










Preview text:
1. Lý thuyết về chuyển dịch cơ cấu kinh tế
Cơ cấu nền kinh tế
Khái niệm và phân loại Khái niệm
- Cơ cấu kinh tế là sự tương quan giữa các ngành kinh tế trong cả nền kinh tế
quốc gia, thể hiện mối quan hệ và tác động giữa chúng về số lượng và chất
lượng. Cơ cấu này được hình thành dưới những điều kiện kinh tế xã hội cụ thể
và luôn thay đổi theo thời gian, hướng đến các mục tiêu nhất định. Nó là một
phạm trù kinh tế cơ bản, tạo nền tảng cho cấu trúc xã hội và chế độ xã hội của một quốc gia.
- Cơ cấu kinh tế hợp lý là cơ cấu có khả năng tạo ra quá trình tái sản xuất mở
rộng và đáp ứng các yêu cầu sau: phù hợp với điều kiện khách quan, phản ánh
khả năng khai thác và sử dụng tài nguyên kinh tế trong nước, đồng thời đáp
ứng yêu cầu hội nhập quốc tế và khu vực, để tạo ra sự cân đối và phát triển bền
vững. Nó cũng phải phù hợp với xu hướng kinh tế và chính trị của khu vực và toàn cầu. Phân loại
Có nhiều cách phân loại cơ cấu nền kinh tế, nhưng phân loại phổ biến nhất bao gồm ba loại chính sau:
- Nền kinh tế nông nghiệp: Trong nền kinh tế này, ngành nông nghiệp chiếm
phần lớn hoặc quan trọng trong sản xuất và cung cấp thực phẩm và nguyên liệu cho xã hội.
- Nền kinh tế công nghiệp: Trong nền kinh tế này, ngành công nghiệp chế biến
và sản xuất hàng hóa đóng vai trò quan trọng. Các ngành công nghiệp như chế
biến, sản xuất và xây dựng thường chiếm phần lớn trong cơ cấu nền kinh tế.
- Nền kinh tế dịch vụ: Trong nền kinh tế này, các ngành dịch vụ như giáo dục,
y tế, tài chính, du lịch, và vận tải chiếm phần lớn trong sản xuất và cung cấp dịch vụ cho xã hội.
Chuyển dịch cơ cấu nền kinh tế
Khái niệm và phân loại Khái niệm
Chuyển dịch cơ cấu kinh tế là quá trình thay đổi tỷ trọng của các thành phần
cấu thành nền kinh tế. Nó xảy ra khi có sự phát triển không đồng đều về quy
mô và tốc độ giữa các ngành và vùng. Xu hướng chuyển dịch cơ cấu kinh tế
phản ánh các biến đổi kinh tế trong quá trình phát triển. Phân Loại
Có ba hình thức chính của chuyển dịch cơ cấu kinh tế:
- Chuyển dịch cơ cấu ngành: Đây là quá trình phát triển của các ngành kinh tế,
dẫn đến sự tăng trưởng khác nhau giữa các ngành và thay đổi mối quan hệ
tương quan giữa chúng so với một thời điểm trước đó. Quá trình này bao gồm
không chỉ sự thay đổi về số lượng các ngành và tỷ trọng của mỗi ngành, mà
còn thay đổi về vị trí và tính chất của các mối quan hệ bên trong cơ cấu ngành.
Chuyển dịch cơ cấu ngành phụ thuộc vào sự phát triển của lực lượng sản xuất,
phân công lao động xã hội, thị trường và quan hệ cung-cầu hàng hóa.
- Chuyển dịch cơ cấu vùng: Đây là quá trình phát triển của các khu vực và
vùng lãnh thổ, dẫn đến sự tăng trưởng khác nhau giữa các ngành và thay đổi
mối quan hệ tương quan giữa chúng và tổng thể nền kinh tế so với một thời
điểm trước đó. Chuyển dịch cơ cấu vùng phụ thuộc vào các yếu tố địa lý-chính
trị, tài nguyên thiên nhiên và cũng phụ thuộc vào tác động chủ quan của con
người. Quá trình này thường tiến triển theo hướng tích cực, giảm bớt sự chênh
lệch giàu nghèo giữa các vùng, cải thiện cơ sở vật chất kỹ thuật và đời sống của người dân.
