. glucozơ. B. saccarozơ. C. fructozơ. D. tinh bột.
27. Trong số các kim loại : Fe, Cu, Al, Ag. Kim loại nào chỉ có thể được điều chế bằng phương pháp điện phân A. Ag. B. Cu. C. Al. D. Fe.
28. Thuỷ phân chất béo X thu được muối của axit panmitic. Công thức của X là
A. (C15H31COO)2C2H4. B. C15H31COOC2H5.
C. (C17H35COO)3C3H5. D. (C15H31COO)3C3H5.
29. Điện phân dung dịch CuSO4 với điện cực trơ, tại cực âm xảy ra quá trình A. khử nước. B. oxi hoá nước.
C. khử Cu2+. D. oxi hoá Cu2+.
30. Crom không tác dụng với A. dung dịch HCl. B. oxi.
C. dung dịch NaOH. D. lưu huỳnh.
31. Polime dùng làm ống dẫn nước, đồ giả da, vải che mưa là A. PP. B. PS. C. PVA. D. PVC.
32. Để tạo thành thuỷ tinh hữu cơ (plexiglas), người ta tiến hành trùng hợp
A. CH2=C(CH3)COOCH3.
B. CH3-COO-CH=CH2. C. CH2=CH-COO-CH3. D. CH3-COO-C(CH3)=CH2.
33. Cho hỗn hợp X gồm Al, Fe, Cu. Dung dịch nào sau đây khi lấy dư không thể hòa tan hết X? A. HNO3 loãng B. NaNO3 trong HCl C. H2SO4 đặc nóng
D. H2SO4 loãng
34. Ứng dụng nào sau đây không phải của kim loại kiềm?
A. Dùng điều chế Al trong công nghiệp hiện nay.
B. Tạo hợp kim có nhiệt độ nóng chảy thấp, dùng trong thiết bị báo cháy.
C. Na, K dùng làm chất trao đổi nhiệt ở một vài phản ứng hạt nhân.
D. Dùng trong phản ứng hữu cơ.
35. Nung hỗn hợp X gồm Al và Fe3O4 có tỷ lệ mol 1:1, sau khi các phản ứng hoàn toàn thu được chất rắn Y
Thành phần của chất rắn Y
A. Al2O3, Fe, AlB. Al2O3, Fe, Fe3O4 C. Al2O3, FeO, Al D. Al2O3, Fe
36. Phát biểu nào sau đây đúng ?
A. Các amin không độc.
B. Trimetylamin ở điều kiện thường là chất khí.
C. Các protein đều dễ tan trong nước.
D. Các amino axit là chất rắn ở điều kiện thường.
37. Đun nóng tristearin trong dung dịch NaOH thu được glixerol và ? A.C17H35COONa B. C17H33COONa C. C15H31COONa D. C17H31COONa
38. Đồng phân của glucozơ là: A. Xenlulozơ
B. Fructozơ C. Saccarozơ D. Sobitol
39. Một tripeptit X mạch hở được cấu tạo từ 3 amino axit là glyxin, alanin, valin. Số công thức cấu tạo của X là: A. 6 B. 3 C. 4 D. 8
40. Chất nào sau đây không phản ứng được với metyl acrylat (CH2=CH-COOCH3)? A. dung dịch Br2. B. dung dịch NaOH. C. H2 (xt, t0).
D. CaCO3.
41. Dung dịch chất nào sau đây làm xanh quỳ tím? A. C6H5NH2. B. CH3COOH.
C. C2H5NH2. D. CH3OH.
42. Khi đốt cháy than đá, thu được hỗn hợp khí trong đó có khí X (không màu, không mùi, độc). X là khí nào sau đây? A. SO2. B. CO2. C. NO2. D. CO.
43. Dung dịch anbumin của lòng trắng trứng dễ bị thủy phân trong dung dịch chất nào sau đây? A. HCl. B. NaCl. C. NaNO3. D. KNO3.
