














Preview text:
Bài tập chương 2 - Tổ 3, lớp 4-5 A. TRẮC NGHIỆM
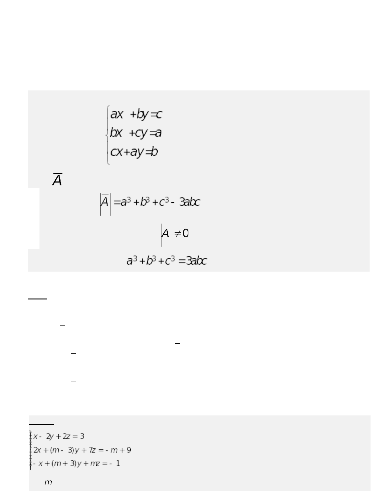
Chọn câu kết luận đúng Câu1: Cho hệ phương trình
với a,b,c là các tham số thực Gọi A,
là ma trận hệ số và ma trận mở rộng a) RankA=3 b)
c)Nếu hệ có đúng một nghiệm thì
d)Nếu hệ có nghiệm thì Giải:
a) A: ma trận cấp 3×2 ⇒ A có định thức con cấp 1, 2. ⇒ câu a sai
b) ∣A∣=3 abc−a3−b3−c3 ⇒câu bsai
c) Hệ có đúng 1 nghiệm khi r ( A)=r ( A )=k (số ẩn) ⇒∣A∣=0 ⇒câu c sai
d) Để hệ có nghiệm thì r ( A)=r ( A )
⇒∣A∣=0 ⇒ a3+b3+c3=3 abc ⇒câu d đúng
Câu 2: Cho hệ phương trình
Tìm để hệ đã cho có vô số nghiệm . a) m=-1 b) m=1 c) m=-1 , m= 1 d) Cả 3 câu đều sai Giải: { x−2 y+ 2 z=3
Ta có: 2 x+(m−3 ) y+7 z=−m+ 9 −x+(m+ 3) y+mz=−1 1 −2 2 3 1 −2 2 3 A= − → ( −m+ 1 2 m− m+ 3 3 m
7 −1 9)d 2→d 2−2 d 1(0 m+1 3 −m+3) 0d3 m+1 m+ 2 2 → ( 1 −2 2 3 d 3 →d 3−d 2 0 m+1 3 −m+3 0 0 m−1 m−1 )
Hệ phương trình có vô số nghiệm ⇒r ( A)=r ( A )∈n (n=3) ⇒m−1=0 ⇒m=1 ⇒Chọn b
x +2y+z =5 ∣
∣ x +2y+mz =m ∣
∣mx +2y +2z =m
Câu 3. Cho hệ phương trình: ∣
.Kết luận nào sau đây đúng
a) Hệ luôn có nghiệm với mọi m
b) Tồn tại m để hệ vô nghiệm
c) Hệ luôn có đúng một nghiệm với mọi m
d) Tồn tại m để hệ có vô số nghiệm. Giải:
Matrận hệ số mở rộng là A( 1 2 1 1 2 ∣5 m )m m 2 2 m 1 2 1 5 1 2 1 5 d3→ d 3−md 1 d 2 →
→d 2−d 1(0 02 −20 m 2−m m−1 −4 m → 0 0 m−1 m−5
∣m−5 )d 2 ↔d 3(0 2−2m 2−m∣−4 m)
• m=1 : r ( A )=2∈r( A )=3 ⇒Vô nghiệm
• m≠ 1 : r ( A )=r ( A )=n=3 ⇒có 1nghiệm Vậy b đúng Câu 4 :
