

















Preview text:
lOMoAR cPSD| 60857655 Lý thuyết :
1. Cầu hàng hóa a, Nêu và phân
tích cầu hàng hóa : - Các khái niệm :
+ Nhu cầu : là những nguyện vọng , mong ước vô hạn về hàng hóa dịch vụ của con người
+ Cầu : là số lượng hàng hoá hay dịch vụ mà người tiêu dùng mong muốn và có khả
năng thanh toán ở các mức giá khác nhau trong một thời gian nhất định.
( Cầu =Nhu cầu + Khả năng thanh toán ) cầu
bằng nhu cầu cộng khả năng thanh toán
+ lượng cầu : lượng cầu là lượng cụ thể của hàng hóa và dịch vụ mà mỗi người mua
mong muốn và có khả năng mua tại một mức giá xác định trong một giả định nhất
định với những giả định của các yếu tố khác kh đổi
Sự khác biệt giữa cầu và lượng cầu : là một con số cụ thể và chỉ có ý nghĩa trong
mqh với 1 mức giá nhất định còn cầu thì không phải là một con số cụ thể mà nó chỉ
là một kn để mô tả lại hành vi của người tiêu dùng
+Biểu cầu là bảng thể hiện mối quan hệ giữa giá cả và lượng cầu
+đường cầu là đường thể hiện mqh giữa giá cả và lượng cầu b,
Nêu và giải thích luật cầu ( cầu hàng hóa )
- Luật cầu : Khi giá cả của một hàng hóa nào đó tăng lên ( trong đk các yếu
tố khác không đổi ) thì lượng cầu về hàng hóa đó có xu hướng tăng hoặc ngược lại - Giải thích :
+ Hiệu ứng thu nhập : Với khả năng thanh toán không đổi , khi giá hàng hóa giảm
đi thì người tiêu dùng sẽ mua được nhiều hàng hóa và ngược lại lOMoAR cPSD| 60857655
+ Hiệu ứng thay thế : Khi giá hàng hóa mà người tiêu dùng định mua tăng lên thì
họ sẽ chuyển sang mua hàng hóa khác thay thế và ngược lại
+ Hiệu ứng lợi ích và lợi ích cận biên c, Nêu các
yếu tố tác động đến cầu hàng hóa :
Ngoài yếu tố giá cả hàng hóa, cầu còn phụ thuộc vào những yếu tố cơ bản sau: -
Thứ nhất: Thu nhập của người tiêu dùng.
Khi thu nhập tăng lên thì người tiêu dùng sẽ tiêu dùng nhiều hàng hóa hơn và ngược lại.
Tuy nhiên, thu nhập tăng lên không dẫn đến sự tăng cầu đối với tất cả các loại hàng hóa.
+ Những hàng hóa có cầu tăng lên khi thu nhập tăng lên được gọi là hàng hóa thong thường.
+ Những hàng hóa có cầu giảm đi khi thu nhập tăng lên được gọi là hàng hóa thứ cấp.
- Thứ hai: Giá của các loại hàng hóa liên quan.
+ Các hàng hóa liên quan với hàng hóa đang xét được chia thành 2 loại: Hàng hóa
thay thế và hàng hóa bổ sung.
+ Hàng hóa thay thế: là hàng hóa có thể sử dụng thay cho hàng hóa khác, tức là
các hàng hóa đó có cùng công dụng.
Ví dụ: cà phê và chè, than và ga, xe máy X và xe máy Y…
+ Đối với cặp hàng hoá thay thế nhau thì giữa giá cả hàng hoá này và lượng cầu
hàng hoá kia có quan hệ tỷ lệ thuận, tức là khi giá cả hàng hoá thay thế tăng lên
(giảm đi) thì luợng cầu hàng hoá đang xét sẽ tăng lên (giảm đi).
+ Hàng hóa bổ sung: là hàng hóa được sử dụng đồng thời với hàng hóa khác.
Ví dụ: cà phê và đường, ga và bếp ga, xe máy và xăng… lOMoAR cPSD| 60857655
+ Đối với cặp hàng hoá bổ sung thì giữa giá cả hàng hoá này và lượng cầu hàng hoá
kia có quan hệ tỷ lệ nghịch, tức là khi giá cả hàng hoá này tăng lên (giảm đi) thì
lượng cầu hàng hoá kia sẽ giảm đi (tăng lên).
- Thứ ba: Thị hiếu, sở thích của người tiêu dùng
Thị hiếu là sở thích hay sự ưu tiên của người tiêu dùng đối với hàng hóa hoặc dịch vụ.
