







Preview text:
Đề thi Cao khảo Hóa học 2023 - Phân tích và Giải đáp đề thi Quốc gia
Thêm 1 câu hỏi thuộc đề thi tuyển sinh Đại học các quốc gia khác
Câu 21. (Dựa trên Kỳ thi Hóa học Trung học tỉnh Thâm Quyến – Trung Quốc năm 2023 – Câu 19)
Styrene là nguyên liệu quan trọng để sản xuất nhựa và cao su tổng hợp. Phản ứng (I) mô tả quá trình dehydrogen hóa ethyl benzene thành styrene có sử dụng carbon dioxide.
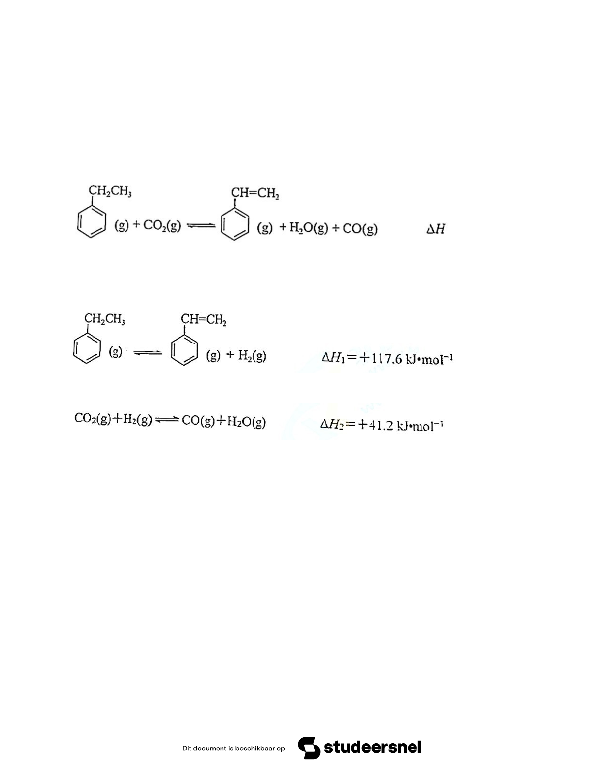
Phản ứng (I):

Dưới đây là các bước trong phản ứng trên:
Phản ứng (II):

Phản ứng (III):

Trả lời các câu hỏi sau:
- [Yêu cầu trả lời ngắn] Tính nhiệt phản ứng ∆H của phản ứng (I) (làm tròn đến chữ số hàng đơn vị)
- [Trắc nghiệm đúng sai] Xét ba phản ứng trên:
- Hơi nước bốc lên nhanh chóng sẽ giúp tăng hàm lượng styrene trong hỗn hợp ở trạng thái cân bằng.
- Khi tỷ lệ n(CO2):n(CO) không đổi nghĩa là phản ứng I đã đạt đến trạng thái cân bằng hoá học
- Xét phản ứng II, coi các điều kiện không xét dưới đây là giống nhau, cân bằng dịch chuyển theo chiều thuận khi phản ứng này được thực hiện trong điều kiện thể tích không đổi (đẳng tích) và áp suất không đổi (đẳng áp).
Ở phản ứng III, năng lượng hoạt hóa của phản ứng theo chiều thuận nhỏ hơn năng lượng hoạt hóa của phản ứng theo chiều nghịch.
Lời giải [Trung bình] Vận dụng kiến thức cả lớp 10, 11
21.1. Đáp số: 159
Dễ dàng thấy phản ứng I là tổng của 2 phản ứng II và III
Tức là ∆H=∆H1+∆H2=117,6+41,2=158,8 (kJ/mol) Làm tròn thành 159
21.2.
- Hơi nước bốc lên nhanh chóng sẽ giúp tăng hàm lượng styrene trong hỗn hợp ở trạng thái cân bằng. Đúng, vì điều này làm giảm nồng độ các chất sản phẩm. Theo nguyên lý Le Chatelier, cân bằng dịch chuyển theo chiều làm tăng nồng độ các chất sản phẩm, tức là chiều thuận.
- Khi tỷ lệ n(CO2):n(CO) không đổi nghĩa là phản ứng I đã đạt đến trạng thái cân bằng hoá học, phản ứng dừng lại. Sai, đây là trạng thái cân bằng động, phản ứng vẫn tiếp diễn nhưng tốc độ phản ứng ở cả 2 chiều là tương đương nhau.
