




Preview text:
1. Các thị trường và sự cạnh tranh:
- Thị trường: một nhóm người mua và người bán của một loại hàng hóa hay dịch vụ cụ thể
- Thị trường cạnh tranh: có rất nhiều người mua và người bán tới mức mỗi người trong số
họ có tác động không đáng kể lên giá thị trường
- Trong thị trường cạnh tranh hoàn hảo:
+ Các hàng hóa giống nhau hoàn toàn
+ Số lượng người mua và người bán quá lớ do đó không ai có thể ảnh hưởng đến giá
thị trường - là người chấp nhận giá (price taker) 2. Cầu (Demand): a) Khái niệm:
- Số lượng hàng hóa hay dịch vụ mà người mua có khả
năng và sẵn sàng mua ở các mức giá khác nhau trong 1
thời gian nhất định với giả định các yếu tố khác không đổi
- Lượng cầu của một loại hàng hóa hay dịch vụ mà
người mua có khả năng và sẵn sàng mua ở một mức giá cụ thể
- Quy luật cầu: lượng cầu của một hàng hóa giảm khi
giá nó tăng lên, cấc yếu tố khác không đổi
- Biểu cầu: một bảng thể hiện mối quan hệ giữa giá bán và lượng cầu của 1 hàng hóa
b) Cầu cá nhân và cầu thị trường:
- Lượng cầu thị trường là tổng các lượng cầu cá nhân được cộng theo chiều ngang
c) Sự dịch chuyển của đường cầu: (nhân tố nội sinh P gây ra di chuyển trên đường cầu)
- Đường cầu cho thấy giá ảnh hưởng như thế nào đến lượng cầu các yếu tố khác không đổi.
Các yếu tố khác chính là các yếu tố ngoài giá tác động đến cầu. Khi một trong những yếu tố
này thay đổi, đường cầu dịch chuyển
- Nhân tố ngoại sinh ( dịch chuyển đường cầu):
+ Yếu tố người mua (cùng): sự gia tăng trong số lượng người mua: kéo theo sự gia
tăng lượng cầu tại mỗi mức giá, dịch chuyển đường cầu (D) sang phải. + Thu nhập: ⚫
Cầu đối với hàng hóa thông thường có mối quan hệ thuận chiều với thu nhập: thu nhập
tăng dẫn đến tăng lượng cầu tại mỗi mức giá, làm đường cầu D dịch chuyển sang phải. ⚫
Cầu hàng hóa thứ cấp có mối quan hệ nghịch biến với thu nhập: thu nhập tăng làm dịch
chuyển đường cầu D sang trái.
+ Giá hàng hóa liên quan: ⚫
Hàng hóa bổ sung: khi giá hàng hóa này tăng thì cầu của hàng hóa kia giảm.
Ví dụ: máy vi tính và phần mềm. Nếu giá máy tính tăng, người mua máy tính giảm, do đó
cầu về phần mềm giảm. Đường cầu phần mềm dịch chuyển sang trái. ⚫
Hàng hóa thay thế là khi giá của hàng hóa này tăng lên thì sẽ làm tăng cầu của hàng hóa kia.
Ví dụ: Khi giá của pepsi tăng lên thì cầu coca sẽ tăng lên và sẽ dịch chuyển đường cầu coca sang phải.
+ Yếu tố thị hiếu (cùng): thị hiếu đối với một loại hàng hóa tăng lên sẽ làm tăng cầu
của hàng hóa và sẽ làm đường cầu của hàng hóa đó dịch chuyển sang phải.
Ví dụ: Khi phương pháp giảm cân The Atkins trở nên phổ biến ở thập niên 90. Điều này làm
cầu về trứng tăng, dịch chuyển đường cầu trứng sang phải.
+ Yếu tố kỳ vọng (cùng): ảnh hưởng đến quyết định mua hàng của người tiêu dùng.