Ví dụ: Nếu người tiêu dùng cho rằng dùng mỡ động vật sẽ làm tăng một số nguy cơ gây
bệnh thì họ sẽ chuyển sang dùng dầu thực vật, do vậy, cầu về mỡ động vật giảm
còn cầu về dầu thực vật sẽ tăng.
Hoặc nếu người tiêu dùng cho rằng nếu ăn một loại thức ăn nào đó vào những
ngày đầu của tháng âm lịch thì tháng đó sẽ không được may mắn nên cầu về hàng hóa đó giảm đi.
- Thứ tư: Các kỳ vọng của người tiêu dùng
Kỳ vọng là sự phán đoán, mong đợi, hy vọng… của người tiêu dùng.
Ví dụ: Nếu người tiêu dùng cho rằng giá cả hàng hoá họ đang định mua sẽ giảm
mạnh trong thời gian tới thì cầu hàng hoá đó ở hiện tại sẽ giảm. Hoặc, nếu người
tiêu dùng cho rằng thu nhập của họ sẽ tăng trong tương lai gần thì cầu hàng hóa hiện tại sẽ tăng lên.
- Thứ năm: Dân số (số lượng người mua).
Vì cầu thị trường là tổng hợp các cầu cá nhân tham gia thị trường đó, nên khi dân
số càng tăng thì cầu càng lớn và ngược lại.
d, Chọn một hàng hóa (hoặc dịch vụ) mà bạn quan tâm và đề xuất một số ý kiến
nhằm kích cầu hàng hóa đó.
• Hàng hóa / dịch vụ : Du lịch sinh thái
+ Một số ý kiến nhằm kích cầu : lOMoAR cPSD| 60857655 Trước khi mua :
• Tổ chức sự kiện trải nghiệm: Tổ chức các sự kiện trải nghiệm ngắn hạn để
thu hút khách hàng tiềm năng.
• Chương trình khuyến mãi: Cung cấp các chương trình khuyến mãi, giảm
giá cho khách hàng đặt tour sớm.
• Quảng cáo trên mạng xã hội: Sử dụng mạng xã hội như Facebook,
Instagram, TikTok để quảng cáo và giới thiệu sản phẩm. Trong khi mua :
• Dịch vụ cá nhân hóa: Cung cấp dịch vụ cá nhân hóa cho khách hàng, như
tư vấn và thiết kế tour riêng.
• Bảo hành và đổi trả: Cung cấp chính sách bảo hành và đổi trả rõ ràng.
Hỗ trợ khách hàng 24/7: Đảm bảo hỗ trợ khách hàng mọi lúc. Sau khi mua:
• Chương trình khách hàng thân thiết: Tạo chương trình khách hàng thân
thiết với các ưu đãi đặc biệt.
• Khảo sát và phản hồi: Thực hiện khảo sát và thu thập phản hồi từ khách hàng.
• Quảng cáo từ khách hàng: Khuyến khích khách hàng chia sẻ trải nghiệm trên mạng xã hội. 2. Cung hàng hóa :
a, Nêu và phân tích khái niệm cung hàng hóa:
- Cung hàng hóa : là số lượng hàng hóa hoặc dịch vụ mà ng bán có khả năng
và sẵn sang cung cấp ở các mức giá khác nhau trong 1 thời gian nhất định
( Cung= Có khả năng + sẵn sang cung cấp )
b, Nêu và giải thích luật cung :
- Luật cung : Số lượng hàng hóa được cung ứng trong một khoảng thời gian
đã cho sẽ tăng lên khi giá cả của nó tăng lên và ngược lại lOMoAR cPSD| 60857655
P : là giá của mỗi đơn vị sp
Qs : Lượng cầu của người bán
c. Nêu (kể tên) các yếu tố tác động đến cung hàng hóa:
Ngoài yếu tố giá cả hàng hóa, cung còn phụ thuộc vào những yếu tố cơ bản sau:
- Thứ nhất: Công nghệ
Công nghệ là yếu tố quan trọng góp phần nâng cao sản xuất, giảm chi phí lao động
trong quá trình chế tạo sản phẩm. Khi năng suất lao động tăng thì cung tăng.
- Thứ hai: Giá của các yếu tố sản xuất (đầu vào).
Nếu giá của các yếu tố sản xuất giảm (chi phí sản xuất giảm) sẽ dẫn đến giá thành
sản xuất giảm và cơ hội kiếm lợi nhuận cao lên, do đó các nhà sản xuất có xu hướng sản xuất nhiều lên.
- Thứ ba: Chính sách thuế.