44. Peptit nào sau đây không có phản ứng màu biure? A. Ala-Ala-Gly-Gly. B. Gly-Ala-Gly. C. Ala-Gly-Gly.
D. Ala-Gly.
45. Những tính chất vật lí chung của kim loại (dẫn điện, dẫn nhiệt, dẻo, ánh kim) gây nên chủ yếu bởi:
A. các electron tự do trong tinh thể kim loại
B. khối lượng riêng của kim loại
C. cấu tạo mạng tinh thể của kim loại
D. tính chất của kim loại
46. Glucozo và fructozo đều
A. có phản ứng tráng bạc.
B. có công thức phân tử C6H10O5.
C. thuộc loại đisaccarit
D. có nhóm chức –CH=O trong phân tử.
47. Cho axit cacboxylic tác dụng với ancol etylic có xúc tác H2SO4 đặc, đun nóng tạo ra este X có công thức phân
tử C5H8O2. Tên gọi của X là.
A. etyl acrylat. B. vinyl propionat. C. propyl axetat. D. etyl propionat
48. Điều khẳng định nào sau đây là sai
A. Al(OH)3 phản ứng được với dung dịch HCl và dung dịch KOH.
B. Trong các phản ứng hóa học, kim loại Al chỉ đóng vai trò là chất khử. BS: Nguyễn Quý Sửu Trang 2
TL LUYỆN THI THPTQG 2021-2022
C. Kim loại Al tan được trong dung dịch H2SO4 loãng, nguội.
D. Kim loại Al có tính dẫn điện tốt hơn kim loại Cu.
49. Phát biểu nào sau đây không đúng?
A. Peptit bị thủy phân trong môi trường axit và kiềm.
B. Glyxin (H2NCH2COOH) phản ứng được với dung dịch NaOH.
C. Metyl amin làm xanh quỳ tím ẩm.
D. Tripeptit hòa tan Cu(OH)2 tạo dung dịch màu xanh.
50. Cho dãy chất sau: H2NCH(CH3)COOH, C6H5OH (phenol), CH3COOCH3, C2H5OH, CH3NH3Cl. Số chất trong
dãy tác dụng được với dung dịch KOH đun nóng là: A. 5 B. 3 C. 4 D. 2
51. Chất nào sau đây vừa phản ứng với dung dịch NaOH vừa phản ứng với dung dịch HCl? A. Anilin
B. Alanin C. Metylamin D. Phenol
52. X là hợp chất hữu cơ vừa tác dụng với AgNO3/NH3, vừa tác dụng với NaOH nhưng không làm quỳ tím đổi màu. X là A. axit fomic B. etyl axetat
C. metyl fomat D. axit axetic
53. Mệnh đề không đúng là:
A. Este no, đơn chức, mạch hở có công thức tổng quát là CnH2nO2 (n ≥ 2).
B. Thông thường các este ở thể lỏng, nhẹ hơn nước và rất ít tan trong nước.
C. Thủy phân este trong môi trường axit luôn thu được axit cacboxylic và ancol.
D. Đốt cháy một este no, đơn chức, mạch hở thu được CO2 và H2O có tỉ lệ mol 1 : 1.
54. Cho dãy các kim loại: Na, Ba, Al, K, Mg. Số kim loại trong dãy phản ứng với lượng dư dung dịch FeCl3 thu được kết tủa là: A. 2. B. 5. C. 4. D. 3.