- Chuyển dịch cơ cấu thành phần kinh tế: Đây là quá trình phát triển của các
thành phần kinh tế, dẫn đến sự tăng trưởng khác nhau giữa các thành phần và
thay đổi mối quan hệ tương quan giữa chúng và tổng thể nền kinh tế so với thời
điểm trước đó. Khi chuyển dịch cơ cấu thành phần kinh tế diễn ra đúng hướng,
nền kinh tế sẽ có nhiều thành phần đa dạng, tạo việc làm, cải thiện đời sống của
người dân và tăng nguồn thu cho ngân sách nhà nước. Ngược lại, nếu chuyển
dịch không diễn ra một cách hợp lý, nền kinh tế có thể gặp khó khăn trong cạnh
tranh và giảm sự hấp dẫn đối với các nhà đầu tư nước ngoài.
2. Thực trạng chuyển dịch cơ cấu kinh tế ở Việt Nam
Chuyển đổi cơ cấu theo ngành kinh tế:
Bản thân Việt Nam là một trong những nước đang phát triển, Việt Nam có
những cứ vần mình rất mạnh trong việc chuyển đổi cơ cấu kinh tế. Cụ thể là
giảm tỷ trọng các ngành nông – lâm – ngư nghiệp (I), tăng tỷ trọng nhóm
ngành công nghiệp, xây dựng (II) và dịch vụ (III). Đây là hình thái tất yếu của
các nước đang phát triển
Ngoài dịch chuyển ở tổng thể ngành, trong mỗi khu vực còn có sự vận động vô
cùng mạnh mẽ: Trong nhóm I, nước ta đã giảm tỷ trọng trong hoạt động trồng
trọt, chăn nuôi và lâm nghiệp; tăng tỷ trọng nuôi trồng và đánh bắt các loại
thủy, hải sản. Trong nhóm II, giảm tỷ trọng trong khai thác, tăng tỷ trọng các
hoạt động chế biến. Trong nhóm III, tăng mạnh các ngành về cơ sở hạ tầng, phát triển đô thị
Việt Nam còn là một đất nước non trẻ, nghèo nàn, còn đang trong quá trình
phát triển nên nhà nước luôn khuyến khích và tạo điều kiện cho người dân tăng
gia sản xuất, phát triển kinh tế
Chuyển đổi cơ cấu theo từng vùng kinh tế:
Nước ta có được chia thành bảy vùng kinh tế: vùng Đông Bắc (7 tỉnh), vùng
Tây bắc (7 tỉnh), vùng Đồng bằng sông Hồng (11 tỉnh), vùng Bắc Trung Bộ (5
tỉnh), vùng Nam Trung Bộ (11 tỉnh), vùng Đôg Nam Bộ (9 tỉnh) và vùng Đồng
bằng sông Cửu Long (13 tỉnh). Các vùng kinh tế được khoanh thành các vùng
có sự tương đồng về điều kiện tự nhiên, kinh tế, xã hội và trình độ phát triển để
có thể thuận lợi trong việc quản lý cũng như các hoạt động phát triển
Chuyển đổi cơ cấu theo lãnh thổ:
Nước ta có 4 vùng kinh tế trọng điểm bao gồm: vùng Đồng bằng sông Cửu
Long, vùng phía Nam, miền Trung và Bắc Bộ. Đây được coi như 4 toa tàu giúp
phát triển nền kinh tế nước ta đi lên trong cuộc phát triển đất nước
Cụ thể là nền nông nghiệp hình thành các vùng chuyên canh về cây nông
nghiệp và thực phẩm. Còn công nghiệp cũng hình thành nên các khu công
nghiệp và chế xuất lớn ở nhiều nơi. Riêng về ngành dịch vụ thì hình thành rất
nhiều những trung tâm thương mại với mạng lưới rộng khắp trên cả nước. Và
đặc biệt nhất là tỷ trọng của ngành công nghiệp, dịch vụ tăng lên mạnh mẽ,
khẳng định sự bắt kịp xu hướng công nghiệp hóa hiện đại hóa đất nước. Tuy
nhiên, bên cạnh đó thì ngành nông nghiệp lại có sự giảm nhẹ.