Gọi s là số nghiệm của hệ nghiệm cơ bản của hệ phương trình . Ta có : A. s = 1 B. s = 2 C. s = 3 D. s = 4 Giải: Ta có: Hệ phương trình d 1 1 1 1 1 2→d 2−2 d 1 1 1 1 1 1 1 1 1 1 1 ⇒ → A= 4 5 6 7 8 (2 3 4 5 6) ( )d 3 →d 3−d 2( ) → 0 0 1 1 2 2 3 3 4 0 0 0 1 0 2 0 3 0 4 d 3 →d 3−4 d 1 ⇒r ( A)=2∈số ẩn (n=5)
⇒ Hệ vôđịnh ,nghiệm tổng quát phụthuộc vào 3 tham số ⇒ s=3 ⇒Chọn c
Câu 5 ; Gọi s là số nghiệm của hệ nghiệm cơ bản của hệ phương trình . Ta có s lớn nhất khi A. B. C. D. Giải:
Hệ phương trình là hệ phương trình thuần nhất 1 4 2 1 d 1 4 2 1 2 →d 2−2 d 1 Ta có: A=(2 7 3 4 − 1 5 3 1) d d 4 →d 4−d (0 −1 −1 2 1 0 1 1 −2 ) 3 →d 3−d 1 1 2 m 5 → 0 −2 m−2 4 1 1 1 4 2 4 2 1 −1 −1 −1 −1 2 3 ↔d d d 3→d 3+d 2 2 4 →d 4−2 d 2 0 0 0 0 → 4 0 (0 )d (0 0 m )0 → 0 0 m 0 0 0 0 0
• m=0 ⇒ r ( A )=2∈n=4 ⇒ hệ vô số nghiệm phụ thuộc vào n−r=2 tham số
⇒hệ có 2nghiệm tổng quát
• m≠ 0 ⇒ r ( A )=3∈n=4 ⇒ hệ có vôsố nghiệm phụthuộc vào n−r=1 tham số
⇒ hệ có 1 nghiệm tổng quát Vậy m = 0⇒chọn c
Câu 6: Cho hệ phương trình tuyến tính (I) :
. Hệ vectơ nào sau đây là một hệ
nghiệm cơ bản của hệ (I) A. B. C. D. Giải:
A=(1 1 2 3)d 2 →d 2−2 d 1(1 1 2 3) 2 2 5 8 → 0 0 1 2 r ( A)=r ( A )=2∈số ẩn
Hệ phương trình đã cho có vô số nghiệm và phụ thuộc vào 2 tham số
Hệ tổng quát {x+ y+2 z+3 t=0 chọn x , y là ẩn z+2t=0 x y với x , y ∈i { z=−2 x−2 y t=x+ y
Vậy nghiệm tổng quát là ( x ; y ;−2 x−2 y ; x+ y ) ∀ x , y ∈i
Lần lượt cho các ẩn chính bằng 1 ẩn phụ bằng 0 • U1=(1 ;0 ;−2;1) • U =( 2 0 ;1 ;−2; 1 ) Chọn C
Câu 7: Trong mô hình input, output mở biết ma trận đầu vào Giả sử sản
lượng của ba ngành lần lượt là 80, 100 và 60 . Phát biểu nào sau đây là đúng ?