55. Cho dung dịch Ba(HCO3)2 lần lượt vào các dung dịch: Ca(NO3)2, NaOH, Na2CO3, KHSO4, Na2SO4, Ca(OH)2,
H2SO4, HCl. Số trường hợp có tạo ra kết tủa là A. 6 B. 5 C. 7 D. 4
56. Cho dãy các chất: glucozơ, Gly-Gly-Gly, metyl axetat, saccarozơ, Ala-Ala. Số chất trong dãy hòa tan được
Cu(OH)2 ở điều kiện thường tạo phức xanh lam là A. 5 B. 2 C. 4 D. 3
57. Hiện tượng khi làm thí nghiệm với các chất X, Y, Z ở dạng dung dịch được ghi lại như sau Chất Thuốc X Y Z thử Quỳ tím Hóa xanh Không đổi màu Không đổi màu Nước brom Không có kết tủa Kết tủa trắng Không có kết tủa
Chất X, Y, Z lần lượt là
A. Glyxin, Anilin, Axit glutamic.
B. Anilin, Glyxin, Metylamin.
C. Axit glutamic, Metylamin, Anilin.
D. Metylamin, Anilin, Glyxin.
58. Tiến hành thí nghiệm với các chất X, Y, Z, T, kết quả được trình bày trong bảng dưới đây: X Y Z T Nước brom Không mất màu Mất màu Không mất Không mất màu màu Nước Tách lớp Dung dịch Dung dịch Dung dịch đồng đồng nhất đồng nhất nhất Dung dịch Không có kết tủa Có kết tủa Có kết tủa Không có kết tủa AgNO3/NH3 X, Y, Z, T lần lượt là
A. etylaxetat, fructozơ, glucozơ, axit aminoaxetic.
B. axit aminoaxetic, glucozơ, fructozơ, etylaxetat.
C. etylaxetat, glucozơ, fructozơ, axit aminoaxetic.
D. etylaxetat, glucozơ, axit aminoaxetic, fructozơ.
59. Cho các este: vinyl axetat, etyl benzoat, benzyl fomat, etyl axetat, isoamyl axetat, phenyl axetat, anlyl axetat. Số
este có thể điều chế trực tiếp bằng phản ứng của axit và ancol tương ứng (có H2SO4 đặc làm xúc tác) là: A. 3. B. 4. C. 2. D. 5.
60. Cho dãy các dung dịch sau: HCOOC2H5; CH3NH2; H2NCH2COOH; C6H12O6 (glucozo) và C6H5NH2 (anilin).
Có bao nhiêu dung dịch có khả năng phản ứng với dung dịch NaOH đun nóng A. 4 B. 2 C. 3 D. 5
61. Trong các thí nghiệm sau:
(1) Sục etilen vào dung dịch brom trong CCl4.
(2) Cho phenol vào dd hh HNO3 đặc và H2SO4 đặc,t0.
(3) Cho anilin vào dung dịch Ca(OH)2.
(4) Cho phenol vào nước brom.
(5) Cho anilin vào nước brom.
(6) Cho axit fomic vào dung dịch NaOH loãng, dư.
TL LUYỆN THI THPTQG 2021-2022
Những thí nghiệm xảy ra phản ứng là A. 3. B. 4 C. 5. D. 2.
62. Cho các thí nghiệm sau:
(1) Khi cho Cu vào dung dịch FeCl3;
(2) H2S vào dung dịch CuSO4;
(3) HI vào dung dịch FeCl3;
(4) Dung dịch AgNO3 vào dung dịch FeCl3;
(5) Dung dịch NaHSO4 vào dung dịch Fe(NO3)2; (6) CuS vào dung dịch HCl.
Số cặp chất phản ứng được với nhau là: A. 2 B. 5 C. 4 D. 3
63. Cho các chất glucozo, saccarozo, tinh bột, glixerol và các phát biểu sau:
(a) Có 2 chất tác dụng được với dung dịch AgNO3/NH3, to.
(b) Có 2 chất có phản ứng thủy phân trong môi trường kiềm.
(c) Có 3 chất mà dung dịch của nó có thể hòa tan được Cu(OH)2.
(d) Cả 4 chất đều có nhóm –OH trong phân tử.
Số phát biểu đúng là: A. 2 B. 1 C. 3 D. 4
64. Cho các phát biểu sau đây:
(a) Chất béo là đieste của glixerol với axit béo.