Sự chuyển dịch cơ cấu kinh tế trên diễn ra do chủ yếu là điều kiện tự nhiên
của các vùng lãnh thổ khác nhau. Ngoài ra thì còn do sự đầu tư của nhà nước
cũng như các doanh nghiệp nước ngoài vào từng vùng lãnh thổ, tạo điều kiện
cho sự phát triển của từng vùng cũng không giống nhau.
Về cơ cấu lao động
Trong giai đoạn từ (2015-2022), cùng với sự phát triển kinh tế, lực lượng lao
động của Việt Nam đã có mức việc làm tăng đều qua các năm, trừ năm 2020
khi tình trạng thất nghiệp gia tăng do ảnh hưởng của đại dịch COVID-19. Theo
báo cáo của Tổng cục Thống kê năm 2021, số lượng người lao động từ 15 tuổi
trở lên có việc làm tăng đều từng năm, với tốc độ tăng trung bình khoảng
0,48% trong giai đoạn 2015-2019. Tuy nhiên, vào năm 2020, có 32,1 triệu
người từ 15 tuổi trở lên bị ảnh hưởng tiêu cực bởi dịch COVID-19, bao gồm
những người bị mất việc làm, phải nghỉ giãn việc hoặc nghỉ luân phiên, giảm giờ làm.
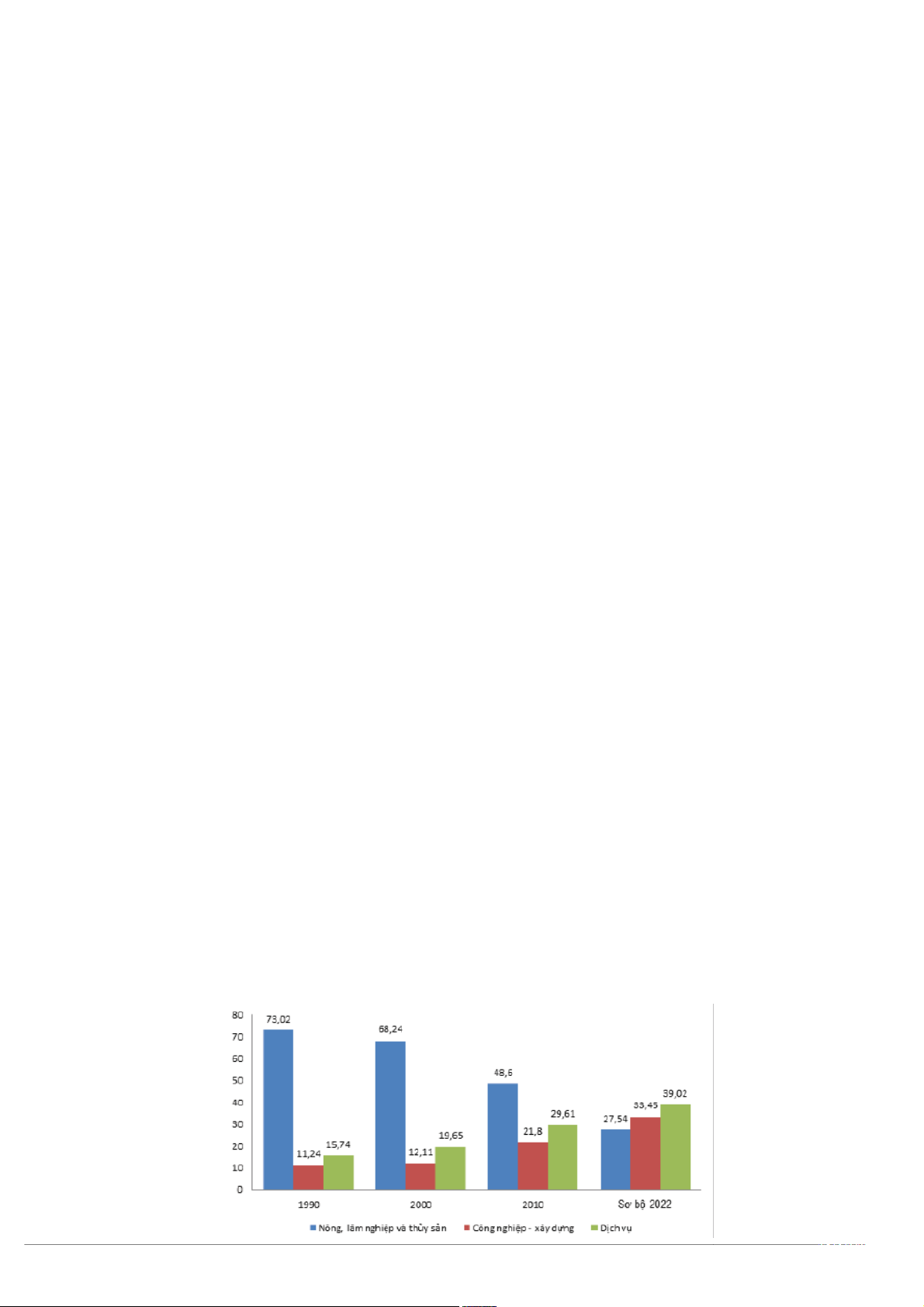
Cùng với quá trình chuyển dịch cơ cấu ngành kinh tế là quá trình chuyển dịch
cơ cấu lao động phân theo ngành kinh tế. Ở nước ta thời gian qua, cơ cấu lao
động phân theo nhóm ngành kinh tế cũng đã chuyển dịch theo hướng tỷ trọng
lao động nhóm ngành Nông - lâm - thủy sản đã giảm từ 73,02% năm 1990
xuống còn 27,54% năm 2022 (bình quân giảm 1,42%/năm); trái lại, tỷ trọng lao