- Xét phản ứng II, coi các điều kiện không xét dưới đây là giống nhau, cân bằng dịch chuyển theo chiều thuận khi phản ứng này được thực hiện trong điều kiện thể tích không đổi (đẳng tích) và áp suất không đổi (đẳng áp). Sai, do sản phẩm tạo ra có nhiều số mol hơn, tức là sẽ làm tăng thể tích hoặc tăng áp suất. Khi hai yếu tố này hằng định thì tức là “cản trở” việc tạo thành sản phẩm, cân bằng dịch chuyển theo chiều nghịch.
- Ở phản ứng III, năng lượng hoạt hóa của phản ứng theo chiều thuận nhỏ hơn năng lượng hoạt hóa của phản ứng theo chiều nghịch.
Sai, ∆H >0, tức là phản ứng thu nhiệt. Xét giản đồ năng lượng theo thời gian của phản ứng theo chiều thuận:
(Exothermic reaction là phản ứng tỏa nhiệt (chiều nghịch); Endothermic reaction là phản ứng thu nhiệt (chiều thuận); Ea = Năng lượng hoạt hóa), dễ dàng thấy năng lượng hoạt hóa của phản ứng theo chiều thuận lớn hơn năng lượng hoạt hóa của phản ứng theo chiều nghịch.

Câu 22. (Quảng Châu - Cao khảo 2023) Giải Nobel Hóa học năm 2022 được trao cho các nhà khoa học nghiên cứu về ""hóa học click". Hợp chất DBCO-Acid dưới đây là phân tử được sử dụng trong nghiên cứu này.
- Hợp chất này có thể tham gia phản ứng cộng.
- 1 mol hợp chất này có thể phản ứng với nhiều nhất 1 mol NaOH.
- Có thể làm mất màu dung dịch nước bromine và dung dich KMnO4 trong môi trường acid.
- Có thể phản ứng với amino acid và nhóm amine trong protein.
Lời giải [Dễ] Lớp 11 + 12
- Hợp chất này chứa vòng benzene và chứa liên kết ba carbon-carbon có thể tham gia phản ứng cộng với hydro nên chất này có tham gia phản ứng cộng. Do đó A đúng
- Chất này chứa nhóm carboxyl (COOH) và nhóm amide (C(=O)N-X) và do đó 1 mol chất này phản ứng được với nhiều nhất 2 mol NaOH nên B sai;
- Chất này chứa liên kết ba carbon-carbon nên có thể bị oxi hóa bởi dung dịch nước bromine và KMnO4 trong môi trường acid Dung dịch nhạt dần nên C đúng;
- Chất này chứa nhóm carboxyl nên có thể phản ứng với amino acid và nhóm amine trong protein nên D đúng;
Câu | Lệnh hỏi | Đáp án (Đ/S) |
22 | a | Đ |
b | S | |
c | Đ | |
d | Đ |
Câu 23. (Tuyển sinh ĐH Chiết Giang, 1/2024) Dựa vào các hình dưới đây, dụng cụ thí nghiệm nào sau đây được sử dụng không đúng cách?

- Hình ① là thiết bị dùng để thực hiện thí nghiệm phản ứng manganese dioxide và hydrochloric acid đặc để tạo ra khí chlorine.
- Hình ② là thiết bị được sử dụng để chuẩn độ dung dịch kiềm chưa xác định bằng dung dịch acid tiêu chuẩn.
- Hình ③ là thiết bị dùng để đo nhiệt phản ứng của phản ứng trung hòa.
- Hình ④ là thiết bị được sử dụng để điều chế ethyl acetate.
Lời giải [Dễ] Lớp 11
Bản gốc không có đáp án đề xuất.
D là thí nghiệm không đúng cách vì thiếu ống sinh hạt hoặc nước đá để ngưng tụ ethyl acetate. Ethyl acetate ít tan trong nước nên phải sử dụng ống sinh hạt để hạ sản phẩm thu được xuống dưới nhiệt độ bay hơi.
Đáp án D
Câu 24. (Quảng Châu-Cao Khảo 2023) Để chấn hưng đất nước bằng khoa học và giáo dục, “có thể lên chín tầng mây bắt trăng, có thể xuống năm tầng đại dương bắt rùa”, dưới đây là các thành tích mà Trung Quốc đã đạt được trong những năm gần đây. Dựa vào hiểu biết về hóa học, hãy cho biết khẳng định nào sau đây là đúng?
- Tàu chở hàng "Thiên Châu-6" cung cấp khí Xe đẩy cho trạm vũ trụ Trung Quốc. Xe là nguyên tố Nhóm IA.
- Bản đồ màu ảnh toàn cầu của Sao Hỏa thể hiện màu sắc của đất bề mặt Sao Hỏa, thành phần chính của hematit trong đất bề mặt là FeO.