(b) Glucozo được gọi là đường nho do có nhiều trong quả nho chín.
(c) Phân tử amilopectin có cấu trúc mạch phân nhánh..
(d) Trong mật ong chứa nhiều fructozo.
(e) Tinh bột là một trong những lương thực cơ bản của con người.
Số phát biểu đúng là A. 5 B. 2 C. 3 D. 4
65. Cho các phát biểu sau:
(a) Hỗn hợp Ba và Al2O3 (tỷ lệ mol tương ứng 2: 3) tan hết trong nước dư.
(b) Đun nóng dung dịch Ba(HCO3)2 có xuất hiện kết tủa.
(c) Phèn chua được dùng là chất cầm màu trong ngành nhuộm vải
(d) Kim loại Cu oxi hóa được Ag+ trong dung dịch.
(e) Miếng gang để trong không khí ẩm chỉ xảy ra ăn mòn hóa học
(f) Bột Al2O3 có độ cứng cao được dùng làm vật liệu mài. Số phát biểu đúng là A. 2. B. 5. C. 3. D. 4.
66. Cho các thí nghiệm sau:
(a) Cho 1 mol NaHCO3 tác dụng với 1 mol Ca(OH)2 trong dung dịch.
(b) Cho 1 mol Fe tác dụng 2,5 mol AgNO3 trong dung dịch.
(c) Cho 1 mol CH3COOC6H5 (phenyl axetat) tác dụng với 5 mol NaOH, đun nóng trong dung dịch.
(d) Cho 1 mol ClH3NCH2COOH tác dụng với 2 mol NaOH trong dung dịch.
(e) Cho 2 mol CO2 tác dụng với 3 mol NaOH trong dung dịch.
Số thí nghiệm sau khi kết thúc thu được dung dịch chỉ chứa 2 chất tan là A. 5. B. 3. C. 4. D. 2.
67. Thực hiện các thí nghiệm sau:
(a) Sục khí Cl2 vào dung dịch NaOH dư ở nhiệt độ thường.
(b) Hấp thụ hết 2 mol CO2 vào dung dịch chứa 3 mol NaOH.
(c) Cho Mg dư vào dung dịch Fe2(SO4)3.
(d) Cho hỗn hợp Fe2O3 và Cu (tỉ lệ mol 2 : 1) vào dung dịch HCl dư.
(e) Cho dung dịch chứa a mol KH2PO4 vào dung dịch chứa 2a mol NaOH.
(g) Cho dung dịch chứa a mol NaHSO4 vào dung dịch chứa a mol NaHCO3.
Sau khi các phản ứng xảy ra hoàn toàn, số thí nghiệm thu được hai muối là A. 6. B. 3. C. 4. D. 5.
68. Cho các phát biểu sau:
(a) Cho khí H2 dư qua hỗn hợp bột Fe2O3 và CuO nung nóng, thu được Fe và Cu.
(b) Cho kim loại Ba tác dụng với dung dịch CuSO4, thu được kim loại Cu.
(c) Cho AgNO3 tác dụng với dung dịch FeCl3, thu được kim loại Ag.
(d) Để gang trong không khí ẩm lâu ngày có xảy ra ăn mòn điện hóa học.
(e) Dùng bột lưu huỳnh để xử lí thủy ngân khi nhiệt kế bị vỡ.
Số phát biểu đúng là A. 4. B. 2. C. 3. D. 5.
69. Thực hiện các thí nghiệm sau:
(1) Thả một viên Fe vào dung dịch HCl. BS: Nguyễn Quý Sửu Trang 4
TL LUYỆN THI THPTQG 2021-2022
(2) Thả một viên Fe vào dung dịch Cu(NO3)2.
(3) Thả một viên Fe vào dung dịch FeCl3.
(4) Nối một dây Ni với một dây Fe rồi để trong không khí ẩm.
(5) Đốt một dây Fe trong bình kín chứa đầy khí O2.