động nhóm ngành công nghiệp - xây dựng đã tăng từ 11,24% lên 33,45% (bình
quân tăng 0,69%), tỷ trọng lao động nhóm ngành dịch vụ cũng đã tăng từ
15,74% lên 39,02% (bình quân tăng 0,73%) trong cùng kỳ. Như vậy, lao động
đã có sự chuyển dịch từ khu vực có năng suất lao động thấp sang các khu vực
có năng suất lao động cao hơn, từ đó làm tăng năng suất trung bình của nền
kinh tế, cho thấy sự đóng góp rõ ràng cho tăng trưởng kinh tế. Về cơ cấu GDP:
Cơ cấu GDP giữa các ngành kinh tế là một trong những chỉ tiêu quan trọng
nhất phản ánh xu hướng vận động và mức độ thành công của quá trình công
nghiệp hóa. Cơ cấu này ở nước ta trong thời gian qua đã chuyển dịch theo quy
luật của chuyển dịch cơ cấu ngành trong quá trình CNH-HĐH, cụ thể: Tỷ trọng
nhóm ngành Nông, lâm nghiệp và thủy sản trong GDP có xu hướng giảm
xuống, từ mức 38,06% năm 1986 giảm xuống còn 24,53% năm 2000 và còn
11,88% vào năm 2022 (bình quân giảm 0,73%/năm); Tỷ trọng nhóm ngành
Công nghiệp và xây dựng có xu hướng tăng mạnh nhất, từ mức 28,88% năm
1986 lên mức 36,73% năm 2000 và đạt mức 38,26% vào năm 2022 (bình quân
tăng 0,26%/năm); Tỷ trọng nhóm ngành Dịch vụ cũng có xu hướng tăng lên, từ
mức 33,06% năm 1986 lên mức 38,74% năm 2000 và đạt mức 41,33% vào
năm 2022 (bình quân tăng 0,23%/năm).