A. Tổng gía trị nguyên liê ̣u mà ngành 1 đã sử dụng là 40
B. Giá trị nguyên liê ̣u mà ngành 2 cung cấp cho ngành 3 là 10
C. Giá trị sản lượng mà các ngành cung cấp cho ngành mở là 40,50,28
D. Các phát biểu trên đều đúng. Giải: A. Sai
Tổng giá trị nguyên liệu mà ngành 1 đã sử dụng là: 80(0,3+0,2+0,3)=64. B. Sai
Vậy giá trị nguyên liệu mà ngành 2 cung cấp cho ngành 3 là: 0,1 ×60=6. C. Sai 80 0,3 0,1 0,2 80 34
Có X =AX +D ⇒ D=X− AX=(100)− 60 (0,2 0,4 0,1 0,3 0,2 0,)(100 3 60)= (38 −2) D. Sai
II. PHẦN TỰ LUẬN:
Bài 01 : Giải và biện luận hệ phương trình: Giải ( 1 1 ∣ 2 0
Ma trận hệ số mở rộng A=¿ a 1 2 1 ) 1 1 a 2 1 1 2 0 Ta có: A d 2→d 2−ad 1 ( ) → 0 1−a 2−2 a ∣1 d3 0 0 a−2 2
TH1: Nếu a≠ 1 ,a≠ 2 , hệ cónghiệm duy nhất : x+ y+2 z=0 (1−a ) y+(2−2 a) z=1 { (a−2) z=2 5 2 x+ y+2 z=0 0=1
TH2: Nếu a = 1, ta có hệ: { −1=2 r(A)=2 ≠ r ¿)=3 =>Hệ vô nghiệm { x+ y+2 z=0
TH3: Nếu a=2, ta có hệ: −y−2 z=1 0=2 r(A)=2 ≠ r ¿)=3 =>Hệ vô nghiệm Vậy 1
a≠ 1 ,a≠ 2 , hệ có nghiệm duy nhất x = ; y= 5 a−6 ; z= 2 . a−1 −( a− 2) (a−1) a−2 a = 1 thì hệ vô nghiệm. a = 2 thì hệ vô nghiệm.
Bài 02 : Cho hệ phương trình Tìm
để hệ phương trình vô số nghiệm Giải ( 2 3 −1∣ m
Ma trận hệ số mở rộng A= −3 −2 m −1 ) 1 −1 2 2 1 −1 2 1 −1 2 −1 d 2→d 2+ 3 d 1 0 −5 m+ 6 5 → ↔ ∣ 2 ) d 3 ( ∣ 2 )
Ta có: A d 1↔d 3(−3 −2 m 2 3 −1 m 0 5 −5 m−4 2 ) → ( 1 −1 2 d 3 →d 3+d 2 0 −5 m+6 0 0 m+ ∣ 1 5 m+ 1
Hệ phương trình vô số nghiệm r(A)=r¿) < n (n=3) ⇨ m+1=0 m= - 1
Vậy m= - 1 thì thoả đề.
Bài 03: Trong mô hình Input – Output mở, cho ma trận hệ số đầu vào
a) Tìm ma trận nghịch đảo của ma trận
, với I là ma trận đơn vị cấp 3.
b) Tìm sản lượng của 3 ngành, biết yêu cầu của ngành mở đối với 3 ngành là . Giải
a) Tìm ma trận nghịch đảo của ma trận
, với I là ma trận đơn vị cấp 3. 0,9 −0,2 −0,1
Ta có: I - A=(− 0,2 0,8 −0,1) −0,3 −0,1 0,8 ∣I−A∣ = 0,503 0,63 0,1 1 0,17 =>(I −A ¿¿−1= (0,19 0,11 0,26 0,15 0, ) 68 0,503 0,69
b) Tìm sản lượng của 3 ngành, biết yêu cầu của ngành mở đối với 3 ngành là
Gọi X là vectơ sản lượng của 3 ngành kinh tế viết theo cột ta có: (I-A)X=D 0,63 0,17 0,1 1 68 120 =>X=(I −A ¿¿−1.D = (0,19 0,69 0,11)(86) = (150) 0,503 0,26 0,15 0,68 29 100
Bài 04: Xét mô hình Input-Output mở gồm 3 ngành kinh tế với ma trận hệ số đầu vào
a) Tìm tổng nguyên liệu đầu vào của ba ngành để sản xuất ra được 10 đơn vị đầu ra của từng ngành
b) Tìm sản lượng ngành 1, biết rằng ngành 3 phải cung cấp cho ngành 1 với lượng nguyên liệu giá trị 70 (đvt).
c) Nếu biết sản lượng của ngành 3 là 100, thì ngành 1 phải cung cấp cho ngành 3 là bao nhiêu? Giải
a) Tìm tổng nguyên liệu đầu vào của ba ngành để sản xuất ra được 10 đơn vị đầu ra của từng ngành ( 10) Ta có: X= 10 10
Gọi Y là tổng nguyên liệu đầu vào, ta có: 0,1 0,2 10 5 0,2
Y=A.X=(0,2 0,2 0,3). (10) = ( )7 0,4 0,1 0,2 10 7
b) Tìm sản lượng ngành 1, biết rằng ngành 3 phải cung cấp cho ngành 1 với lượng
nguyên liệu giá trị 70 (đvt).