- “Mặt trời nhân tạo” đã lập kỷ lục về hoạt động tổng hợp hạt nhân có thể điều khiển được. 2H và 3H trong nguyên liệu thô của nó là đồng vị của nhau.
- Mũi khoan "Deep Earth No. 1" cung cấp thiết bị cốt lõi để khoan đến độ sâu 10 000 mét. Kim cương dùng để chế tạo mũi khoan là tinh thể kim loại.
Lời giải [Dễ] Lớp 10+12
- Xe là nguyên tố Nhóm VIIIA.
- Thành phần chính của hematit trong đất bề mặt là Fe2O3.
- 2H và 3H trong nguyên liệu thô của nó là đồng vị của nhau.
- Kim cương là tinh thể của phi kim (carbon).
Đáp án C
PHỤ LỤC
THAM KHẢO ĐỊNH HƯỚNG RA ĐỀ CỦA CÁC TRƯỜNG ĐẠI HỌC, CAO ĐẲNG, CÁC TRƯỜNG TRUNG HỌC PHỔ THÔNG CỦA ĐỊA PHƯƠNG TRONG KỲ THI CAO KHẢO TẠI TRUNG QUỐC
Kỳ thi tuyển sinh đại học Chiết Giang tháng 1/2024 kết thúc vào ngày 8/1, đây là kỳ thi đầu tiên của Kỳ thi tuyển sinh đại học Chiết Giang.
Tháng 1 năm 2024, Bài kiểm tra Hóa học tỉnh Chiết Giang dựa trên "Tiêu chuẩn chương trình giảng dạy hóa học trung học phổ thông (Năm 2017, sửa đổi năm 2020)", tập trung vào kiến thức cần thiết, khả năng chính, kiến thức kỷ luật và các giá trị cốt lõi của hóa học, đồng thời tập trung vào việc thực hiện các yêu cầu cơ bản, toàn diện, ứng dụng và đổi mới của đánh giá kỳ thi tuyển sinh đại học. Các đề thi gắn với thực tiễn giáo dục và giảng dạy, hướng dẫn dạy học trên lớp,
phục vụ tuyển chọn các trường cao đẳng, đại học, phản ánh yêu cầu của cải cách, thực hiện nhiệm vụ cơ bản là "rèn luyện đạo đức, tu dưỡng con người".
- Các câu hỏi kiểm tra đã thay đổi đều đặn để thúc đẩy sự kết nối giữa giảng dạy và kiểm tra
Ví dụ, câu hỏi 15 kiểm tra trạng thái cân bằng trong dung dịch, câu hỏi 16 kiểm tra việc thiết kế và đánh giá các giao thức thực nghiệm, và câu hỏi 21 kiểm tra suy luận và tổng hợp các hợp chất hữu cơ. Trên cơ sở đó, một số đề thi có sự thay đổi vừa phải về nội dung đề thi, góc độ thi và cách trình bày. Ví dụ, câu 18 dựa trên sách giáo khoa và cao hơn sách giáo khoa. Câu 20 quen thuộc với tài liệu và không quen thuộc với tình huống, và nguyên tắc thực nghiệm được chứa trong tình huống, và quá trình giải quyết vấn đề đánh giá hiệu quả khả năng giải quyết vấn đề thực tế của học sinh. Thiết kế đề thi ổn định, thay đổi, có lợi cho việc "đẩy mạnh dạy học bằng thi cử" và "thúc đẩy học tập bằng thi cử", thúc đẩy sự gắn kết giữa dạy và thi, thực hiện nhiệm vụ cơ bản là rèn luyện đạo đức, tu dưỡng con người.
- Đề thi dựa trên nền tảng và coi trọng kiến thức cần thiết
Các đề thi liên quan mật thiết đến sách giáo khoa và chuẩn chương trình, dựa trên nội dung cơ bản và kiến thức cần thiết, đồng thời kiểm tra toàn diện các khái niệm cốt lõi, nguyên tắc cơ bản, phương pháp cơ bản và kỹ năng cơ bản của hóa học. Ví dụ, câu hỏi 1 ~ 10 của các câu hỏi trắc nghiệm tương ứng kiểm tra việc phân loại các chất, tính chất của các chất, các thuật ngữ cơ bản của hóa học, phản ứng oxy hóa khử, phản ứng ion, tách và tinh chế các chất, tính chất của các chất hữu cơ thông thường và các kiến thức cần thiết khác. Mỗi câu hỏi không trắc nghiệm được thiết kế với các câu hỏi kiểm tra kiến thức cơ bản, ví dụ, câu hỏi 20 kiểm tra tên của dụng cụ thí nghiệm và câu hỏi 21 kiểm tra tên của nhóm chức. Việc kiểm tra kiến thức cần thiết đã đóng vai trò là nội dung cơ bản trong việc trau dồi năng lực chính và khả năng đọc viết môn học của học sinh, có lợi cho việc hướng dẫn dạy học tuyến đầu chú ý đến những điều cơ bản.