Thuế làm thay đổi giá thành sản phẩm hoặc làm thay đổi phần thu nhập còn lại của
người sản xuất. Mức thuế cao sẽ làm giá thành cao hoặc phần thu nhập còn lại của
người sản xuất giảm đi và họ sẽ thu hẹp sản xuất. Ngược lại, mức thuế thấp sẽ
khuyến khích các người sản xuất mở rộng quy mô sản xuất.
- Thứ tư: Số lượng người sản xuất
Vì cung thị trường là tổng hợp cung của các cá nhân tham gia thị trường nên khi số
lượng người sản xuất càng nhiều thì cung càng lớn và ngược lại.
- Thứ năm: Các kỳ vọng của người sản xuất lOMoAR cPSD| 60857655
Mọi mong đợi, phán đoán, hy vọng… của người sản xuất về sự thay đổi của giá cả,
chi phí sản xuất, chính sách của Chính phủ… đều có ảnh hưởng đến cung hàng hóa hoặc dịch vụ.
VD:nếu người sản xuất cho rằng, trong thời gian tới Chính phủ sẽ giảm mạnh thuế
nhập khẩu hàng hóa X thì lượng cung trong nước sẽ giảm đi; hoặc nếu người kinh
doanh dịch vụ du lịch biết rằng dịp nghỉ lễ mừng ngày Chiến thắng 30/4 và Quốc tế
Lao động 1/5 được nghỉ 4 ngày (do cả hoán đổi ngày làm việc) và thời tiết thuận lợi
thì cầu về du lịch sẽ tăng lên do vậy họ sẽ tăng số phòng, tuyển thêm nhân viên…
d. Chọn một hàng hóa (hoặc dịch vụ) mà bạn quan tâm và đề xuất một số ý kiến
nhằm kích cung hàng hóa đó.
Hàng hóa : Công nghệ điện tử :
- Đầu tư vào nghiên cứu và phát triển: Các doanh nghiệp đầu tư vào nghiên
cứu để tạo ra các sản phẩm mới, công nghệ mới, nâng cao năng lực cạnh tranh.
- Mở rộng quy mô sản xuất: Các doanh nghiệp mở rộng nhà máy, tăng cường
năng lực sản xuất để đáp ứng nhu cầu thị trường.
- Hợp tác sản xuất: Các doanh nghiệp hợp tác với nhau để chia sẻ nguồn lực,
giảm chi phí sản xuất và tăng cường năng lực cạnh tranh.
- Thu hút đầu tư nước ngoài: Thu hút đầu tư nước ngoài để tiếp cận công
nghệ mới, nguồn vốn và thị trường quốc tế.
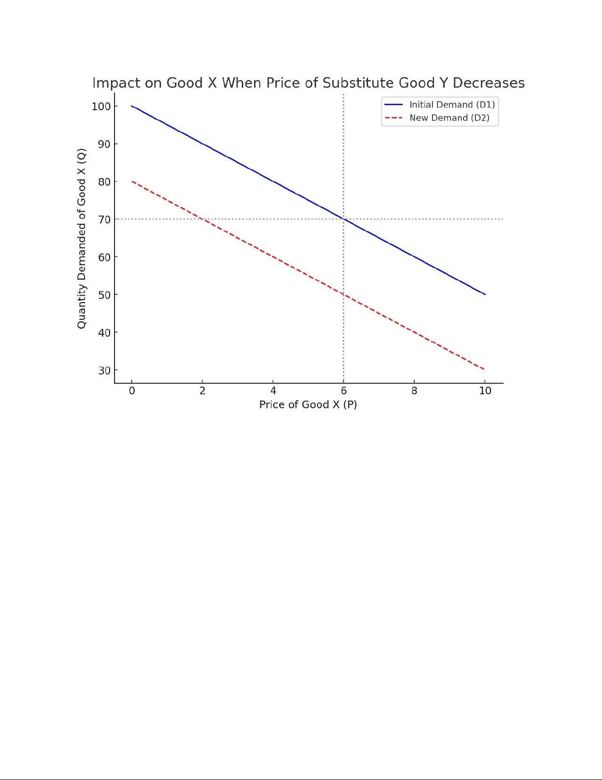
3. Lấy ví dụ hai hàng hóa X và Y là cặp hàng hóa thay thế. Giải thích và mô tả
trên đồ thị sự thay đổi của thị trường hàng hóa X khi giá hàng hóa Y giảm đi.