Vì ngành 3 phải cung cấp cho ngành 1 với lượng nguyên liệu giá trị 70 (đvt). Mà ta có a31=0,4 =>Sản 1.70 lượng ngành 1= = 175 0,4
c) Nếu biết sản lượng của ngành 3 là 100, thì ngành 1 phải cung cấp cho ngành 3 là bao nhiêu?
Ta có sản lượng ngành 3 là 100
Ngành 1 cung cấp cho ngành 3 => a13.100 = 0,2.100=20 (đvt)
Bài tập trong sách bài tập từ trang 93
Bài 11: Cho hệ phương trình: x+2 y+3 z=1
Tìm m để hệ có vô số nghiệm và tìm nghiệm tổng quát trong trường hợp đó. Giải: Ta có: 1 2 3 2 0 m−1 1 0
1 m+1 m+1 m−2 )d 2 →d 2−2 d 1 → (1 2 3 A=( 0 m−1 m− ∣ 2 1 m−3 ) 2 m+ 3 7 d 3 →d 3−d 1 ∣ 1 1 ) → ( 1 2 3 d 3 →d 3−d 2 0 m−1 1 0 0 m−3∣ 0 m−3
Để hệ phương trình vô số nghiệm → r(A)= r( A) = 2 < n ⇔ m – 3 =0 ⇔ m=3 y=t 1 2 3 ⇒ { z=−2t , t ∈ R ⇒( 0 2 1 0 2 y+z=0 0 0 0 0 ∣1) ⇒{x+ 2 y+3 z=1 x=1+4 t
Vậy m=3 thì hệ pt có vô số nghiệm . Nghiệm tổng quát : (1+4 t ; t ;−2 t ) , t ∈ R { x+ y+2 z=0
Bài 13: Cho hệ phương trình tuyến tính ax + y+2 z=1
(I). Khi đó, hệ (I) là hệ Cramer khi và chỉ x+ y+az=2 khi a. a ≠ 1 b. a ≠ 2 c. a = 1 hoặc a = 2 d. a ≠ 1và a ≠ 2 Giải : ∣ ∣ 1 1 2
Ta có: D= a 1 2 =(2−a) (a−1) 1 1 a
Hệ (I) là hệ Cramer ⇔ D≠ 0 ⟺a≠ 1 vàa≠1 Chọn câu d
Bài 14: Cho hệ phương trình tuyến tính 2 x+3 y=5
x+ 2 y=3 (I). Khi đó, hệ (I) có đúng một nghiệm khi a2 x+3 ay=4 và chỉ khi a. a ¿ 1 b. a = -4 c. a = 1 hoặc a = -4 d. a ≠ 1 và a ≠−4 Giải: 2 3 5 1 2 3 1 2 d 2→d 2−2 d 1 Ta có: A= ( 1 d 2 ∣ ) ( ) 3 1 ↔d 2 2 3 5 a2 → 3 a 4 a2 3 a 4 ∣ ) ∣ 0 −1 −1 ( 3 2 d 3 →d 3−a d 1 → 0 3 a−2 a2 4−3 a2
Hệ có đúng 1 nghiệm⇔ 3 a−2 a2=4−3 a2 ⇔ a2+3 a−4=0 [⇔ a=1 a=− ⇒ chọn c 4
Bài 15: Cho hệ phương trình x+2 y+mz=3+m 2 x+my−3 z=m−1 (I) 2 x−my+2 mz=−2
Cho biết ( x=1, y=1, z=1) thỏa hệ (I). Chọn mệnh đề đúng
a. m = -4 và hệ (I) có vô số nghiệm
b. m = -4 và hệ (I) có nghiệm duy nhất
c. m = -2 và hệ (I) có vô số nghiệm
d. m = -4 và hệ (I) có nghiệm duy nhất Giải:
Vì ( x=1 , y=1 , z=1)thỏa hệ (I) nên ta thay x=1 , y=1 , z=1 vào phương trình (*):
2 x−my+2 mz=−2, ta được: 2−m+2 m=−2 ⇔ m=−4
Với m=−4, hệ (I) trở thành: 1+2 y−4 z=−1 2−4 y−3 z=−5 { 2+4 y−8 z=−2 1 2