Để đánh giá sát thực hơn sự chuyển dịch cơ cấu ngành của nền kinh tế theo
hướng CNH-HĐH, việc phân tích cơ cấu các phân ngành (cấp II, cấp III…) có
một ý nghĩa rất quan trọng. Thông thường, cơ cấu phân ngành phản ánh sát hơn
khía cạnh chất lượng và mức độ HĐH của nền kinh tế. Tại Việt Nam, trong nội
bộ ngành Nông nghiệp đã chuyển dịch từ loại cây trồng, vật nuôi có hiệu quả
kinh tế thấp sang loại cây trồng, vật nuôi có hiệu quả kinh tế cao hơn. Chẳng
hạn như diện tích trồng lúa giảm từ 7,3 triệu ha năm 2005 xuống còn 7,1 triệu
ha năm 2022, diện tích trồng ngô giảm từ 1 triệu ha năm 2005 xuống còn 0,9
triệu ha năm 2022; trái lại. diện tích trồng cà phê tăng từ 500 nghìn ha năm
2005 lên 709 nghìn ha năm 2022... Trong nội bộ ngành Lâm nghiệp, tổng diện
tích rừng tăng từ 13,3 triệu ha năm 2010 lên 14,8 triệu ha năm 2022, làm cho tỷ
lệ che phủ rừng tăng từ 39,5% lên 42% trong khoảng thời gian này.
Trong nội bộ nhóm ngành Công nghiệp - xây dựng thì tỷ trọng ngành Công
nghiệp chế biến, chế tạo đã tăng từ 18,82% GDP năm 2005 lên mức 24,76%
năm 2022 (bình quân tăng 0,35%/năm). Trong giai đoạn 2012-2022, các ngành
công nghiệp chế biến, chế tạo có tốc độ tăng trưởng nhanh nhất là sản xuất sản
phẩm điện tử, máy tính và sản phẩm quang học (đạt tốc độ tăng trưởng là
15,3%/năm), sản xuất kim loại (13,6%/năm), sản xuất giấy và sản phẩm từ giấy (11,3%/năm)...
Cơ cấu nội bộ nhóm ngành dịch vụ trong giai đoạn 2005-2022 đã chuyển dịch
theo hướng hiện đại, hợp lý và hiệu quả, cụ thể là tỷ trọng trong GDP của
ngành Vận tải, Kho bãi; Thông tin và Truyền thông; Khoa học công nghệ; Giáo
dục và Đào tạo; Y tế đều có xu hướng tăng lên. Trái lại, tỷ trọng các ngành bán
buôn và bán lẻ; dịch vụ lưu trú và ăn uống; hoạt động kinh doanh bất động sản
lại có xu hướng giảm xuống.
3. CÁC CHÍNH SÁCH TÁC ĐỘNG ĐẾN CHUYỂN DỊCH CƠ CẤU KINH TẾ VIỆT NAM Chính sách kinh tế
Tình hình kinh tế gần đây ở Việt Nam đang diễn ra trong bối cảnh tăng trưởng
kinh tế toàn cầu chậm lại. Sản xuất công nghiệp và doanh số bán lẻ toàn cầu
đang giảm sút và bằng chứng khảo sát cho thấy lòng tin sụt giảm đáng kể của
doanh nghiệp và người tiêu dùng tại hầu hết các quốc gia OECD. Nhìn về
tương lai, OECD dự báo tăng trưởng GDP toàn cầu trong năm nay sẽ giảm
mạnh xuống còn 3.1%, thấp hơn khoảng 1.5 điểm phần trăm so với mức dự báo
hồi tháng 12 năm 2021, và sẽ vẫn yếu, ở mức 2.2%, trong năm 2023.
Tăng trưởng của Việt Nam đã rất tích cực từ đầu năm 2020, ngoại trừ đợt sụt
giảm trong quý 3 năm 2021(Hình 1.1, Biểu đồ A). Đầu tư đã giúp thúc đẩy
tăng trưởng. Kết quả là đầu tư nước ngoài (vốn thực hiện) đã bắt đầu gia tăng
trong nửa đầu năm 2022 (10% trong giai đoạn từ tháng 1 - tháng 7 so với cùng
kỳ năm ngoái, tính theo USD) sau sự sụt giảm nhẹ trong năm 2020 và 2021 (-
2% và -1%). Hoạt động kinh doanh cũng vững vàng, với sản xuất công nghiệp
đã hồi phục đều đặn kể từ cuối năm 2021.