- Khi X và Y là hàng hóa thay thế
Nếu giá hàng hóa y giảm hàng hóa y sẽ rẻ hơn so với hàng hóa x. Người tiêu dùng
sẽ chuyển qua mua hang hóa y nhiều hơn , dẫn đến cầu hàng hóa X giảm
Kết quả : đường cầu của hàng hóa X dịch chuyển sang trái lOMoAR cPSD| 60857655 • P là trục tung • Q là trục hoành
• D1 đường cầu X ban đầu (màu xanh)
• D2 đường cầu mới (màu đỏ)
4. Lấy ví dụ hai hàng hóa X và Y là cặp hàng hóa bổ sung. Giải thích và mô tả
trên đồ thị sự thay đổi của thị trường hàng hóa X khi giá hàng hóa Y giảm đi.
- Khi giá của hàng hóa y giảm xuống điều này làm cho giá hàng hóa Y rẻ hơn người
tiêu dùng sẽ có xu hướng mua nhiều hàng hóa Y hơn làm cầu hàng hóa Y tăng
- Vì X và Y là cặp hàng hóa bổ sung( đường và cà phê) việc tăng tiêu dùng hàng
hóa Y sẽ làm tăng nhu cầu đối với hàng hóa X giúp cầu hàng hóa x tăng lOMoAR cPSD| 60857655
- Kết quả đường cầu của đồ thị sẽ dịch sang bên phải
5. . Đường ngân sách, đường bàng quan:
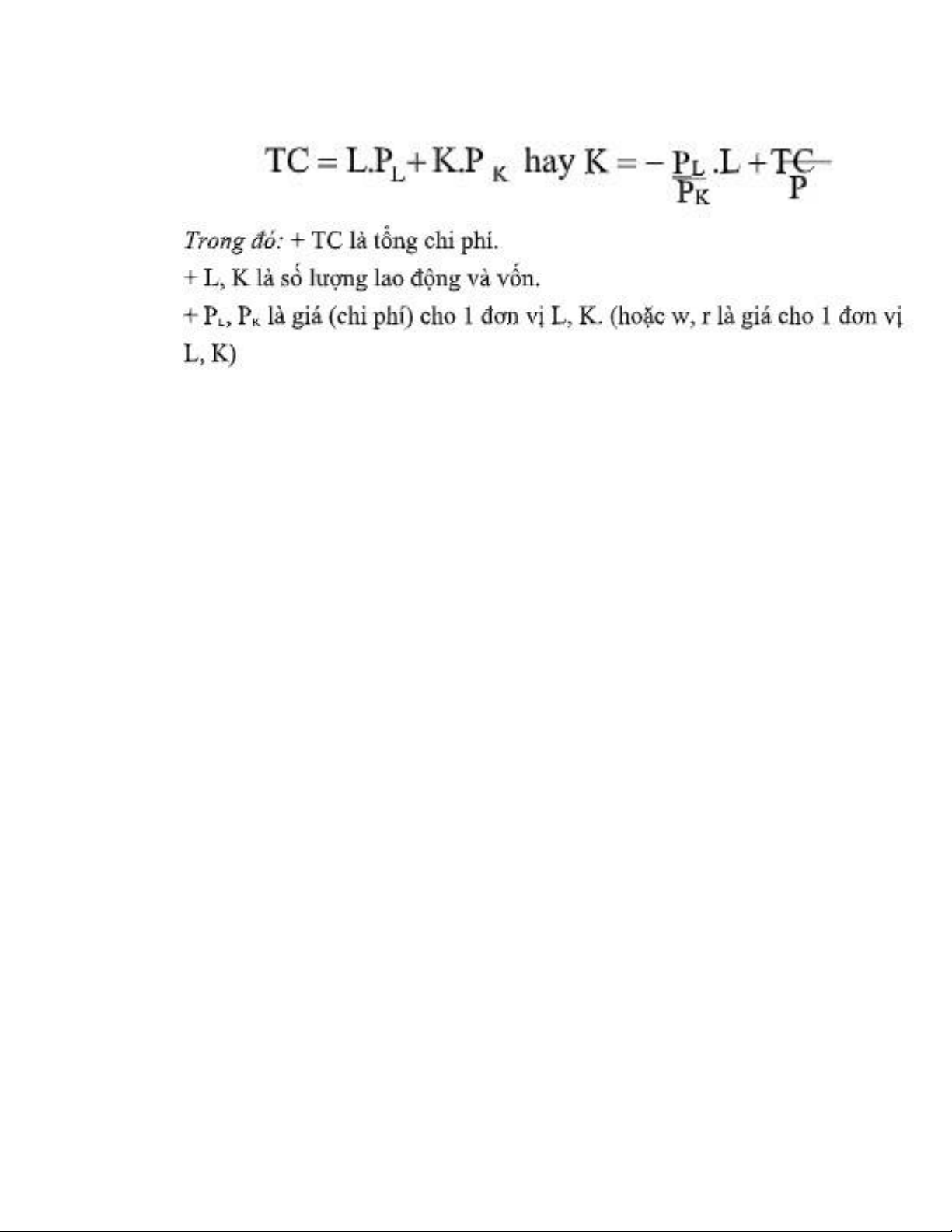
a. Nêu khái niệm và viết phương trình đường ngân sách.
