Report tài liệu
Chia sẻ tài liệu
Đề ôn tập tham khảo toán cao cấp | Đại học Bách khoa Hà Nội
Đề ôn tập tham khảo toán cao cấp | Đại học Bách khoa Hà Nội. Tài liệu giúp bạn tham khảo, ôn tập và đạt kết quả cao. Mời đọc đón xem!
Môn: Toán cao cấp 47 tài liệu
Trường: Đại học Bách Khoa Hà Nội 5.6 K tài liệu
Tác giả:

Tài liệu khác của Đại học Bách Khoa Hà Nội
Preview text:
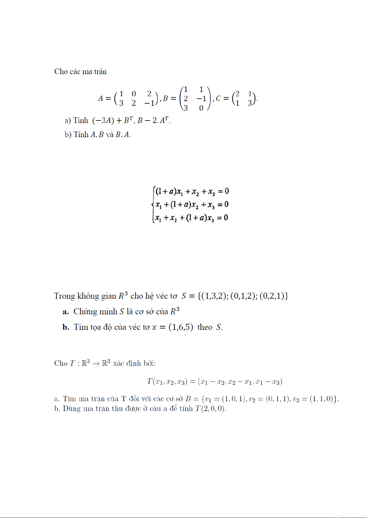
Đề ôn tập tham khảo – Thời gian: 75 phút Câu 1:
c) Tìm ma trận nghịch đảo (nếu có) của B.A
Câu 2: Cho hệ phương trình sau
a) Với giá trị nào của a thì hệ đã cho có nghiệm duy nhất?
b) Với giá trị nào của a thì hệ đã cho có vô số nghiệm? Tìm một hệ
nghiệm cơ bản trong trường hợp này? Câu 3: Câu 4:
Tài liệu liên quan:
-
Định thức và Các Phép Toán với Ma Trận - Toán Cao Cấp 1
12 6 -
Bài giảng 1: Nguyên lý bao hàm - loại trừ môn Toán cao cấp | Đại học Bách Khoa Hà Nội
32 16 -
Bài giảng Sử dụng ánh xạ trong bài toán đếm môn Toán cao cấp | Đại học Bách Khoa Hà Nội
24 12 -
KTCT-GIỮA-KÌ: Câu Hỏi và Đáp Án Học Tập Toàn Diện
66 33 -
Chuyên đề Phương pháp phân tích đa thức thành nhân tử - TOÁN
20 10