- Tăng cường tổng hợp các câu hỏi kiểm tra và tập trung vào các khả năng chính
Các câu hỏi kiểm tra toàn diện hơn về nội dung đề thi, lựa chọn tình huống và năng lực chính. Về nội dung đề thi, câu hỏi 15 phản ánh sự tích hợp kiến thức trong mô-đun nguyên lý phản ứng, và câu hỏi 13, 14, 17 và 18 tăng cường tích hợp nội dung giữa các mô-đun khác nhau. Về lựa chọn kịch bản, Câu hỏi 19 sử dụng CO2 để điều chế HCOOH và sử dụng nguyên lý phản ứng hóa học để tiến hành phân tích định tính và định lượng trong tình huống phức tạp của điện hóa học, nhiệt hóa, để đánh giá trình độ học vấn thực tế của học sinh. Về năng lực chính, Câu hỏi 20 tạo ra một
tình huống thực nghiệm thực tế không quen thuộc với học sinh, đồng thời kiểm tra khả năng bỏ qua và rút ra suy luận từ người khác của học sinh. Việc tổng hợp các khía cạnh trên nhằm mở ra kênh giữa kiến thức, khả năng và khả năng đọc viết, đồng thời đánh giá khả năng sử dụng toàn diện kiến thức của học sinh để giải quyết vấn đề.
- Câu hỏi kiểm tra được chọn để làm nổi bật giá trị của môn học
Thông qua việc kiểm tra các nguyên lý hóa học trong sản xuất và đời sống, vai trò quan trọng của hóa học trong việc thúc đẩy sự phát triển của khoa học công nghệ và sự tiến bộ của xã hội loài người được phản ánh đầy đủ, và giá trị của hóa học được đề cao. Ví dụ, mối quan hệ giữa thành phần, cấu trúc và tính chất của vật liệu trong Câu hỏi 7, Vật liệu polymer chức năng cho kính áp tròng trong Câu hỏi 11, Vật liệu polymer chức năng cho kính áp tròng trong Câu hỏi 19, Chuẩn bị vật liệu quang điện tử tổng hợp trong Câu hỏi 20 và Tổng hợp Clonazepam trong Câu hỏi 21 được lựa chọn từ các lĩnh vực liên quan chặt chẽ đến hóa học, như vật liệu, sức khỏe, môi trường và đời sống. Việc sử dụng các tài liệu tình huống này có lợi cho sinh viên đánh giá cao giá trị ứng dụng xã hội của hóa học và thiết lập các khái niệm khoa học chính xác.
Vào tháng 1/2024, Kỳ thi tuyển sinh đại học Chiết Giang đã chọn ý tưởng đề xuất hóa học
Được dẫn dắt theo tinh thần Đại hội đại biểu toàn quốc lần thứ 20 của Đảng Cộng sản Trung Quốc, các câu hỏi kiểm tra lựa chọn hóa học tuân thủ chính sách "giáo dục con người cho đảng và tuyển chọn nhân tài cho đất nước", phát huy đầy đủ các chức năng cốt lõi là "trau dồi con người có đức, phục vụ và tuyển chọn nhân tài, và hướng dẫn giảng dạy", và tuân thủ nghiêm ngặt các yêu cầu đánh giá của "Tiêu chuẩn chương trình giảng dạy hóa học trung học phổ thông" (sửa đổi năm 2017 và sửa đổi năm 2020). Các đề thi xem xét đầy đủ tình hình thực tế của thí sinh, kết nối dạy và thi, thúc đẩy nâng cao trình độ đọc hiểu của học sinh. Nó không chỉ đáp ứng nhu cầu của các trường cao đẳng và đại học để lựa chọn tài năng, mà còn đóng một vai trò tích cực trong việc hướng dẫn giáo dục và giảng dạy hóa học trung học.