- Đường ngân sách : Là tập hợp các điểm mô tả các kết hợp khác nhau giữa các
hàng hóa mà ng tiêu dùng có thể mua với một mức ngân sách nhất định và giá các sp là biết trước. - Pt đường ngân sách : lOMoAR cPSD| 60857655
b. Nêu khái niệm đường bàng quan và các đặc điểm của đường bàng quan:
- Đường bang quan : Là đường tập hợp các phối hợp khác nhau giữa 2 sp
cùng mang lại một mức thỏa mãn cho người tiêu cùng - Đặc điểm của đường bàng quan :
+ Đường bàng quan có độ dốc âm, lồi so với gốc tọa độ.
+ Các đường bàng quan không thể cắt nhau.
+ Đường bàng quan càng xa gốc tọa độ biểu thị mức độ thỏa mãn càng cao
hơn (lợi ích càng lớn hơn).
c. Vẽ trên cùng một đồ thị mô tả đầy đủ 3 vị trí tương đối của đường ngân sách
và đường bàng quan (trường hợp 3 đường ngân sách và 1 đường bàng quan)
từ đó nêu nhận xét và rút ra nguyên tắc kết hợp tiêu dùng tối ưu hai hàng hóa X và Y: •
NS1 và BQ: Người tiêu dùng có ngân sách lớn nhất, cho phép đạt mức
tiệních cao nhất trên đường bàng quan (tiêu dùng tối ưu cao nhất). •
NS2 và BQ: Ngân sách giảm khiến người tiêu dùng phải chọn mức tiện
íchthấp hơn, điều chỉnh tiêu dùng theo giá cả và ngân sách mới. •
NS3 và BQ: Độ dốc của đường ngân sách thay đổi (tương ứng với thay
đổigiá tương đối giữa X và Y), dẫn đến sự thay đổi cách kết hợp hàng hóa để tối ưu hóa tiêu dung lOMoAR cPSD| 60857655
- Tại điểm tối ưu: MUx/MUy=Px/Py
+ Lợi ích cận biên trên mỗi đồng chi tiêu cho hàng hóa X và Y phải bằng nhau.
- Tổng chi tiêu không vượt quá ngân sách: Px.X+Py.Y = Ngân sách
+ Người tiêu dùng điều chỉnh lượng X và Y để tối đa hóa tiện ích trong giới hạn chi tiêu.
6. Đường đồng phí, đường đồng lượng:
a. Nêu khái niệm và viết phương trình đường đồng phí.
- Đường đồng phí : Là đường biểu diễn các tập hợp khác nhau giữa các yếu
tố sx mà ng sx có thể sử dụng cùng với một mức chi phí - Pt đường đồng phí : lOMoAR cPSD| 60857655
b. Nêu khái niệm đường đồng lượng và đặc điểm của đường đồng lượng.
- Đường đồng lượng : Là đường biểu thị tập hợp các cách kết hợp khác
nhau giữa các yếu tố sx để tạo ra cùng một mức sản lượng - Đặc
điểm của đường đồng lượng :
+ Dốc xuống từ trái qua phải
+ Đường đồng lượng càng xa gốc tọa độ thì mức sản lượng càng lớn + Không cắt nhau
+ Lồi về phía gốc tọa độ 0
c. Vẽ trên cùng một đồ thị mô tả đầy đủ 3 vị trí tương đối của đường đồng lượng
và đường đồng phí (trường hợp 3 đường đồng phí và 1 đường đồng lượng)
từ đó nêu nhận xét và rút ra nguyên tắc kết hợp đầu vào tối ưu: 7. Lợi nhuận :
a. Khái niệm, ý nghĩa của lợi nhuận; các yếu tố tác động đến lợi nhuận
- Khái niệm : Lợi nhuận lại đại lượng phản ánh phần chênh lệch giữa tổng
doanh thu và tổng chi phí đã bỏ ra để đạt được doanh thu đó - Ý nghĩa :
+ Lợi nhuận là chỉ tiêu kinh tế tổng hợp, phản ánh toàn bộ kết quả và hiệu
quả của quá trình kinh doanh kể từ lúc bắt đầu tìm kiếm nhu cầu thị trường,
chuẩn bị và tổ chức bán hàng và dịch vụ cho thị trường của doanh nghiệp.