Ví dụ: Nếu mọi người kỳ vọng mức lương của họ tăng lên, thì cầu về những bữa ăn tại nhà
hàng sang trọng sẽ tăng lên ngay thời điểm hiện tại. 3. Cung (Supply): a) Khái niệm:
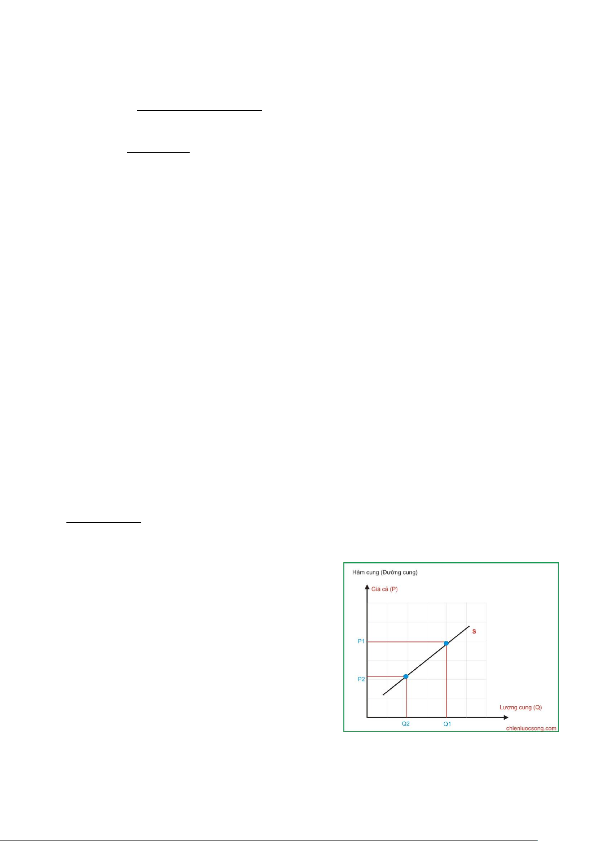
- Cung: số lượng hàng hóa hay dịch vụ mà người bán
có khả năng và sẵn sàng bán ở các mức giá khác
nhau trong 1 thời gian nhất định, với giả định cá yếu tố khác không đổi.
- Lượng cung: lượng hàng hóa hay dịch vụ mà người
bán có khả năng và sẵn sàng bán ở một mức giá cụ thể
- Quy luật cung: với các yếu tố khác không đổi, lượng
cung của một hàng hóa tăng khi giá của nó tăng lên.
-Biểu cung: một bảng cho thấy mối quan hệ giữa giá của một mặt hàng và lượng cung.
b) Cung cá nhân và cung thị trường:
- Lượng cung trong thị trường là tổng các nguồn cung của tất cả người bán tại mỗi mức giá
c) Sự dịch chuyển đường cung: (nhân tố nội sinh P gây ra di chuyển trên đường cung)
- Đường cung biểu diễn giá ảnh hưởng như thế nào đến lượng cung, các yếu tố khác không
đổi. Khi một trong những yếu tố này thay đổi, đường cung dịch chuyển.
- Nhân tố ngoại sinh ( dịch chuyển đường cung, tăng dịch phải giảm dịch trái)
+ Giá đầu vào (trái): Khi giá đầu vào giảm làm cho sản xuất thêm nhiều lợi nhuận. Vì
vậy công ty cung ứng một sản lượng cao hơn tại mỗi mức giá và đường cung S dịch chuyển sang phải.
Ví dụ: Tiền công, giá nguyên liệu đầu vào.
+ Công nghệ (cùng) quyết định bao nhiêu yếu tố đầu vào đạt yêu cầu để sản xuất một
đơn vị sản phẩm. Cải tiến công nghệ giúp tiết kiệm chi phí, làm giảm giá đầu vào, dịch
chuyển đường cung S sang phải.
+ Số lượng người sản xuất (cùng): sự gia tăng số lượng người bán làm tăng lượng
cung tại mỗi mức giá, dịch chuyển đường cung S sang phải.
+ Kì vọng người sản xuất (cùng): nhìn chung, người bán có thể điều chỉnh nguồn cung
khi kỳ vọng của họ vào tương lai giá sẽ thay đổi (đối với hàng hóa không dễ hư hỏng),
đường cung S dịch chuyển sang trái.
Ví dụ: Những sự kiện tại Trung Đông dẫn đến kỳ vọng giá dầu sẽ cao hơn. Vì thế, doanh
nghiệp dầu tại Texas giảm nguồn cung hiện tại, giữ một số hàng vào kho để bán lại sau này với giá cao hơn.
4. Sự kết hợp của cung và cầu:
a) Thiếu hụt và dư thừa
- Khi lượng cung lớn hơn lượng cầu
- Khi lượng cầu cao hơn lượng cung
b) Sự thay đổi trạng thái cân bằng:
1. Xác định sự kiện làm dịch chuyển đường cung/cầu hoặc cả hai.
2. Xác định các đường dịch chuyển sang trái hay phải
3. Dùng đồ thị cung cầu để xem sự thay đổi mức giá và sản lượng cân bằng.
c) Điều kiện dịch chuyển/di chuyển dọc đường cung/cầu:
- Thay đổi cung: sự dịch chuyển đường S xảy ra khi các yếu tố không phải là giá của cung
thay đổi (công nghệ hoặc chi phí).
- Sự thay đổi lượng cung: di chuyển dọc theo đường S cố định xảy ra khi P thay đổi
- Thay đổi cầu: Sự dịch chuyển đường D xảy ra khi các yếu tố không phải là giá của cầu thay
đổi (thu nhập hoặc số lượng người mua)
- Sự thay đổi lượng cầu: di chuyển dọc theo đường D cố định xảy ra khi P thay đổi