Report tài liệu
Chia sẻ tài liệu
Đề thi HSG 11 năm học 2025 2026
Đề thi HSG 11
Môn: Chuyên đề Toán 101 tài liệu
Trường: Trường Đại học Sư Phạm Hà Nội 3.9 K tài liệu
Tác giả:






Tài liệu khác của Trường Đại học Sư Phạm Hà Nội
Preview text:
ĐỀ LUYỆN TẬP NGÀY 02/2/2026



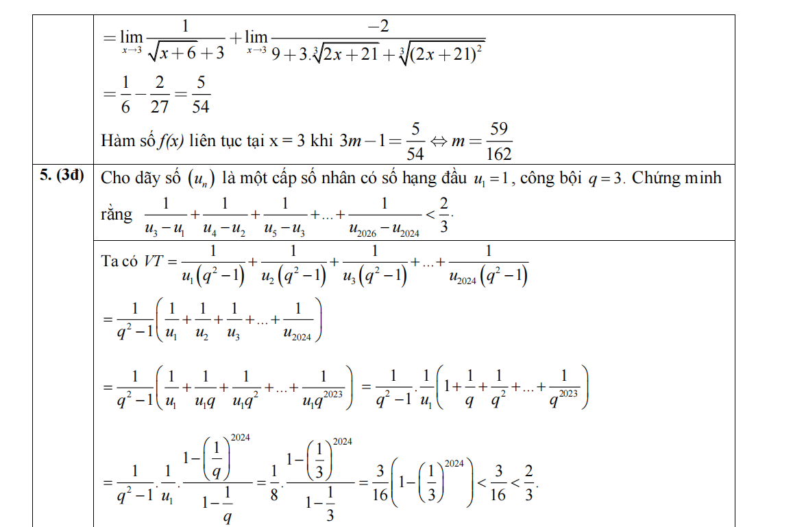
Câu 6( 2 điểm).

Câu 7 ( 2,5 điểm).
Cho hình chóp có đáy là hình bình hành. Gọi
,
lần lượt là trung điểm của
,
và
là trọng tâm tam giác
. Mặt phẳng
cắt
tại điểm
. Tính
---Hết---
HD GIẢI










Bài 20. Cho hình chóp có đáy là hình bình hành. Gọi
,
lần lượt là trung điểm của
,
và
là trọng tâm tam giác
. Mặt phẳng
cắt
tại điểm
. Tính
Lời giải

Trong mặt phẳng , gọi
.
Trong mặt phẳng , gọi
.
Ta có: .
Gọi ,
lần lượt là trung điểm của
và
.
Ta có ,
,
thẳng hàng
Xét có
.
Lại có nên
.
Vậy .