Nó phản ánh cả về mặt lượng và mặt chất của quá trình kinh doanh.
+ Lợi nhuận là mục tiêu kinh tế số một, là động cơ hoạt động của các doanh nghiệp. lOMoAR cPSD| 60857655
+ Lợi nhuận là nguồn vốn quan trọng để doanh nghiệp tái sản xuất mở rộng,
tạo lập các quỹ, nâng cao đời sống người lao động.
- Các yếu tố tác động đến Lợi nhuận : + Yếu tố bên ngoài
• Nhu cầu thị trường: Sự thay đổi nhu cầu ảnh hưởng đến giá và lượng hàng bán.
• Giá cả cạnh tranh: Giá của hàng hóa tương tự ảnh hưởng đến khả năng cạnh tranh.
• Chính sách chính phủ: Thuế, phí, quy định và chính sách hỗ trợ.
• Cộng nghệ và đổi mới: Tác động đến chi phí sản xuất và hiệu quả.
• Môi trường kinh tế: Lạm phát, suy thoái, tăng trưởng kinh tế. + Yếu tố bên trong
• Chi phí sản xuất: Chi phí nguyên vật liệu, lao động, thiết bị.
• Giá bán: Giá quyết định doanh thu.
• Lượng hàng bán: Số lượng hàng bán ảnh hưởng đến doanh thu.
• Hiệu quả sản xuất: Tác động đến chi phí và chất lượng.
• Quản lý và điều hành: Quyết định về sản xuất, tiếp thị và phân phối. + Yếu tố khác
• Rủi ro kinh doanh: Rủi ro tài chính, rủi ro vận hành.
• Thay đổi thời tiết: Ảnh hưởng đến sản xuất và nhu cầu.
• Sự kiện bất ngờ: Khủng hoảng, thiên tai.
• Độ co giãn của nhu cầu: Ảnh hưởng đến giá và lượng hàng bán. Cạnh
tranh trên thị trường: Số lượng và sức mạnh cạnh tranh.
b. Nêu và giải thích nguyên tắc tối đa lợi nhuận trong ngắn hạn:
- Nguyên tắc tối đa lợi nhuận trong ngắn hạn được thể hiện qua công thức:
Lợi nhuận (π) = Doanh thu (TR) - Chi phí (TC) -
Các bước để tối đa hóa lợi nhuận trong ngắn hạn:
+ Tính toán doanh thu (TR): Doanh thu bằng giá bán (P) nhân với lượng hàng bán (Q), TR = P × Q.
+ Tính toán chi phí (TC): Chi phí bao gồm chi phí biến đổi (VC) và chi phí cố định (FC), TC = VC + FC.
+ Tìm điểm cân bằng: Điểm cân bằng xảy ra khi doanh thu biên (MR) bằng chi phí biên (MC), MR = MC. lOMoAR cPSD| 60857655
+ Kiểm tra độ co giãn: Nếu độ co giãn của nhu cầu cao, giá có thể tăng để tối đa hóa lợi nhuận.
- Điều kiện tối đa hóa lợi nhuận:
+ MR = MC: Doanh thu biên bằng chi phí biên.
+ MC tăng: Chi phí biên tăng sau điểm cân bằng.
+ Độ co giãn của nhu cầu: Phụ thuộc vào độ co giãn của nhu cầu.
8. Cạnh tranh và độc quyền
a. Nêu (kể tên) cấu trúc thị trường và các tiêu thức phân loại thị trường theo
góc độ cạnh tranh và độc quyền:
- Khi xem xét trên góc độ cạnh tranh hay độc quyền, tức là xem xét hành vi
của thị trường, các nhà kinh tế phân loại thành các cấu trúc thị trường sau:
+ Thị trường cạnh tranh hoàn hảo.
+ Thị trường độc quyền.
+ Thị trường cạnh tranh không hoàn hảo (bao gồm cạnh tranh độc quyền
và độc quyền tập đoàn).
- Các tiêu thức phân loại thị trường theo góc độ cạnh tranh và độc quyền :
+ Số lượng người bán và ng mua
+ Sự khác biệt về sản phẩm
+ Sức mạnh thị trường của ng bán và ng mua
+ Các rào cản và rút lui khỏi thị trường
b. Nêu khái niệm thị trường cạnh tranh hoàn hảo, đặc điểm của thị trường
cạnh tranh hoàn hảo, đặc điểm của doanh nghiệp cạnh tranh hoàn hảo :
- Thị trường cạnh tranh hoàn hảo: thị trường trong đó có nhiều người mua,
nhiều người bán và không ai có thể ảnh hưởng đến giá cả thị trường.