- Hình thức trình bày của các câu hỏi kiểm tra là ổn định và sáng tạo, và ổn định và thay đổi
Theo nguyên tắc "tiến bộ ổn định", đề thi tiếp tục phong cách đề thi trong những năm gần đây, duy trì sự ổn định về cấu trúc và độ khó của đề thi, đổi mới vừa phải thiết kế và trình bày câu hỏi, điều chỉnh phân bố các trung tâm thi, để tìm kiếm sự đổi mới và thay đổi về sự ổn định. Ví dụ, các câu hỏi 3, 8, 12, 17, 18, 20 và 21 không thay đổi; Câu hỏi 4, 5, 7, 11, 13, 16 và 19 là đổi mới, Câu 13 kiểm tra pin điện hóa và Câu 19 (1) kiểm tra điện phân, và Câu 16 xem xét các thí nghiệm hóa học cổ điển từ bốn quan điểm: mục đích thí nghiệm, sơ đồ thiết kế, hiện tượng và kết luận.
Định hướng câu hỏi kiểm tra làm nổi bật giá trị của hóa học và hướng dẫn giảng dạy
Tuân thủ định hướng "nuôi dưỡng con người có đức hạnh" và làm nổi bật giá trị của hóa học. Việc lựa chọn câu hỏi kiểm tra tập trung vào các lĩnh vực liên quan chặt chẽ đến hóa học, như vật liệu, cuộc sống, môi trường, năng lượng và thông tin, phản ánh đầy đủ vai trò quan trọng của hóa học trong việc thúc đẩy sự phát triển của khoa học công nghệ và sự tiến bộ của xã hội loài người, và làm nổi bật giá trị xã hội của hóa học. Ví dụ, việc chuẩn bị dung dịch tẩy trắng trong Câu hỏi 2, xử lý khí thải ô tô ở Câu 4, xử lý chất lỏng thải CCl4 có chứa I2 trong Câu 6, vai trò của hóa học trong việc cải thiện tính chất của vật liệu trong Câu hỏi 7 và điều chế vật liệu kính áp tròng trong Câu 11, v.v., tất cả đều được lấy từ cuộc sống hàng ngày, sản xuất công nghiệp và bảo vệ môi trường, để thí sinh có thể trải nghiệm thực trạng hóa học như một ngành học quan trọng của khoa học tự nhiên trong thế kỷ 21, và trải nghiệm những đóng góp quan trọng của các nhà hóa học trong việc phát triển và sử dụng hợp lý tài nguyên thiên nhiên và bảo vệ môi trường tự nhiên.
- Tài liệu của câu hỏi kiểm tra có nguồn gốc từ sách giáo khoa và cao hơn sách giáo khoa
Các câu hỏi kiểm tra được thiết kế dựa trên các tiêu chuẩn chương trình giảng dạy và tuân thủ chặt chẽ các sách giáo khoa hóa học, và nội dung kiểm tra được giới hạn trong phạm vi của các mô-đun bắt buộc của "Hóa học" (Tập 1 và 2), cũng như ba mô-đun bắt buộc tùy chọn của "Nguyên lý phản ứng hóa học", "Cấu trúc và tính chất của vật chất" và "Nguyên lý cơ bản của hóa học hữu cơ". Nhiều câu hỏi kiểm tra được lấy từ sách giáo khoa, để học sinh cảm thấy rằng các câu hỏi kiểm tra thân thiện và thân thiện, chẳng hạn như câu hỏi 1 đến 11, 12, 17 (1) (2), tập trung vào các khái niệm cơ bản về hóa học, thuật ngữ hóa học, dụng cụ hóa học và các phép toán cơ bản, tính chất và ứng dụng của các chất vô cơ và hữu cơ phổ biến, cấu trúc và tính chất của các chất, v.v., và các câu hỏi kiểm tra tập trung vào việc kiểm tra kiến thức cần thiết và phản ánh những điều cơ bản; Tài liệu của một số câu hỏi kiểm tra dường như xa rời cuộc sống sinh viên và mới mẻ, nhưng các câu hỏi nằm ngoài sách và lý do nằm trong sách. Ví dụ, câu 13 tương đối mới với thí sinh, nhưng nó liên quan đến nguyên lý pin điện mà thí sinh quen thuộc; Các câu hỏi từ 17 đến 21 có vẻ xa so với sách giáo khoa, nhưng vẫn có thể sử dụng cấu trúc vật liệu ở trường trung học, nguyên tắc phản ứng hóa học, tính chất của các nguyên tố và hợp chất của chúng, thí nghiệm hóa học và hóa học hữu cơ để kiểm tra nhận thức và hiểu biết sâu sắc của thí sinh về các khái niệm cơ bản. Toàn bộ bài thi tập trung vào việc kiểm tra và kiểm tra các khả năng chính, phẩm chất tư duy và kiến thức cốt lõi của hóa học.
Tất cả các đề thi: | Tổng hợp câu hỏi kiểm tra và đáp án của từng môn học trong Kỳ thi | |