Vào đầu năm 2022, chính phủ đã thông qua một gói kích thích tài khóa và tiền
tệ bổ sung với tên gọi Chương trình Phục hồi và Phát triển kinh tế - xã hội, có
ngân sách lên tới 4.1% GDP, và phân bổ một nửa số đó cho đầu tư, điều được
xem là phù hợp. Tuy nhiên, việc thực hiện các dự án cơ sở hạ tầng lớn trong
Chương trình vẫn chưa được bắt đầu. Tính tới đầu tháng 9 năm 2022, mới chỉ
giải ngân được 14% gói hỗ trợ này. Các biện pháp ngoài ngân sách – ví dụ như
miễn hóa đơn điện nước và học phí cho các hộ gia đình bị ảnh hưởng, tạm
dừng đóng góp bảo hiểm xã hội và các khoản vay ưu đãi do các ngân hàng
quốc doanh cung cấp – cũng góp phần đáng kể (0.7% GDP cho giai đoạn 2020-
2021, chưa kể các khoản vay ưu đãi) so với các biện pháp chi tiêu.
Chính sách tài chình tiền tệ
Từ khi đại dịch bùng phát cho đến giữa năm 2022, chính sách tiền tệ chủ yếu là
hỗ trợ tăng trưởng. Lãi suất thực tế của trái phiếu chính phủ kỳ hạn 10 năm là
0.4% trong bảy tháng đầu năm 2022, so với 1.5% năm 2019. Định hướng chính
sách tiền tệ hỗ trợ tăng trưởng là phù hợp trong bối cảnh lạm phát thấp, với chỉ
số lạm phát chung ổn định trong hai năm qua. Để đối phó với tình trạng suy
thoái kinh tế do các biện pháp phong tỏa trong và ngoài nước vào đầu năm
2020, ngân hàng trung ương đã giảm lãi suất tái cấp vốn từ 6% xuống còn 4%
trong khoảng thời gian từ tháng 3 đến tháng 10 năm 2020 (lãi suất tái chiết
khấu từ 4% xuống 2.5%), và duy trì định hướng chính sách hỗ trợ tăng trưởng.
Trong bối cảnh đó, Việt Nam có thể xem xét hiện đại hóa khuôn khổ chính
sách tiền tệ, thu hẹp các mục tiêu chính sách và chuyển sang cơ chế tỷ giá hối
đoái linh hoạt hơn sau khi các thị trường tài chính đã được tự do hóa và phát
triển mạnh mẽ hơn. Khi mối liên kết của Việt Nam với thương mại toàn cầu
ngày càng mở rộng, điều đặc biệt quan trọng là phải áp dụng một cơ chế tỷ giá
hối đoái linh hoạt hơn. Việc chuyển đổi sang cơ chế tỷ giá linh hoạt hơn sẽ cho
phép Ngân hàng Nhà nước Việt Nam tập trung vào các mục tiêu chính sách hẹp
hơn, đặc biệt là mục tiêu lạm phát, từ đó có thể góp phần tạo ra điều kiện kinh
tế vĩ mô ổn định hơn. Quá trình chuyển đổi chính sách này cần được thực hiện
song song với việc tăng cường tính độc lập của ngân hàng trung ương.
Hiện nay, tính độc lập trong hoạt động được xác định một cách lỏng lẻo, vì cả
Thủ tướng Chính phủ và Thống đốc Ngân hàng đều có thể quyết định những
công cụ và biện pháp hành chính của chính sách tiền tệ. Vì vậy, cần thiết phải
thành lập một cơ quan ra quyết định tập thể (tức là ủy ban chính sách tiền tệ) do
Quốc hội bổ nhiệm và được trao quyền tự chủ hoạt động độc lập với chính phủ. Chính sách tài khóa
Việt Nam đã cải thiện khung chính sách tài khóa trong những năm qua, góp
phần giúp chính phủ có dư địa tài khóa rộng rãi khi đại dịch tác động tới nền
kinh tế. Trong số các quốc gia Đông Nam Á, Việt Nam là một trong những
nước có các quy định tài khóa chi tiết hơn, chẳng hạn như quy định thu ngân
sách và mức trần chi tiêu cho các chương trình. Cùng với tốc độ tăng trưởng
kinh tế cao, những quy định này đã giúp thâm hụt chính phủ giảm đều đặn từ
năm 2015. Trong khi định hướng chính sách đang dần được bình thường hóa,
chính sách tài khóa nên được coi là biện pháp phòng vệ đầu tiên nếu điều kiện kinh tế xấu đi.