−4 −1 d 2 →d 2−2 d 1 1 2 4 −1 Ta có: A=( ( 2 2 4 − 4 −8 − 3−2 ∣−5) 0 −8 5∣−3) → 0 0 0 0 d 3 →d 3−2d 1
Ta thấy r ( A)=r ( A )=2∈n=3 ⇒Hệ phương trình (I) có vô số nghiệm
Vậy m=−4 và hệ (I) có vô số nghiệm →chọn a
Bài 18: Trong mô hình Input – Output Mở Leontief, biết ma trận đầu vào như sau 0,1 0,2 0,3 A = 0,3 0,1 a a =
0,2 0,3 Nói ý nghĩa kinh tế của hệ số 21 = 0,3. 0,2
a. Biết sản lượng của ngành 2 là 100, tính giá trị của lượng nguyên liệu mà các ngành cung cấp cho nó.
b. Tìm ma trận nghịch đảo của I 3- A.
c. Tìm mức sản lượng của ba ngành, nếu ngành mở yêu cầu ba ngành trên phải cung cấp
cho nó những lượng sản phẩm trị giá tương ứng ( 39, 49,16).
d. Nếu yêu cầu xuất khẩu dự trữ thay đổi đối với các ngành lần lượt là ∆ D=(3 ,−2,0), hãy
tính mức thay đổi sản lượng của các ngành. Giải:
a. Nói ý nghĩa kinh tế của hệ số a21= 0,3.
Ý nghĩa kinh tế của hệ số a =0,3 là để có 1 đơn vị sản phẩm đầu ra của ngành 1 cần 0,3 đơn vị 21
nguyên liệu đầu vảo ngành 2.
Biết sản lượng của ngành 2 là 100, tính giá trị của lượng nguyên liệu mà các ngành cung cấp cho nó
• a ∙ x =0,2 ∙ 100=20(đơn 12 2 vị tiền)
• a ∙ x =0,1 ∙ 100=10(đơn 22 2 vị tiền)
• a ∙ x =0,3 ∙ 100=30(đơn 32 2 vị tiền)
b. Tìm ma trận nghịch đảo của I 3- A. ( 0,9 −0,2 −0,3) I 3−A = −0,3 0,9 −0,1 , −0,2 −0,3 0,8 0,9 −0,2 −0,3 ∣I −A∣ − 3 = 0,9 0,1 − ∣−0,3 −0,3 0,8 ∣ 0,2 = 0,488 − 0,42 0,26 0,27 1 1 ⇒( I −A ) = ∙ 0,25 0,66 −0,31 3 0,488 ( 0,29 0,18 0,75 )
c. Tìm mức sản lượng của ba ngành, nếu ngành mở yêu cầu ba ngành trên phải cung
cấp cho nó những lượng sản phẩm trị giá tương ứng ( 39, 49,16)
Gọi X là vecto biểu thị giá trị sản lượng của 3 ngành, ta có: ( I −A) 3 .X = D 0,9 −0,2 −0,3 x1 39 ⇔ − ( ) 0 − , 0 2 ,3 −0 0 ,,3 9 0 − ,0,81) . (xx2 =(1649) 3
Giải hệ bằng phương pháp Cramer
−A∣ =∆=¿ ∣ 0,9 −0,2 −0,3 −0,3 0,9 −0,1∣ ∣I 3 = 0,488 ≠ 0 −0,2 −0,3 0,8 ∣ 39 −0,2 −0,3∣ • D1= 49 0,9 −0,1 = 43,8 16 −0,3 0,8
• D2= −0,3 49 −0,1 = 45,36 ∣0,9 39 −0,3 −0,2 16 0, ∣8 0,9 −0,2 39 • D − 3= ∣ 0,3 0,9 ∣49 = 37,72 −0,2 −0,3 16 Vậy gi