Đặc điểm của thị trường cạnh tranh Đặc điểm của DN cạnh tranh hoàn hoàn hảo hảo lOMoAR cPSD| 60857655
+ Có rất nhiều người mua, người bán + Doanh nghiệp là người chấp nhận
trên thị trường + Sp đồng nhất giá trên thị trường + Thông tin đầy đủ
+ Đường cầu của doanh nghiệp co
+ Rào cản đối với việc gia nhập hay giãn hoàn toàn + Đường doanh thu
rút lui khỏi thị trường là rất thấp
cận biên của doanh nghiệp co giãn hoàn toàn (MR = P)
c. Nêu và giải thích nguyên tắc tối đa lợi nhuận trong ngắn hạn của
doanh nghiệp cạnh tranh hoàn hảo: - Điều kiện tối đa hóa lợi nhuận
+ Doanh thu biên (MR) = Chi phí biên (MC): Điểm cân bằng tối đa hóa lợi nhuận.
+ MC tăng: Chi phí biên tăng sau điểm cân bằng.
+ Độ co giãn của nhu cầu: Phụ thuộc vào độ co giãn của nhu cầu.
- Các bước tối đa hóa lợi nhuận
+ Xác định hàm doanh thu (TR): TR = P × Q.
+ Xác định hàm chi phí (TC): TC = VC + FC.
+ Tính toán doanh thu biên (MR): MR = ΔTR/ΔQ.
+ Tính toán chi phí biên (MC): MC = ΔTC/ΔQ.
+ Tìm điểm cân bằng: MR = MC.
d. Nêu khái niệm thị trường độc quyền bán, đặc điểm của thị trường độc
quyền bán, đặc điểm của doanh nghiệp độc quyền bán:
- Thị trường độc quyền bán : là thị trường chỉ có một người bán duy nhất nhưng nhiều người mua.
Đặc điểm thị trường độc quyền bán
Đặc điểm của DN độc quyền bán
+ Chỉ có 1 người bán duy nhất một loại + Doanh nghiệp có sức mạnh thị trường
hàng hóa/dịch vụ nào đó
và là người ấn định giá
+ Sản phẩm sản xuất ra không có sản + Cung của doanh nghiệp là cung của thị phẩm thay thế
trường, đồng thời cầu của thị trường
+ Rào cản đối với việc gia nhập thị cũng chính là cầu đối với doanh nghiệp. trường là rất lớn
Bình luận đúng sai, giải thích ngắn gọn Câu ND câu hỏi Đáp Giải thích án lOMoAR cPSD| 60857655 1
Nên giảm giá bán để tăng Sai
Cầu ít co dãn nghĩa là khi giá thay đổi, doanh thu nếu cầu ít co
lượng cầu cũng thay đổi rất ít. Giảm giá dãn.
trong trường hợp này có thể không làm
tăng đáng kể doanh thu vì lượng hàng
bán ra tăng không đủ bù đắp cho phần giảm giá. 2
Càng giảm giá bán thì lượng Sai
-Quan hệ giữa giá và lượng: Thông
bán càng tăng lên và doanh
thường, khi giá giảm, lượng cầu sẽ tăng. thu càng tăng lên.
Tuy nhiên, mối quan hệ này không phải
lúc nào cũng tuyến tính.
-Điểm hòa vốn: Có một mức giá tối ưu
mà tại đó doanh thu đạt mức cao nhất.
Nếu giảm giá quá nhiều, doanh thu có
thể giảm do lợi nhuận trên mỗi đơn vị
sản phẩm giảm quá nhiều.
- Hiệu ứng tâm lý: Người tiêu dùng
thường liên hệ giá cả với chất lượng.