Chính phủ đã hạ trần nợ chính phủ từ mức 54% GDP trong giai đoạn 2016-
2020 xuống còn 50% GDP cho giai đoạn 2021-2025. Tuy nhiên, do GDP danh
nghĩa tăng 25% sau các điều chỉnh thống kê, điều này hàm ý rằng mức trần nợ
thực tế đã tăng lên khoảng 7% theo tính toán của OECD, giúp chính phủ linh
hoạt hơn trong bối cảnh môi trường bất định hiện nay.
Việc cải thiện chất lượng dữ liệu tài khóa có thể giúp thực hiện các quy tắc kế
toán nghiêm ngặt, nhưng cũng tăng tính minh bạch của chính sách tài khóa.
Điều này có thể thúc đẩy hơn nữa kỷ luật tài khóa mạnh mẽ và hoạch định
chính sách dựa trên bằng chứng. Chính phủ đã nỗ lực cải thiện số liệu thống kê
tài khóa trong những năm qua.
Trong bối cảnh này, Chiến lược cải cách hệ thống thuế đến năm 2030, được phê
duyệt vào tháng 4 năm 2022, là một bước đi đáng hoan nghênh. Trong Chiến
lược này, chính phủ đặt mục tiêu đưa ra những cải cách rộng khắp, gồm cả cải
cách thuế giá trị gia tăng. Bên cạnh đó, điều quan trọng là phải cải thiện việc
tuân thủ thuế bằng cách khuyến khích áp dụng các thông lệ kiểm toán phù hợp,
tăng cường thanh kiểm tra và đơn giản hóa các thủ tục liên quan tới thuế, gồm
cả sử dụng các dịch vụ quản lý thuế số hóa. 4. KẾT LUẬN
Kết quả chuyển dịch cơ cấu kinh tế sau hơn 20 năm đổi mới là một trong những
nguyên nhân quan trọng và cơ bản nhất đưa đến các kết quả, thành tựu tăng
trưởng kinh tế khả quan, tạo ra những tiền đề vật chất trực tiếp để chúng ta giữ
được các cân đối vĩ mô của nền kinh tế như thu chi ngân sách, vốn tích luỹ, cán
cân thanh toán quốc tế..., góp phần bảo đảm ổn định và phát triển kinh tế - xã
hội theo hướng bền vững. Các chương trình mục tiêu quốc gia về xoá đói giảm
nghèo, chương trình về đầu tư xây dựng kết cấu hạ tầng kinh tế - xã hội cho các
vùng khó khăn, các chương trình tín dụng cho người nghèo và chính sách hỗ trợ
trực tiếp đã mang lại kết quả rõ rệt. Tỷ lệ hộ nghèo đã giảm từ 17,2% năm 2006
xuống còn 14,7% năm 2007, và năm 2008 còn 13,1%. Chỉ số phát triển con
người (HDI) đã không ngừng tăng, được lên hạng 4 bậc, từ thứ 109 lên 105
trong tổng số 177 nước...
Chuyển dịch cơ cấu ngành kinh tế là một yếu tố quan trọng để Việt Nam đạt
được tăng trưởng bền vững và nâng cao chất lượng cuộc sống của người dân.
Hiện nay, ngành nông nghiệp, lâm nghiệp và thủy sản vẫn chiếm tỷ trọng lớn
lao động, nhưng có xu hướng giảm đi. Điều này đòi hỏi chúng ta phải tập trung
vào việc phát triển các ngành công nghiệp khác nhằm thúc đẩy sự chuyển dịch cơ cấu kinh tế.
Chuyển dịch cơ cấu ngành kinh tế sẽ mang lại nhiều lợi ích, bao gồm sự đa
dạng hóa nền kinh tế, tạo ra việc làm và thu nhập ổn định cho người lao động,
tăng cường sức cạnh tranh và nâng cao hiệu suất sản xuất. Đồng thời, chuyển
dịch cơ cấu còn đóng vai trò quan trọng trong việc thúc đẩy đổi mới công nghệ,
tăng cường sự chuyển đổi số và nâng cao năng suất lao động.