D á trị sản lượng của 3 ngành là: x = 1 = 43,8 ≈ 89,75 { 1 ∆ 0,488 D x = 2 = 45,36 ≈ 92,95 2 ∆ 0,488 D x = 3 = 37,72 ≈ 77,30 3 ∆ 0,488
d. Nếu yêu cầu xuất khẩu dự trữ thay đổi đối với các ngành lần lượt là
∆ D=(3 ,−2,0), hãy tính mức thay đổi sản lượng của các ngành. ∆ D1 3 ∆ D=(∆ D ) 2 = (−2) ∆ D 0 3 0,42 0,26 0,27 3 3,22 1 3 ∆ X= 0,488 ( I −A)−1. ∆ D= ∙
(0,290, 25 0,01,86 6 −0,70,53 1) (−0 2)≈(−0,31,91 1)
Bài 20: Xét mô hình Input-Output mở Leontief gồm ba ngành với ma trận hệ số đầu vào là 0,3 0,1 0,2 0,2 0,3 0,3 0,2
a. Giải thích ý nghĩa kinh tế của hệ số a23. Từ đó tính số tiền mà ngành 2 phải đóng góp
cho ngành 3 khi giá trị đầu ra của ngành 3 là 200 (đơn vị tiền).
b. Giải thích ý nghĩa kinh tế của hệ số a03. Từ đó suy ra ngành mở phải đóng góp bao
nhiêu cho ngành 3 khi giá trị sản lượng của ngành 3 là 1000 (đơn vị tiền).
c. Hãy tính giá trị của m, biết rằng ngành mở phải đóng góp 150 (đơn vị tiền) cho ngành
2 khi giá trị sản lượng của ngành 2 là 500 (đơn vị tiền).
d. Với m=0,4 hãy tìm giá trị sản lượng của ba ngành nếu biết yêu cầu của ngành mở đối
với ba ngành lần lượt là 66, 124, 100. Bài giải :
a. Giải thích ý nghĩa kinh tế của hệ số a . Từ đó 23
tính số tiền mà ngành 2 phải đóng
góp cho ngành 3 khi giá trị đầu ra của ngành 3 là 200 (đơn vị tiền).
a23là để có 1 đơn vị sản phẩm đầu ra của ngành 3 cần 0,1 đơn vị nguyên liệu đầu vảo ngành 2.
⇒Số tiền mà ngành 2 phải đóng góp cho ngành 3 khi giá trị đầu ra của ngành 3 là 200
(đơn vị tiền) là 0,1. 200 = 20 (đơn vị tiền).
b. Giải thích ý nghĩa kinh tế của hệ số a . Từ đó suy ra ngành mở phải đóng góp bao 03
nhiêu cho ngành 3 khi giá trị sản lượng của ngành 3 là 1000 (đơn vị tiền).
Ý nghĩa kinh tế của hệ số a03 là ngành mở đóng góp a03 (đơn vị tiền) cho ngành 3 để
ngành 3 sản xuất một lượng hàng trị giá 1 (đơn vị tiền). Ta có: a03 = 1 – a
( 13 + a23 + a33) = 1 – (0,2 + 0,1 + 0,3) = 0,4
Do đó để giá trị sản lượng của ngành 3 là 1000 thì ngành mở phải đóng góp
0,4 x 1000 = 400 ( đơn vị tiền).
c. Hãy tính giá trị của m, biết rằng ngành mở phải đóng góp 150 (đơn vị tiền) cho
ngành 2 khi giá trị sản lượng của ngành 2 là (đơn vị tiền).
