






Preview text:
Chapter 4
The Market Forces of Supply and Demand 1.
The commercial jetliner industry, consisting of Boeing and Airbus, represents a. perfect competition. b. oligopoly. c. monopoly.
d. None of the above are correct. 2.
In a perfectly competitive market,
a. advertising is widely used to influence demand and price.
b. firms are price takers rather than price makers.
c. firms produce a small number of differentiated products.
d. a small number of firms produce an identical product. 3.
Suppose that a large dairy farmer is able to raise the market price of milk by
withholding milk supply from the market. In this instance,
a. the milk market is perfectly competitive.
b. buyers will decrease their demand for milk.
c. buyers will increase their demand for milk.
d. the milk market is imperfectly competitive. 4.
A group of buyers and sellers with the potential to trade is known as a(n) a. cartel. b. market. 19
20 Chapter 4/The Market Forces of Supply and Demand c. industry. d. sector.
5. The amount of a good or service that buyers would be willing and able to purchase at a specific price is known as
a. quantity demanded. b. demand. c. supply. d. quantity supplied. 6.
The demand curve for Beanie Baby dolls shows the quantity of dolls demanded
a. by suppliers of those dolls.
b. at the equilibrium price for Beanie Baby dolls. c. at each level of income.
d. at each possible price of Beanie Baby dolls. 7.
This diagram shows the market for in-line roller skates. Which of the following would
cause a move from point A to point B?
a. an increase in the price of bicycles
b. a decrease in the price of bicycles
c. a decrease in consumer incomes
d. a popular new movie that convinces teens that skateboards are really cool 8.
This diagram shows the market for in-line roller skates. Which of the following would
cause a move from point A to point C?
a. an increase in the price of bicycles
Chapter 4/The Market Forces of Supply and Demand 21
b. a decrease in the price of bicycles
c. a decrease in the price of in-line roller skates
d. a decrease in consumer incomes 9.
Which of the following are the best examples of substitute goods?
a. personal computers and computer software programs b. milk and cookies
c. IBM and Gateway personal computers d. hot dogs and mustard
10. Which of the following sets of goods are most likely to be complementary goods? a. shoes and pizza b. automobiles and computers
c. baseballs and baseball gloves
d. football tickets and baseball tickets
11. The diagram below shows the supply of oranges per week provided by Farmer Jones.
When the price increases from $1.00 per pound to $2.00 per pound, the quantity supplied increases to a. 50. b. 100. c. 150. d. 500.
12. If the same dairy can produce either whole milk or skim milk, an increase in the
profitability of whole milk results in a(n)
22 Chapter 4/The Market Forces of Supply and Demand
a. decrease in the quantity supplied of whole milk.
b. increase in the supply of whole milk.
c. decrease in the supply of skim milk.
d. increase in the supply of skim milk.
13. An increase in the number of tomato producers will
a. increase market supply because the price of tomatoes will rise.
b. increase market supply because market demand will increase as more tomatoes are produced.
c. increase market supply because market supply is the sum of all the
individual tomato producers’ supply curves.
d. increase market demand but leave market supply unchanged.
14. Consider the diagram below in equilibrium at point E. Firms who advertise in this
market are attempting to shift the a. supply curve to S2. b. supply curve to S3. c. demand curve to D2.
d. demand curve to D3.
15. Suppose that the demand for apples increased more than the supply of apples
increased. The net effect of these two changes would be a(n)
a. increase in the equilibrium price and a decrease in the equilibrium quantity.
b. increase in the equilibrium price and an increase in the equilibrium quantity.
c. decrease in the equilibrium price and an increase in the equilibrium quantity.
d. decrease in the equilibrium price and a decrease in the equilibrium quantity.
16. Given this data, the equilibrium price and quantity of CD players are a. $150 and 300 players.
Chapter 4/The Market Forces of Supply and Demand 23 b. $200 and 800 players.
c. $250 and 600 players. d. $300 and 650 players. QUANTITY QUANTITY PRICE DEMANDED SUPPLIED (units per week) (units per week) $100 1,000 100 $150 900 300 $200 800 500 $250 600 600 $300 300 650
17. Given this data, if the price of CD players is $200, a. there will be a surplus.
b. there will be a shortage.
c. the market is in equilibrium. d. the supply will increase.
18. Temporary shortages in a market are eliminated by
a. decreases in the price, which cause quantity supplied to fall and quantity demanded to rise.
b. decreases in the price, which cause quantity supplied to rise and quantity demanded to fall.
c. increases in the price, which cause quantity supplied to fall and quantity demanded to rise.
d. increases in the price, which cause quantity supplied to rise and quantity demanded to fall.
24 Chapter 4/The Market Forces of Supply and Demand
19. When a market is in equilibrium,
a. quantity demanded will equal quantity supplied.
b. a shortage will be present. c. a surplus will be present.
d. sellers will continue to expand production to increase revenues.
20. If a drought destroyed half of the U.S. garlic crop at a time when the health benefits of
garlic were being well publicized, economists would expect that in the market for garlic
a. quantity exchanged would rise but the change in price is uncertain without further information.
b. price would rise but the change in quantity exchanged is uncertain without
further information.
c. both price and quantity exchanged would rise.
d. price would rise and quantity exchanged would fall.
21. The discovery of new gold in South America will the price of gold and the quantity of gold traded. a. raise; raise b. lower; raise c. raise; lower d. lower; lower
22. Higher wages in the U.S. auto industry would the prices of autos and the quantity exchanged. a. lower; lower b. lower; raise c. raise; lower d. raise; raise
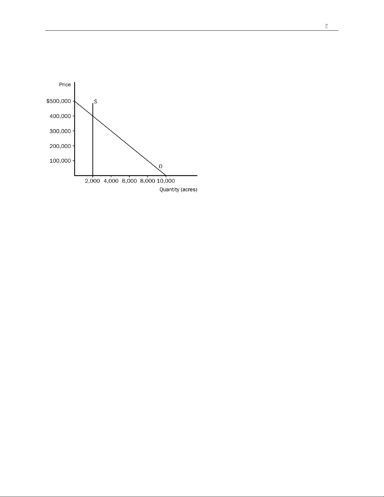
23. In this diagram of the market for beachfront property in Connecticut, the equilibrium price is
Chapter 4/The Market Forces of Supply and Demand 25 a. $100,000 per acre. b. $200,000 per acre. c. $300,000 per acre. d. $400,000 per acre.
24. Consider this diagram of the market for beachfront property in Connecticut. If the
local government decides to establish a price of $200,000 per acre there will be a. a shortage of land. b. a surplus of land.
c. an equilibrium quantity of land exchanged.
d. no land exchanged in the market.
25. Consider this diagram of the market for beachfront property in Connecticut. At a price of zero,
a. 500 acres will be demanded.
b. 1000 acres will be demanded.
c. 10,000 acres will be demanded.
d. an infinite number of acres will be demanded.