Giảm giá quá nhiều có thể khiến khách
hàng nghi ngờ về chất lượng sản phẩm 3
Khi dịch cúm gia cầm xảy ra Đúng Dịch cúm gia cầm sẽ làm giảm nguồn trong khi giá thức ăn cho
cung thịt gà, gây áp lực lên giá thịt lợn.
lợn tăng lên thì giá của thịt
Đồng thời, giá thức ăn cho lợn tăng cũng
lợn tăng lên còn không thể
đẩy giá thành sản xuất thịt lợn lên cao,
nói trước được điều gì về
góp phần làm tăng giá thịt lợn. Tuy nhiên, lượng cung thịt lợn.
lượng cung thịt lợn có thể giảm hoặc
tăng tùy thuộc vào nhiều yếu tố khác như
quy mô đàn lợn, khả năng thay thế
nguồn cung, và chính sách của nhà nước. lOMoAR cPSD| 60857655 4
Người tiêu dùng sẽ chọn Đúng Người tiêu dùng thường có xu hướng lựa
tiêu dùng hàng hóa X nếu
chọn sản phẩm mang lại lợi ích cao nhất
lợi ích cận biên của hàng
cho mỗi đơn vị tiền bỏ ra. Lợi ích cận biên hóa
đo lường sự tăng thêm vào tổng lợi ích
X lớn hơn lợi ích cận biên
khi tiêu dùng thêm một đơn vị hàng hóa. của hàng hóa Y. 5
Người tiêu dùng sẽ chọn Sai -
Người tiêu dùng xem xét lợi ích
tiêu dùng hàng hóa X nếu
cận biên, không chỉ giá
giá của hàng hóa X thấp -
Giá cả là một yếu tố quan trọng, hơn giá của của hàng
nhưng không phải là yếu tố duy nhất. Các hóa Y.
yếu tố khác như chất lượng, thương
hiệu, thu nhập, sở thích cũng ảnh hưởng
đến quyết định mua hàng. 6
Doanh nghiệp cạnh tranh Sai
Vì doanh nghiệp cạnh tranh hoàn hảo
hoàn hảo cần ngừng kinh
không nhất thiết phải ngừng kinh doanh doanh khi bị lỗ vốn.
khi lỗ vốn trong ngắn hạn nếu có thể
trang trải đc chi phí biến đổi. Tuy nhiên ,
nếu lỗ kéo dài và không thể bù đắp trong
dài hạn , doanh nghiệp sẽ dừng hoạt động 7 Đường cung trong ngắn Sai
Đường cung trong ngắn hạn của doanh hạn của doanh nghiệp
nghiệp cạnh tranh hoàn hảo không phải cạnh tranh hoàn hảo là
toàn bộ đường chi phí cận biên (MC), mà toàn bộ đường chi phí
chỉ là phần của đường MC nằm trên cận biên.
đường chi phí biến đổi trung bình (AVC).
Điều này là do doanh nghiệp chỉ cung cấp
sản phẩm khi giá bán (P) lớn hơn hoặc
bằng AVC, để đảm bảo bù đắp được chi
phí biến đổi trong ngắn hạn. lOMoAR cPSD| 60857655 8
Doanh nghiệp độc quyền Đúng Doanh nghiệp độc quyền là người bán
bán được quyết định cả giá
duy nhất trên thị trường, nên họ có bán và lượng bán.
quyền lực thị trường để quyết định cả giá
bán và lượng hàng hóa cung ứng. 9
Doanh nghiệp độc quyền Đúng Doanh nghiệp độc quyền bán không có
bán không có đường cung.
đường cung theo nghĩa truyền thống, vì
không tồn tại mối quan hệ cố định giữa mức giá và lượng cung.
+ Trong thị trường độc quyền, lượng
hàng mà doanh nghiệp cung ứng không
chỉ phụ thuộc vào chi phí sản xuất mà còn
bị chi phối bởi đường cầu của thị trường
và chiến lược định giá của doanh nghiệp.
+ Do đó, không thể xác định một đường
cung độc lập như trong thị trường cạnh tranh hoàn hảo. lOMoAR cPSD| 60857655 10
Càng sản xuất và bán được Sai
Sản xuất và bán nhiều hàng hóa không nhiều hàng hóa thì lợi
đảm bảo lợi nhuận sẽ luôn tăng, vì lợi nhuận càng tăng lên.
nhuận phụ thuộc vào mối quan hệ giữa
doanh thu cận biên (MR) và chi phí cận biên (MC):
+ Nếu MR > MC, sản xuất thêm sẽ làm lợi nhuận tăng.
+ Nếu MR = MC, doanh nghiệp tối đa hóa
lợi nhuận và không nên sản xuất thêm.
+ Nếu MR < MC, sản xuất thêm sẽ làm lợi
nhuận giảm vì chi phí vượt quá doanh thu.
Ngoài ra, khi sản xuất quá mức, doanh
nghiệp có thể đối mặt với chi phí tăng do
hiệu suất giảm dần, khiến lợi nhuận
giảm. Vì vậy, sản xuất và bán hàng hóa
cần được tối ưu hóa, không phải cứ tăng
sản lượng là lợi nhuận sẽ tăng