Ta có: a02 = 1 – ( a12 + a22 + a32 ) = 1 – ( 0,1 + m + 0,2 ) = 0,7 – m
Để giá trị sản lượng 150
đầu ra của ngành 2 là 1 (đơn vị tiền) thì ngành mở phải cung cấp: 500 = 0,3 ( đơn vị tiền) ⇒ a02 = 0,7 – m = 0,3
⇔ m = 0,4 (đơn vị tiền)
d. Với m=0,4 hãy tìm gái trị sản lượng của ba ngành nếu biết yêu cầu của ngành mở
đối với ba ngành lần lượt là 66, 124, 100 0,3 0,1 0,2 0,4 0, 0,3 0,2 0,3) 1 ; (D= 66 124 Ta có A=(0,2 )100
Gọi X là vecto sản lượng của 3 ngành ( I − A) 3 .X = D ⇔ X=¿ [ −1 1 0 0 0,3 0,1 0,2 66 ⇔ X= (0 1 0 0 0 )−1 (0,2 0,4 0,1 0,3 0,2 0,)2 ] .(124 100) ( 242,19)
⇔ X= 344,93 (đơn vị tiền) 345,20
Document Outline
- Giải:
- Giải: (1)
- Giải: (2)
- Giải: (3)
- Giải: (4)
- Giải: (5)
- II. PHẦN TỰ LUẬN:
- Giải
- Giải (1)
- Giải (2)
- a) Tìm ma trận nghịch đảo của ma trận , với I là ma trận đơn vị cấp 3.
- b) Tìm sản lượng của 3 ngành, biết yêu cầu của ngành mở đối với 3 ngành là
- Giải (3)
- a) Tìm tổng nguyên liệu đầu vào của ba ngành để sản xuất ra được 10 đơn vị đầu ra của từng ngành
- b) Tìm sản lượng ngành 1, biết rằng ngành 3 phải cung cấp cho ngành 1 với lượng nguyên liệu giá trị 70 (đvt).
- c) Nếu biết sản lượng của ngành 3 là 100, thì ngành 1 phải cung cấp cho ngành 3 là bao nhiêu?
- Giải: (6)
- Giải :
- Giải: (7)
- Giải: (8)
- Giải: (9)
- a. Nói ý nghĩa kinh tế của hệ số a21= 0,3.
- Biết sản lượng của ngành 2 là 100, tính giá trị của lượng nguyên liệu mà các ngành cung cấp cho nó
- b. Tìm ma trận nghịch đảo của I 3- A.
- c. Tìm mức sản lượng của ba ngành, nếu ngành mở yêu cầu ba ngành trên phải cung cấp cho nó những lượng sản phẩm trị giá tương ứng ( 39, 49,16)
- d. Nếu yêu cầu xuất khẩu dự trữ thay đổi đối với các ngành lần lượt là
- Bài giải :
- a. Giải thích ý nghĩa kinh tế của hệ số a23. Từ đó tính số tiền mà ngành 2 phải đóng góp cho ngành 3 khi giá trị đầu ra của ngành 3 là 200 (đơn vị tiền).
- b. Giải thích ý nghĩa kinh tế của hệ số a03. Từ đó suy ra ngành mở phải đóng góp bao nhiêu cho ngành 3 khi giá trị sản lượng của ngành 3 là 1000 (đơn vị tiền).
- c. Hãy tính giá trị của m, biết rằng ngành mở phải đóng góp 150 (đơn vị tiền) cho ngành 2 khi giá trị sản lượng của ngành 2 là (đơn vị tiền).
- d. Với m=0,4 hãy tìm gái trị sản lượng của ba ngành nếu biết yêu cầu của ngành mở đối với ba ngành lần lượt là 66, 124, 100