Report tài liệu
Chia sẻ tài liệu
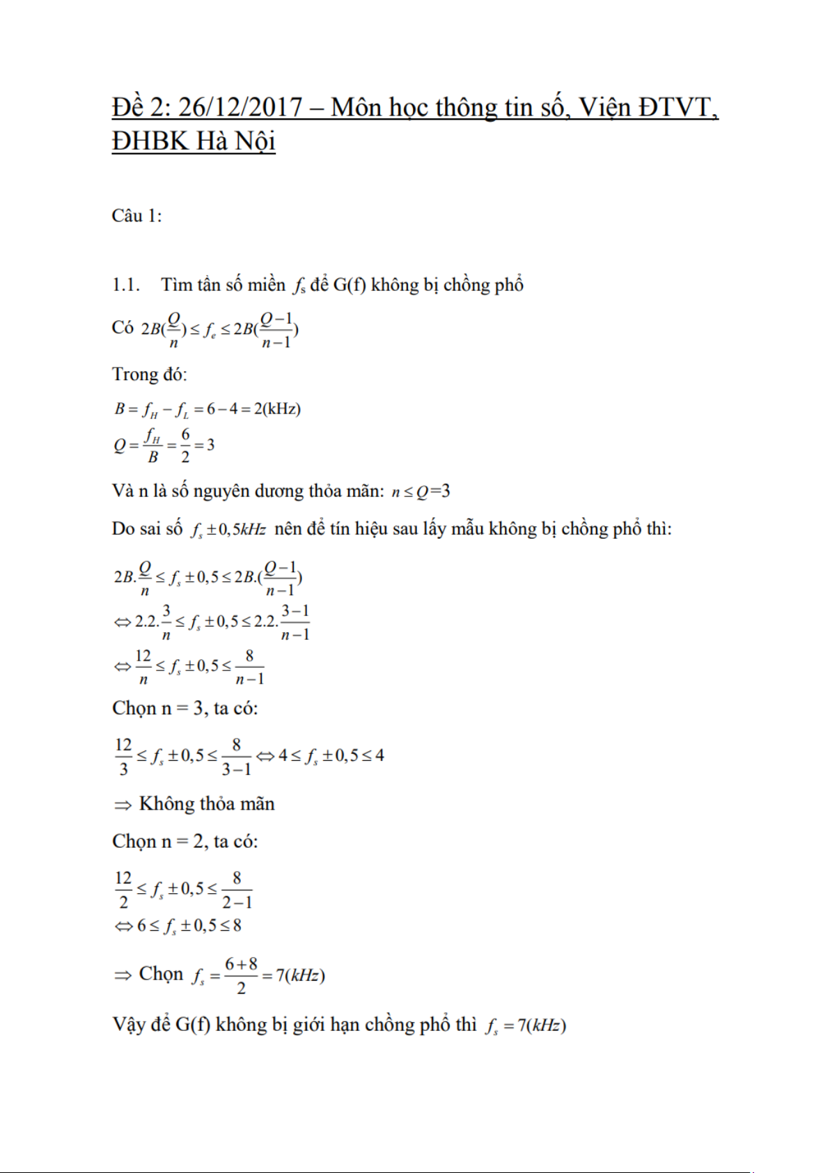
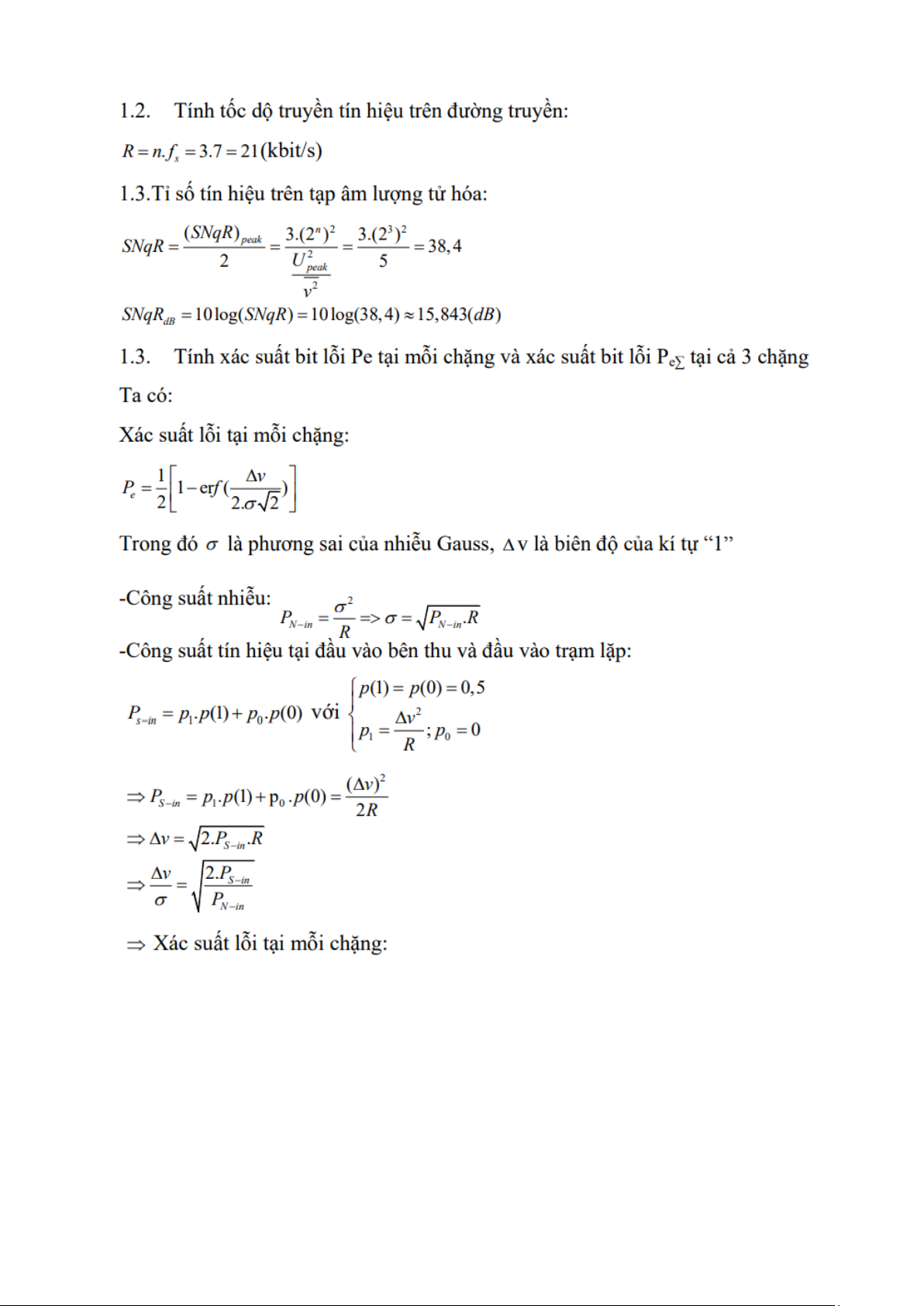
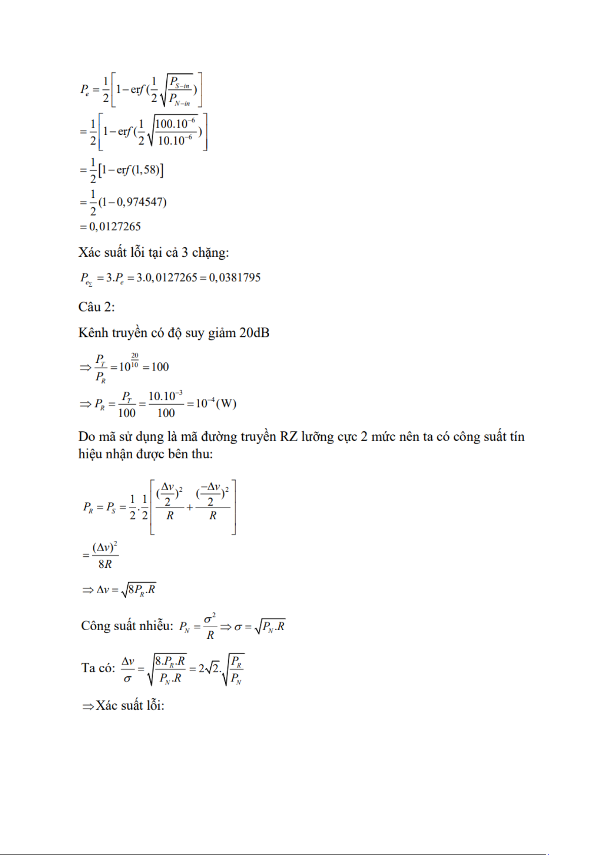
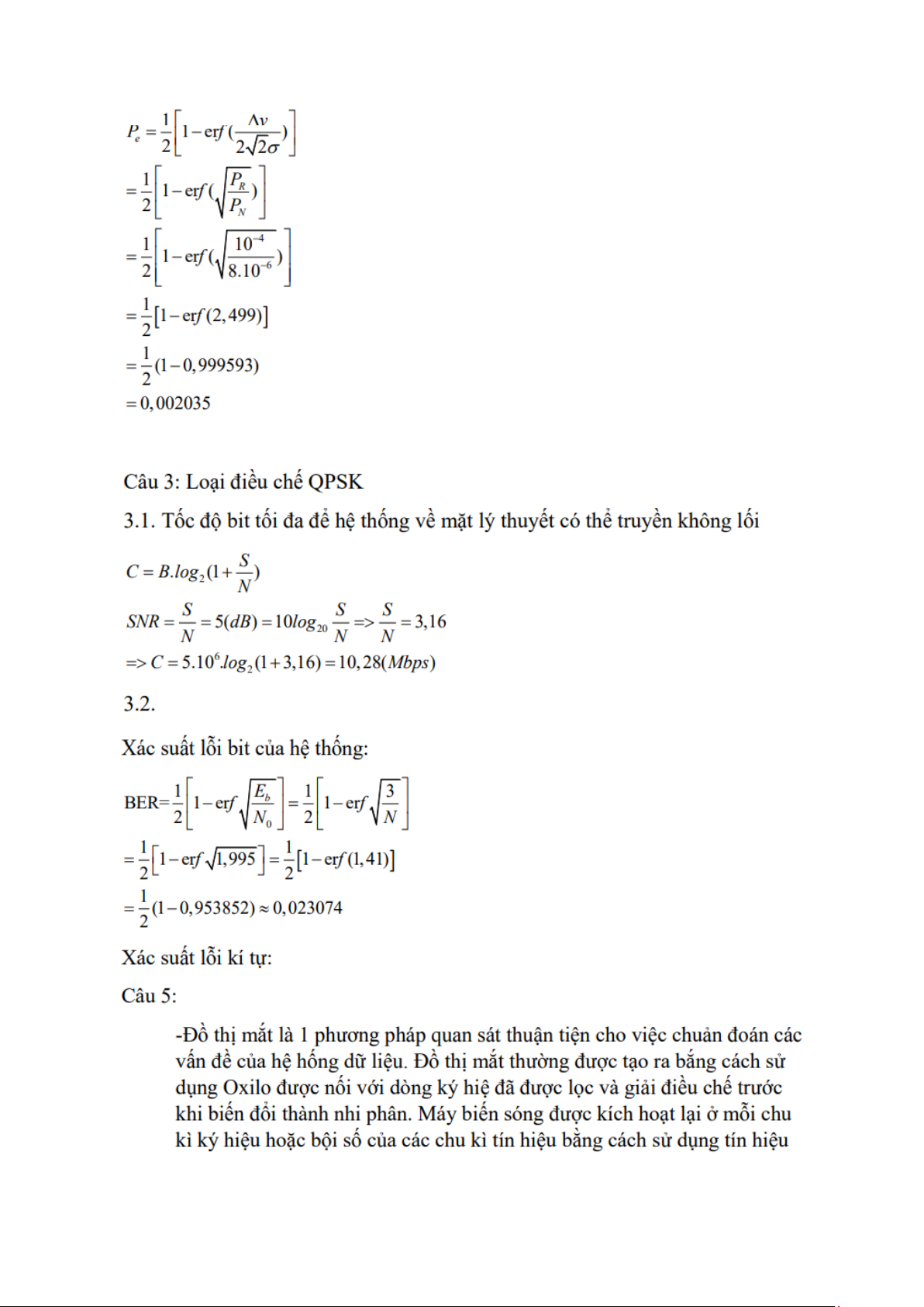
Đề thi Đánh giá chất lượng tín hiệu và xác suất lỗi môn Thông tin số | Trường Đại học Bách Khoa Hà Nội
Đề thi Đánh giá chất lượng tín hiệu và xác suất lỗi môn Thông tin số. Tài liệu được sưu tầm gồm 5 trang, giúp các bạn nắm vững kiến thức, rèn luyện kỹ năng và đạt được kết quả tốt trong học tập. Mời các bạn đón xem!
Môn: Thông tin số 10 tài liệu
Trường: Đại học Bách Khoa Hà Nội 3.5 K tài liệu
Tác giả:
Tài liệu liên quan:
-
Tài liệu ôn thi giữa kỳ môn Thông tin số | Trường Đại học Bách Khoa Hà Nội
40 20 -
Đề cương 91 câu hỏi lý thuyết môn Thông tin số | Trường Đại học Bách Khoa Hà Nội
38 19 -
Báo cáo thí nghiệm môn Thông tin số | Trường Đại học Bách Khoa Hà Nội
39 20 -
Bài thí nghiệm: Hướng dẫn chi tiết và mục tiêu môn Thông tin số | Trường Đại học Bách Khoa Hà Nội
37 19




