Report tài liệu
Chia sẻ tài liệu
Đề cương môn Toán cao cấp - Trường Đại học bách khoa - Đại học đà nẵng.
Đề cương môn Toán cao cấp - Trường Đại học bách khoa - Đại học đà nẵng.
Tài liệu gồm 25 trang , giúp bạn tham khảo, ôn tập và đạt kết quả cao.
Môn: Toán cao cấp(TCC10) 25 tài liệu
Trường: Trường Đại học Bách khoa, Đại học Đà Nẵng 1.7 K tài liệu
Tác giả:






Tài liệu khác của Trường Đại học Bách khoa, Đại học Đà Nẵng
Preview text:
lOMoARcPSD|61022953
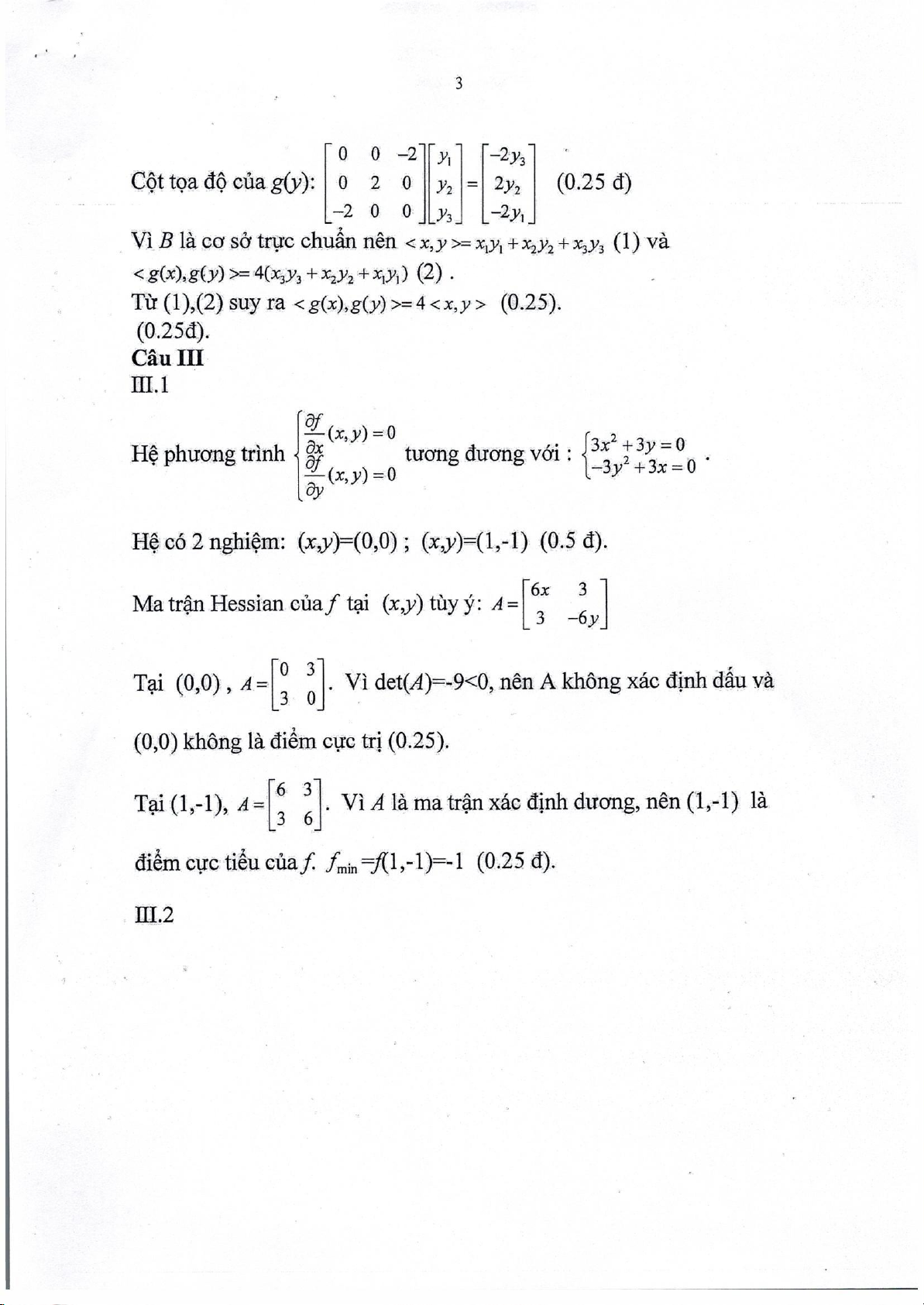
Dap An Toan 2022 - Answer for Math PFIEV
Toán Cao Cấp (Trường Đại học Bách Khoa - Đại học Đà Nẵng) Scan to open on Studocu
Studocu is not sponsored or endorsed by any college or university
Downloaded by giang le (legiangnamban@gmail.com) lOMoARcPSD|61022953
Downloaded by giang le (legiangnamban@gmail.com) lOMoARcPSD|61022953
Downloaded by giang le (legiangnamban@gmail.com) lOMoARcPSD|61022953
Downloaded by giang le (legiangnamban@gmail.com) lOMoARcPSD|61022953
Downloaded by giang le (legiangnamban@gmail.com) lOMoARcPSD|61022953
Downloaded by giang le (legiangnamban@gmail.com)
Tài liệu liên quan:
-
Bài giảng môn Phương pháp tính | Trường Đại học Bách khoa, Đại học Đà Nẵng
58 29 -
Đề cương môn Toán cao cấp- Trường Đại học bách khoa - Đại học đà nẵng.
84 42 -
Đề cương môn Toán cao cấp- Trường Đại học bách khoa - Đại học đà nẵng.
76 38 -
Đề cương môn Toán cao cấp- Trường Đại học bách khoa - Đại học đà nẵng.
65 33 -
Đề cương môn Toán cao cấp- Trường Đại học bách khoa - Đại học đà nẵng.
90 45