(6) Thả một viên Fe vào dung dịch chứa đồng thời CuSO4 và H2SO4 loãng.
(7) Nối một dây Mg với một dây Fe rồi để trong không khí ẩm
Trong các thí nghiệm trên thì số thí nghiệm mà Fe bị ăn mòn điện hóa học là A. 4. B. 6. C. 3 D. 5
70. Cho các phát biểu sau:
(a) Một số este có mùi thơm, không độc, được dùng làm chất tạo hương trong công nghiệp thực phẩm.
(b) Mỡ bò, lợn, gà,... dầu lạc, dầu vừng, dầu ô-liu,.. có thành phần chính là chất béo.
(c) Glucozơ dùng làm thuốc tăng lực cho người ốm, có trong máu người ở nồng độ hầu như không đổi 1%.
(d) Các aminoaxit thiên nhiên là những hợp chất cơ sở để kiến tạo nên các loại protein của cơ thể sống.
(e) Các loại tơ amit khá bền trong môi trường axit hoặc bazơ. Số phát biểu đúng là A. 5 B. 3 C. 2 D. 4
71. Cho các phát biểu sau:
(b) Cho bột Fe dư vào dung dịch AgNO3 cho sản phẩm Fe(NO3)2.
(c) Đun nóng nước cứng toàn phần thu được kết tủa.
(d) Trong quá trình điện phân dung dịch NaCl, catot xảy ra quá trình khử ion Na+.
(e) Hợp kim của nhôm nhẹ, bền trong không khí và nước.
(f) Để thanh sắt (nguyên chất) trong không khí ẩm có xảy ra ăn mòn điện hóa. Số phát biểu đúng là A. 4 B. 5 C. 2 D. 3
72. (Xem giải) Cho các phản ứng sau:
(a) C6H12O6 (glucozơ) + H2 →
(b) (C17H33COO)3C3H5 (triolein) + 3NaOH →
(c) (C6H10O5)n (xenlulozơ) + nH2O →
(d) CH3COO[CH2]3OOCCH3 + 2NaOH →
Số trường hợp mà sản phẩm thu được hòa tan Cu(OH)2 tạo phức xanh lam là A. 4. B. 1. C. 3. D. 2.
73. Tiến hành các thí nghiệm với dung dịch X và Y thu được kết quả sau:
- X hoà tan Cu(OH)2 trong môi trường kiềm (ở nhiệt độ thường) tạo dung dịch màu tím.
- Y tạo kết tủa trắng với nước brom.
Dung dịch X và Y lần lượt là
A. Lòng trắng trứng và alanin.
B. Saccarozơ và anilin.
C. Saccarozơ và glucozơ.
D. Lòng trắng trứng và anilin.
74. Cho 2 hợp chất hữu cơ X, Y có cùng công thức phân tử là C3H7NO2. Khi phản ứng với dung dịch NaOH, X
tạo ra H2NCH2COONa và chất hữu cơ Z, còn Y tạo ra CH2=CHCOONa và khí T. Các chất Z và T lần lượt là:
A. CH3OH và NH3
B. CH3OH và CH3NH2 C. CH3NH2 và NH3 D. C2H3OH và N2
75. Cho sơ đồ phản ứng sau: (1) X + Y → Al(OH)3↓ + Z ; (2) X + T → Z + AlCl3 ; (3) AlCl3 + Y → Al(OH)3↓ + T
Các chất X, Y, Z và T tương ứng là:
A. Al2(SO4)3, Ba(OH)2, BaCO3 và BaCl2
B. Al2(SO4)3, NaOH, Na2SO4 và H2SO4
C. Al2(SO4)3, Ba(OH)2, BaSO4 và BaCl2
D. Al(NO3)3, NaNO3, BaCl2 và khí Cl2
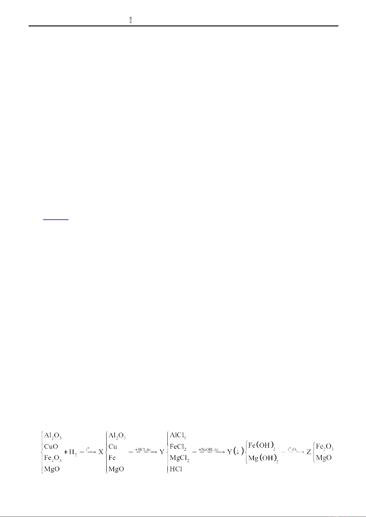
76. Cho luồng khí H2 (dư) qua hỗn hợp các oxit Al2O, CuO, Fe2O3, MgO nung ở nhiệt độ cao thu được rắn X.
Cho toàn bộ X vào dung dịch HCl loãng dư, thu được dung dịch Y. Cho dung dịch NaOH dư vào dung dịch
Y, lấy kết tủa nung ngoài không khí đến khối lượng không đổi, thu được rắn Z. Các phản ứng xảy ra hoàn
toàn. Điều nào sau đây là sai?
A. Dung dịch Y hòa tan được bột Fe.
B. Trong X chứa hai hợp chất và hai đơn chất.
C. Trong Z chứa hai loại oxit.
D. Dung dịch Y chỉ chứa ba muối clorua. HD:
Y hòa tan được Fe do có phản ứng 2FeCl3+ Fe → 3FeCl2.
TL LUYỆN THI THPTQG 2021-2022
X chứa hai hợp chất Al2O3, MgO và hai đơn chất.
Trong Z chứa hai loại oxit là Fe2O3 và MgO.
Dung dịch Y chứa 3 muối clorua và axit.
77. (Xem giải) Chất hữu cơ X mạch hở có công thức phân tử C8H8O4 thỏa mãn sơ đồ phản ứng sau X + NaOH → Y + Z + T
Z → F + H2O (H2SO4 đặc, 170°C) Z + CuO → T + Cu + H2O Cho các phát biểu sau:
(a) Từ T điều chế trực tiếp được CH3COOH.
(b) Z được dùng để pha chế chất sát khuẩn.
(c) Đốt cháy hoàn toàn 1 mol Y, thu được 5 mol sản phẩm.
(d) X có đồng phân hình học.
(e) Oxi hóa F là phương pháp hiện đại để sản xuất T.
Số phát biểu đúng là A. 5. B. 2. C. 4. D. 3. HD:
X là C2H5OOC-C≡C-COOC2H3 Y là NaOOC-C≡C-COONa Z là C2H5OH; F là C2H4 T là CH3CHO (a); (b); (e) : đúng (c); (d) : sai
78. Thực hiện sơ đồ phản ứng sau (theo đúng tỉ lệ mol): (1) 2X X T T 1 + X2 + X3
(2) X1 + 2X4⟶ 2Na2SO4 + X2 + X3 (3) X + X T 4⟶ Na2SO4 + X2 + X3 (4) X4 + X5⟶ Na2SO4 + X2
Các chất X1, X4, X5 lần lượt là
A. Na2CO3, H2SO4, Na2O.
B. Na2CO3, H2SO4, NaOH.
C. NaHCO3, NaHSO4, NaOH.
D. Na2CO3, NaHSO4, NaOH.
79. (Xem giải) Hòa tan hoàn toàn hai chất rắn X, Y (có số mol bằng nhau) vào nước thu được dung dịch Z không
màu. Tiến hành các thí nghiệm sau:
– Thí nghiệm 1: Cho dung dịch NaOH dư vào V ml dung dịch Z, thu được n1 mol khí.
– Thí nghiệm 2: Cho dung dịch HCl dư vào V ml dung dịch Z, thu được n2 mol khí.
– Thí nghiệm 3: Cho dung dịch Ba(OH)2 dư vào V ml dung dịch Z, thu được n3 mol kết tủa.
Biết các phản ứng xảy ra hoàn toàn và n1 = n2 = n3. Hai chất X, Y lần lượt là chất nào trong các cặp chất sau?
A. (NH4)2CO3, NaHCO3.
B. NH4HCO3, Na2CO3. C. NH4HCO3, (NH4)2CO3. D. NH4HCO3 và NaHCO3. HD:
TN1 thoát ra NH3; TN2 thoát ra CO2
nNH3 = nCO2 nên loại B (do 1NH3 và 2CO2); C(3NH3 và 2CO2); D(1NH3 và 2CO2)
80. Cho sơ đồ chuyển hóa sau : (1) C4H6O2 (M) + NaOH (A) + (B) ; (2) (B) + AgNO3 + NH3 +H2O (F) + Ag↓ + NH4NO3 (3) (F) + NaOH (A) + NH3 + H2O Chất M là: A. HCOOC(CH3)=CH2
B. CH3COOCH=CH2 C. HCOOCH=CHCH3 D. CH2=CHCOOCH3.
81. Cho các phương trình phản ứng hóa học sau (các phản ứng đều ở điều kiện và xúc tác thích hợp):
(1) X + 2NaOH → X1 + X2 + H2O;
(2) X2 + CuO → X3 + Cu + H2O
(3) X3 + 4AgNO3 + 6NH3 + H2O → (NH4)2CO3 + 4Ag + NH4NO3
(4) X1 + H2SO4 → CH2(COOH)2 + 2Na2SO4 (5) 2X4 → X5 + 3H2
(6) CH3COONa + NaOH → X4 + Na2CO3
Phát biểu nào sau đây là sai
A. X có 8 nguyên tử H trong phân tử. BS: Nguyễn Quý Sửu Trang 6
TL LUYỆN THI THPTQG 2021-2022
B. X2 rất độc không được sử dụng để pha vào đồ uống.
C. X1 tan trong nước tốt hơn so với X.
D. X5 có phản ứng tạo kết tủa với AgNO3/NH3. HD: (3) → X3 là HCHO (2) → X2 là CH3OH
(5) → X4 là CH4; X5 là C2H2 → X1 là CH2(COONa)2 → X là CH3OOCCH2COOH
82. Cho sơ đồ phản ứng theo đúng tỉ lệ mol:
(a) X + 2NaOH → X1 + X2 + X3 (b) X1 + HCl → X4 + NaCl (c) X2 + HCl → X5 + NaCl (d) X3 + X4 → X6 + H2O
Biết X là hợp chất hữu mạch hở có công thức phân tử C5H8O4 và chứa hai chức este; X2, X3 đều có hai nguyên tử
cacbon trong phân tử và khối lượng mol của X5 nhỏ hơn khối lượng mol của X3. Phát biểu nào sau đây sai?
A. X tham gia phản ứng tráng gương.
B. Phân tử X6 có 3 nguyên tử oxi.
C. Phân tử khối của X6 là 104.
D. X4 là hợp chất hữu cơ đơn chức. HD:
Từ (b) và (c) → X1, X2 đều là các muối natri và X4, X5 là các axit cacboxylic đơn chức
Từ (a) → X3 là ancol/anđehit/xeton…
Từ (d) → X3 phản ứng với X4 (axit) sinh ra H2O → X3 là ancol X là HCOO-CH2-CH2-OOC-CH3
X1 là HCOONa → X4 là HCOOH
X2 là CH3COONa → X5 là CH3COOH X3 là C2H4(OH)2
X6 là HCOO-CH2-CH2-OH (chú ý phản ứng (d) chỉ sinh ra 1 phân tử H2O)
A đúng do X có nhóm HCOO- nên X tham gia phản ứng tráng gương B đúng
C sai do phân tử khối của X6 là 90
D đúng do X4 chỉ chứa 1 nhóm COOH Trang 7
Document Outline
- HD:
- HD: (1)
- HD: (2)
- HD: (3)
- HD: (4)